Which of the following is a major difference between prokaryotic cells and eukaryotic cells?
A) Prokaryotic cells are generally larger than eukaryotic cells.
B) Eukaryotic cells have flagella, while prokaryotic cells do not.
C) Prokaryotic cells have cell walls, while eukaryotic cells do not.
D) Eukaryotic cells have membrane-bound organelles, while prokaryotic cells do not.
correct answer : D
Eukaryotic cells have membrane-bound organelles, while prokaryotic cells do not.
Which of the following will have the greatest ratio of surface area to volume?
A) A box that is 1×1×1.
B) A box that is 2×2×2.
C) A box that is 1×1×2.
D) A box that is 2×2×1.
correct answer : A
A box that is 1×1×1.
Which domains of life are classified as prokaryotes?
A) Archaea and Fungi
B) Bacteria and Archaea
C) Bacteria and Protista
D) Bacteria and Eukarya
correct answer : B
Bacteria and Archaea
Which structure is common to plant and animal cells?
A) central vacuole
B) chloroplast
C) mitochondrion
D) centriole
correct answer : C
mitochondrion
Which of the following are found in plant, animal, and bacterial cells?
A) mitochondria
B) ribosomes
C) endoplasmic reticulum
D) chloroplasts
correct answer : B
ribosomes
Beginning within the nucleus, the first step leading to the synthesis of a polypeptide is _____.
A) linking of nucleotides to form a polypeptide
B) translation of an RNA nucleotide sequence into a sequence of amino acids
C) transferring of information from DNA to messenger RNA
D) removal of introns from RNA and the stitching together of exons
E) translation of a DNA nucleotide sequence into a sequence of amino acids
correct answer : C
transferring of information from DNA to messenger RNA
What is the function of the nuclear pore complex found in eukaryotes?
A) It synthesizes secreted proteins.
B) It synthesizes the proteins required to copy DNA and make mRNA.
C) It regulates the movement of proteins and RNAs into and out of the nucleus.
D) It assembles ribosomes from raw materials that are synthesized in the nucleus.
correct answer : C
It regulates the movement of proteins and RNAs into and out of the nucleus.
Which of the following macromolecules leaves the nucleus of a eukaryotic cell through pores in the nuclear membrane?
A) phospholipids
B) mRNA
C) DNA
D) amino acids
correct answer : B
mRNA
Which organelle plays a role in intracellular digestion?
A) chloroplast
B) Golgi apparatus
C) ribosome
D) lysosome
E) plasmodesma
correct answer : D
lysosome
A cell with a predominance of rough endoplasmic reticulum is most likely ________.
A) producing large quantities of proteins for secretion
B) producing large quantities of carbohydrates for storage in the vacuole
C) producing large quantities of proteins in the cytosol
D) producing large quantities of carbohydrates to assemble an extensive cell wall matrix
correct answer : A
producing large quantities of proteins for secretion
Tay-Sachs disease is a human genetic abnormality that results in cells accumulating and becoming clogged with very large, complex, undigested lipids. Which cellular organelle is most likely defective in this condition?
A) the Golgi apparatus
B) the lysosome
C) the smooth endoplasmic reticulum
D) the rough endoplasmic reticulum
correct answer : B
the lysosome
The liver is involved in detoxification of many poisons and drugs. Which of the following structures is primarily involved in this process and, therefore, abundant in liver cells?
A) smooth endoplasmic reticulum
B) nuclear envelope
C) rough endoplasmic
D) reticulum
E) Golgi apparatus
correct answer : A
smooth endoplasmic reticulum
Which of the following is the most common pathway taken by a newly synthesized protein that will be secreted by a cell?
A) rough ER → Golgi → transport vesicle → plasma membrane
B) rough ER → lysosome → transport vesicle → plasma membrane
C) Golgi → rough ER → lysosome → transport vesicle → plasma membrane
D) rough ER → Golgi → transport vesicle → nucleus
correct answer : A
rough ER → Golgi → transport vesicle → plasma membrane
Asbestos is a material that was once used extensively in construction. One risk from working in a building that contains asbestos is the development of asbestosis caused by the inhalation of asbestos fibers. Cells will take up asbestos by phagocytosis, but are not able to degrade it. As a result, asbestos fibers accumulate in ________.
A) lysosomes
B) peroxisomes
C) nuclei
D) the Golgi apparatus
correct answer : A
lysosomes
The evolution of eukaryotic cells most likely involved ________.
A) evolution of an endomembrane system and subsequent evolution of mitochondria from a portion of the smooth endoplasmic reticulum
B) endosymbiosis of a photosynthetic archaeal cell in a larger bacterial host cell to escape toxic oxygen-the anaerobic archaea evolved into chloroplasts
C) endosymbiosis of an oxygen-using bacterium in a larger bacterial host cell-the endosymbiont evolved into chloroplasts
D) endosymbiosis of an oxygen-using bacterium in a larger bacterial host cell-the endosymbiont evolved into mitochondria
correct answer : D
endosymbiosis of an oxygen-using bacterium in a larger bacterial host cell-the endosymbiont evolved into mitochondria
Cyanide binds with at least one molecule involved in producing ATP. If a cell is exposed to cyanide, most of the bound cyanide is likely to be localized within the ________.
A) mitochondria
B) smooth endoplasmic reticulum
C) peroxisomes
D) lysosome
correct answer : A
mitochondria
Suppose a young boy is always tired and fatigued, suffering from a metabolic disease. Which of the following organelles is most likely malfunctioning in this disease?
A) smooth endoplasmic reticulum
B) lysosomes
C) Golgi apparatus
D) mitochondria
correct answer : D
mitochondria
Motor proteins provide for molecular motion in cells by interacting with what types of cellular structures?
A) free ribosomes and ribosomes attached to the ER
B) cellulose fibers in the cell wall
C) components of the cytoskeleton
D) membrane proteins of the inner nuclear envelope
correct answer : C
components of the cytoskeleton
A cell has formed a food vacuole as it ingested a food particle. Which of the following events is associated with the breakdown of that food particle?
A) Enzymes for the breakdown of the food are delivered to the food vacuole from the cytosol.
B) The membrane of the food vacuole is derived from the cell wall.
C) Digestion of the food particle occurs in a vesicle enclosed by a membrane that separates the digestion from the cytoplasm.
D) Proteins for digestion of the food are made by ribosomes in the Golgi apparatus.
E) Proteins for digestion of the food particle were initially processed in mitochondria.
correct answer : C
Digestion of the food particle occurs in a vesicle enclosed by a membrane that separates the digestion from the cytoplasm.
A cell with a predominance of smooth endoplasmic reticulum is likely specialized to ________.
A) Import and export large quantities of protein
B) synthesize large quantities of lipids
C) actively secrete large quantities of protein
D) store large quantities of water
correct answer : B
synthesize large quantities of lipids
Which organelle is the primary site of ATP synthesis in eukaryotic cells?
A) peroxisome
B) lysosome
C) mitochondrion
D) Golgi apparatus
correct answer : C
mitochondrion
Which of the following functions is NOT associated with the cytoskeleton in eukaryotic cells?
A) the contraction of muscle cells in animals
B) maintaining the position of the nucleus in the cell
C) the beating of cilia or flagella
D) determining the shape of animal cells
E) Movement of RNA molecules from the nucleus to the cytoplasm
correct answer : E
Movement of RNA molecules from the nucleus to the cytoplasm
Vinblastine, a drug that inhibits microtubule polymerization, is used to treat some forms of cancer. Cancer cells given vinblastine would be unable to _____.
A) migrate by amoeboid movement
B) form cleavage furrows during cell division
C) maintain the shape of the nucleus
D) separate chromosomes during cell division
correct answer : D
separate chromosomes during cell division
Amoebae move by crawling over a surface (cell crawling), which involves ________.
A) assembly of microtubule extensions that vesicles can follow in the direction of movement
B) localized contractions driven by myosin and microtubules
C) reinforcement of the pseudopod with intermediate filaments
D) growth of actin filaments to form bulges in the plasma membrane
correct answer : D
growth of actin filaments to form bulges in the plasma membrane
Researchers investigating the mechanism of vesicular transport assembled a cell-free system that included microtubule tracks, vesicles, and ATP. However, they observed no movement of transport of vesicles in this system. What were they missing?
A) an axon
B) intermediate filaments
C) contractile microfilaments
D) motor proteins
correct answer: D
motor proteins
Which of the following statements about the cytoskeleton is true?
A) Movement of cilia and flagella is the result of motor proteins causing microtubules to move relative to each other.
B) Although microtubules are common within a cell, actin filaments are rarely found outside of the nucleus.
C) The cytoskeleton of eukaryotes is a static structure most resembling scaffolding used at construction sites.
D) Chemicals that block the assembly of the cytoskeleton would have little effect on a cell's response to external stimuli.
correct answer : A
Movement of cilia and flagella is the result of motor proteins causing microtubules to move relative to each other.
What is another name for a condensation reaction?
A) dehydration
B) water formation
C) hydrolysis
D) catabolism
E) monomerization
correct answer: A
dehydration
What is the name of the process during which a bond between two monomers is broken?
A) combustion
B) dehydration
C) hydrolysis
D) condensation
correct answer : C
hydrolysis
How many molecules of water are released during the polymerization of a 20 monomer-long cellulose molecule?
A) 40
B) 20
C) 10
D) 19
correct answer : D
19
Which of the following best summarizes the relationship between dehydration reactions and hydrolysis?
A) Dehydration reactions and hydrolysis reactions assemble polymers from monomers.
B) Dehydration reactions eliminate water from membranes; hydrolysis reactions add water to membranes.
C) Hydrolysis reactions create polymers and dehydration reactions create monomers.
D) Dehydration reactions assemble polymers; hydrolysis reactions break polymers apart.
correct answer : D
Dehydration reactions assemble polymers; hydrolysis reactions break polymers apart.
Humans can digest starch but not cellulose because ________.
A) starch monomers are joined by covalent bonds, and cellulose monomers are joined by ionic bonds
B) the monomer of starch is glucose, while the monomer of cellulose is galactose
C) humans have enzymes that can hydrolyze the α-glycosidic linkages of starch but not the β-glycosidic linkages of cellulose
D) Starch is softer than cellulose
correct answer : C
humans have enzymes that can hydrolyze the α-glycosidic linkages of starch but not the β-glycosidic linkages of cellulose
Which molecule is not a carbohydrate?
A) Cellulose
B) Lipid
C) Starch
D) Glycogen
correct answer : B
Lipid
Which of the following statements about monosaccharide structure is true?
A) A six-carbon sugar is called a pentose.
B) Monosaccharides can be classified according to the spatial arrangement of their atoms.
C) All monosaccharides contain carbon, hydrogen, oxygen, and nitrogen atoms.
D) Aldoses and ketoses differ in the position of their hydroxyl groups.
correct answer : B
Monosaccharides can be classified according to the spatial arrangement of their atoms.
True or false? Peptidoglycan is a polysaccharide found only in bacteria.
A) True
B) False
correct answer : A
true
Which complex carbohydrate contains only a-1,4-glycosidic linkages?
A) Amylopectin
B) Amylose
C) Cellulose
D) Glycogen
correct answer : B
Amylose
Which of the following complex carbohydrates is listed with its correct function?
A) Amylose: main component of plant starch
B) Chitin: constituent of bacterial cell walls
C) Cellulose: structural component of plant cell walls
D) Starch: primary energy-storage molecule in animals
correct answer : C
Cellulose: structural component of plant cell walls
Which polysaccharide contains a modified monosaccharide?
A) Peptidoglycan
B) Starch
C) Cellulose
D) Glycogen
correct answer : A
Peptidoglycan
Glycogen is _____.
A) the form in which plants store sugars
B) a source of saturated fat
C) a polysaccharide found in plant cell walls
D) a transport protein that carries oxygen
E) a polysaccharide found in animals
correct answer : E
a polysaccharide found in animals
glucose + glucose —> _____ by _____.
A) maltose + water ... dehydration synthesis
B) sucrose + water ... dehydration synthesis
C) cellulose + water ... hydrolysis
D) lactose + water ... hydrolysis
E) starch + water ... dehydration synthesis
correct answer : A
maltose + water ... dehydration synthesis
Which of these is a source of lactose?
A) starch
B) potatoes
C) milk
D) sugar beets
E) sugar cane
correct answer : C
milk
Which of these is a polysaccharide?
A) cellulose
B) lactose
C) galactose
D) glucose
E) sucrose
correct answer : A
cellulose
_____ is the most abundant organic compound on Earth.
A) Glycogen
B) Lactose
C) Cellulose
D) Glucose
E) Starch
correct answer : C
Cellulose
Starch and cellulose ________.
A) are polymers of glucose
B) are structural components of the plant cell wall
C) are used for energy storage in plants and animals
D) are cis and trans isomers of each other
correct answer : A
are polymers of glucose
People who are lactose intolerant cannot extract energy from milk because ________.
A) milk is fermented to a by-product, which cannot be digested
B) lactose is too big to be digested by the enzymes
C) they are missing an enzyme
D) they are missing the bacteria that can digest lactose
correct answer : C
they are missing an enzyme
The molecular formula for glucose is C6H12O6. What would be the molecular formula for a molecule made by linking three glucose molecules together by dehydration reactions?
A) C18H36O18
B) C18H32O16
C) C6H10O5
D) C18H30O15
correct answer : B
C18H32O16
What does the term insoluble fiber refer to on food packages?
A) cellulose
B) amylopectin
C) starch
D) polypeptides
correct answer : A
cellulose
A molecule with the chemical formula C6H12O6 is probably a _____.
A) polysaccharide
B) monosaccharide
C) nucleic acid
D) fatty acid
correct answer : B
monosaccharide
Which of these is NOT a lipid?
A) wax
B) phospholipid
C) cholesterol
D) RNA
E) steroids
Correct answer : D
RNA

This figure is an example of a(n) _____.
A) nucleic acid
B) steroid
C) saturated fat
D) protein
E) unsaturated fat
correct answer : C
saturated fat
Which of these is rich in unsaturated fats?
A) Lard
B) olive oil
C) beef fat
D) a fat that is solid at room temperature
E) butter
correct answer : B
olive oil
A function of cholesterol that does not harm health is its role _____.
A) as a component of animal cell membranes
B) the most abundant male sex hormone
C) All of cholesterol's effects cause the body harm.
D) as the primary female sex hormone
E) in calcium and phosphate metabolism
correct answer : A
as a component of animal cell membranes
What makes lipids/fats hydrophobic?
A) their long carbon skeleton
B) presence of relatively nonpolar CH bonds
C) the glycerol moiety
D) the carboxyl group at one end of the molecule
correct answer : B
presence of relatively nonpolar CH bonds
For lipids to be fluid at room temperature, they should have ________.
A) a higher number of cis double bonds
B) a higher number of glycerol molecules
C) a longer carbon chain
D) single bonds only
correct answer : A
a higher number of cis double bonds
How do phospholipids interact with water molecules?
A) Phospholipids do not interact with water because water is polar and lipids are nonpolar.
B) The polar heads avoid water; the nonpolar tails attract water (because water is polar and opposites attract).
C) Phospholipids dissolve in water.
D) The polar heads interact with water; the nonpolar tails do not.
correct answer : D
The polar heads interact with water; the nonpolar tails do not.
Phospholipids and triglycerides both _____.
A) contain serine or some other organic compound
B) have three fatty acids
C) have a phosphate
D) have a glycerol backbone
correct answer : D
have a glycerol backbone
Which of the following could be responsible for atherosclerosis and should be eliminated from diet for health reasons?
A) butter
B) olive oil
C) lard
D) butter and lard
correct answer : D
butter and lard

The molecule illustrated in the figure ________.
A) is a saturated fatty acid
B) is a carbohydrate
C) stores genetic information
D) will be liquid at room temperature
correct answer : D
is a saturated fatty acidis a carbohydratestores genetic informationwill be liquid at room temperature

The molecule shown the figure is a ________.
A) steroid
B) fatty acid
C) phospholipid
D) triacylglycerol
correct answer: A
steroid
In fat synthesis,________and fatty acids combine to make fats plus________.
A) glycerol; water
B) glucose; phosphate
C) esters; water
D) esters; phosphate
E) phosphate; glycerol
correct answer : A
glycerol; water
In the reaction that builds a fat,________ groups react with ________ groups.
A) hydroxyl; carboxyl
B) sulfhydryl; carboxyl
C) phosphate; amino
D) carboxyl; amino
E) hydroxyl; phosphate
correct answer : A
hydroxyl; carboxyl
A food company hydrogenated a barrel of fat. The treatment ...
A) made the fat less fluid.
B) made the fat less saturated.
C) lengthened the fat tails.
D) put more bends (kinks) in the fat tails.
E) Both (a) and (d).
correct answer : A
made the fat less fluid.
The most unsaturated fats have ...
A) the shortest hydrocarbon tails.
B) the highest ratio of H to C.
C) the fewest double bonds.
D) the most double bonds.
E) the longest hydrocarbon tails.
correct answer : D
the most double bonds.
What do DNA, proteins, and fats have in common?
A) They contain carbonyl groups.
B) They contain phosphorus.
C) They are polymers.
D) They are polar.
E) They contain nitrogen.
correct answer : A
They contain carbonyl groups.
A dehydration reaction (or condensation reaction) is the process in which _____.
A) water molecules are attracted to each other
B) water molecules are used as a source of raw material to break down polymers to monomers
C) the bonds between the individual monomers of a polymer are broken by the addition of water molecules
D) water molecules are produced as a polymer is formed from monomers
E) None of the choices is correct.
correct answer : D
water molecules are produced as a polymer is formed from monomers
Which of the following is not a polymer?
A) RNA
B) glucose
C) starch
D) DNA
correct answer : B
glucose
Which of the following shows the flow of genetic information?
A) DNA to RNA to ribosomes
B) protein to RNA to DNA
C) DNA to RNA to protein
D) RNA to DNA to protein
correct answer : C
DNA to RNA to protein
Which of the following clues would tell you if a cell is prokaryotic or eukaryotic?
A) whether or not the cell is compartmentalized by internal membranes
B) the presence or absence of ribosomes
C) whether the cell contains DNA or RNA
D) the presence or absence of a rigid cell wall
correct answer : A
whether or not the cell is compartmentalized by internal membranes
The anticodon of a particular tRNA molecule is?
A) changeable, depending on the amino acid that attaches to the tRNA.
B) complementary to the corresponding mRNA codon.
C) the part of tRNA that bonds to a specific amino acid.
D) complementary to the corresponding triplet in rRNA.
E) catalytic, making the tRNA a ribozyme.
correct answer : B
complementary to the corresponding mRNA codon.
Which of the following DNA mutations is most likely to damage the protein it specifies?
A) an addition of three nucleotides
B) a substitution in the last base of a codon
C) a codon deletion
D) a base-pair deletion
correct answer : D
a base-pair deletion
How might a single base substitution in the sequence of a gene affect the amino acid sequence of a protein encoded by the gene?
A) The amino acid sequence would be substantially altered, because the reading frame would change with a single base substitution.
B) All amino acids following the substitution would be affected, because the reading frame would be shifted.
C) It is not possible for a single base substitution to affect protein structure, because each codon is three bases long.
D) Only a single amino acid could change, because the reading frame would be unaffected.
correct answer : D
Only a single amino acid could change, because the reading frame would be unaffected.
Which of the following statements correctly describes the effect a nonsense mutation would have on a gene?
A) It introduces a premature stop codon into the mRNA.
B) It changes an amino acid in the encoded protein.
C) It has no effect on the amino acid sequence of the encoded protein.
D) It alters the reading frame of the mRNA.
correct answer: A
It introduces a premature stop codon into the mRNA.
Which of the following types of mutation, resulting in an error in the mRNA just after the AUG start of translation, is likely to have the most serious effect on the polypeptide product?
A) a deletion of two nucleotides
B) a substitution of the first nucleotide of a GGG codon
C) a deletion of a codon
D) a substitution of the third nucleotide in an ACC codon
correct answer: A
a deletion of two nucleotides
Where does translation take place?
A) Ribosome
B) Golgi apparatus
C) Endoplasmic reticulum
D) Nucleus
correct answer : A
Ribosome
Which nucleic acid is translated to make a protein?
A) rRNA
B) tRNA
C) mRNA
D) DNA
correct answer : C
mRNA
Which of the following processes is an example of a post-translational modification?
A) Phosphorylation
B) Initiation
C) Peptide bond formation
D) Elongation
correct answer : A
Phosphorylation
Which of the following steps occurs last in the initiation phase of translation?
A) The large ribosomal subunit joins the complex.
B) The small subunit of the ribosome binds to the 5’ cap on the mRNA.
C) A peptide bond is formed between two adjacent amino acids.
D) An aminoacyl tRNA binds to the start codon
correct answer : A
The large ribosomal subunit joins the complex.
At which site do new aminoacyl tRNAs enter the ribosome during elongation?
A) P-site
B) A-site
C) B-site
D) E-site
correct answer : B
A-site
What is meant by translocation?
A) The two ribosomal subunits are joined in a complex.
B) The completed polypeptide is released from the ribosome.
C) The ribosome slides one codon down the mRNA.
D) The polypeptide chain grows by one amino acid.
correct answer : C
The ribosome slides one codon down the mRNA.
True or false. A tRNA with an anticodon complementary to the stop codon catalyzes the reaction by which translation is terminated.
A) true
B) false
correct answer : B
false

Which of these is a tRNA?
A) A
B) B
C) C
D) D
E) E
correct answer : B
B
What enzyme catalyzes the attachment of an amino acid to tRNA?
A) aminoacyl-tRNA synthetase
B) rubisco
C) dextrinase
D) arginino
E) succinate lyase nuclease
correct answer : A
aminoacyl-tRNA synthetase
The tRNA anticodon, GAC, is complementary to the mRNA codon with the sequence _____.
A) CAG
B) CTG
C) GAC
D) CUG
E) TCG
correct answer : D
CUG

What is the name of the process shown in the diagram?
A) initiation (of transcription)
B) RNA processing
C) initiation (of translation)
D) elongation
E) termination (of translation)
correct answer : C
initiation (of translation)
The initiator tRNA attaches at the ribosome's _____ site.
A) A
B) translocation
C) E
D) P
E) Q
correct answer : D
P
A particular triplet of bases in the coding strand of DNA is AAA. The anticodon on the tRNA that binds this mRNA codon is _____.
A) UUU
B) TTT
C) UUA
D) AAA
correct answer : A
UUU
Accuracy in the translation of mRNA into the primary structure of a polypeptide depends on specificity in the _____.
A) binding of the anticodon to small subunit of the ribosome
B) attachment of amino acids to rRNAs
C) binding of ribosomes to mRNA
D) binding of the anticodon to the codon and the attachment of amino acids to tRNAs
correct answer : D
binding of the anticodon to the codon and the attachment of amino acids to tRNAs
What is the function of the release factor during translation in eukaryotes?
A) It releases the ribosome from the ER to allow polypeptides into the cytosol.
B) It binds to the stop codon in the A site in place of a tRNA.
C) It supplies a source of energy for termination of translation.
D) It releases the amino acid from its tRNA to allow the amino acid to form a peptide bond.
correct answer : B
It binds to the stop codon in the A site in place of a tRNA

What type of bonding is responsible for maintaining the shape of the tRNA molecule shown in the figure?
A) peptide bonding between amino acids
B) hydrogen bonding between base pairs
C) van der Waals interactions between hydrogen atoms
D) ionic bonding between phosphates
correct answer : B
hydrogen bonding between base pairs
The flow of information in a cell proceeds in what sequence?
A) from DNA to RNA to protein
B) from RNA to DNA to protein
C) from RNA to protein to DNA
D) from protein to RNA to DNA
E) from DNA to protein to RNA
correct answer : A
from DNA to RNA to protein
A codon consists of _____ bases and specifies which _____ will be inserted into the polypeptide chain.
A) two ... nucleotide
B) four ... fatty acid
C) three ... nucleotide
D) three ... amino acid
E) four ... amino acid
correct answer : D
three ... amino acid
The genetic code is essentially the same for all organisms. From this, one can logically assume which of the following statements to be true?
A) DNA was the first genetic material.
B) The same codons in different organisms translate into different amino acids.
C) Different organisms have different types of amino acids.
D) A gene from an organism can theoretically be expressed by any other organism.
correct answer : D
A gene from an organism can theoretically be expressed by any other organism

What amino acid sequence will be generated, based on the following
mRNA codon sequence?
5-AUG-UCU-UCG-UUA-UCC-UUG-3
A) Met-Arg-Glu-Arg-Glu-Arg
B) Met-Ser-Leu-Ser-Leu-Ser
C) Met-Glu-Arg-Arg-Glu-Leu
D) Met-Ser-Ser-Leu-Ser-Leu
correct answer : D
Met-Ser-Ser-Leu-Ser-Leu

Arrow A is indicating a(n) _____ protein.
A) transport
B) enzyme
C) signal
D) receptor
E) structural
correct answer : E
structural

Arrow D is indicating a _____ protein.
A) receptor
B) defensive
C) transport
D) gene regulatory
E) storage
correct answer : A
receptor
Which of these does NOT contain a structural protein?
A) muscles
B) ovalbumin
C) spider silk
D) tendons
E) ligaments
correct answer : B
ovalbumin
Defensive proteins are manufactured by the _____ system.
A) cardiovascular
B) integumentary
C) immune
D) nervous
E) digestive
correct answer : C
immune
Proteins are polymers of _____.
A) amino acids
B) hydrocarbons
C) CH2O units
D) nucleotides
E) glycerol
correct answer : A
amino acids
What type of bond joins the monomers in a protein's primary structure?
A) peptide
B) hydrophobic
C) S - S
D) ionic
E) hydrogen
correct answer : A
peptide
The secondary structure of a protein results from _____.
A) hydrophobic interactions
B) hydrogen bonds
C) peptide bonds
D) ionic bonds
E) bonds between sulfur atoms
correct answer : B
hydrogen bonds
Tertiary structure is NOT directly dependent on _____.
A) hydrophobic interactions
B) hydrogen bonds
C) bonds between sulfur atoms
D) ionic bonds
E) peptide bonds
correct answer : E
peptide bonds
What component of amino acid structure varies among different amino acids?
A) the presence of a central C atom
B) the glycerol molecule that forms the backbone of the amino acid
C) the long carbon-hydrogen tails of the molecule
D) the components of the R group
correct answer : D
the components of the R group
You disrupt all hydrogen bonds in a protein. What level of structure will be preserved?
A) primary structure
B) secondary structure
C) tertiary structure
D) quaternary structure
correct answer : A
primary structure
You have just sequenced a new protein found in mice and observe that sulfur-containing cysteine residues occur at regular intervals. What is the significance of this finding?
A) Cysteine residues are involved in disulfide bridges that help form tertiary structure.
B) Cysteine causes bends, or angles, to occur in the tertiary structure of proteins.
C) Cysteine residues are required for the formation of α-helices and β-pleated sheets.
D) It will be important to include cysteine in the diet of the mice
correct answer : A
Cysteine residues are involved in disulfide bridges that help form tertiary structur

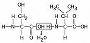
The chemical reaction illustrated ________.
A) joins two fatty acids together
B) is a hydrolysis reaction
C) results in a peptide bond
D) links two polymers to form a monomer
correct answer : C
results in a peptide bond
Which of the following provides the information necessary to stipulate a protein's 3-D shape?
A)sequence of amino acids in the polypeptide chain
B) peptide bonds between different amino acids
C) number of water molecules in the vicinity
D) side chains of various amino acids
correct answer : A
sequence of amino acids in the polypeptide chain
Which feature of large biological molecules explains their great diversity?
A) The many classes of large biological molecules
B) The many ways that monomers of each class of biological molecule can be combined into polymers
C) The diversity of elements found in large biological molecules
correct answer : B
The many ways that monomers of each class of biological molecule can be combined into polymers
Which of the following descriptions best fits the class of molecules known as nucleotides?
A) a sugar and a purine or pyrimidine
B) a nitrogenous base, a phosphate group, and a sugar
C) a nitrogenous base and a sugar
D) a nitrogenous base and a phosphate group
correct answer : B
a nitrogenous base, a phosphate group, and a sugar
Which of the following statements about the 5 end of a polynucleotide strand of RNA is correct?
A) The 5 end has phosphate attached to the number 5 carbon of the nitrogenous base.
B) The 5 end has a phosphate group attached to the number 5 carbon of ribose.
C) The 5 end has a hydroxyl group attached to the number 5 carbon of ribose.
D) The 5 end has a carboxyl group attached to the number 5 carbon of ribose.
correct answer : B
The 5 end has a phosphate group attached to the number 5 carbon of ribose.
Which molecule is a nucleotide?
A) Deoxyribose
B) ATP
C) The amino acid glycine
correct answer : B
ATP
When nucleotides polymerize to form a nucleic acid _____.
A) a covalent bond forms between the sugar of one nucleotide and the phosphate of a second
B) hydrogen bonds form between the bases of two nucleotides
C) covalent bonds form between the bases of two nucleotides
D) a hydrogen bond forms between the sugar of one nucleotide and the phosphate of a second
correct answer : A
a covalent bond forms between the sugar of one nucleotide and the phosphate of a second
Which of the following is a major difference between RNA and DNA?
A) type of phosphate
B) type of purines
C) type of glycosidic bond
D) type of sugar
correct answer : D
type of sugar
If a strand of DNA has the nitrogen base sequence 5'-ATTTGC-3', what will be the sequence of the matching strand?
A) 3'-TUUUCG-5'
B) 3'-GCAAAT-5'
C) 3'-TAAACG-5'
D) 3'-ATTTGC-5'
E) 3'-UAAACG-5'
correct answer : C
3'-TAAACG-5'
If a DNA double helix is 100 nucleotide pairs long and contains 25 adenine bases, how many guanine bases does it contain?
A) 150
B) 25
C) 75
D) 200
E) 50
correct answer : C
75
The two strands of a DNA double helix are held together by _____ that form between pairs of nitrogenous bases.
A) hydrogen bonds
B) S—S bonds
C) hydrophilic interactions
D) ionic bonds
E) covalent bonds
correct answer : A
hydrogen bonds
A nucleotide is composed of a(n) _____.
A) glycerol, a nitrogen-containing base, and a five-carbon sugar
B) sulfhydryl group, a nitrogen-containing base, and a five-carbon sugar
C) amino group, a nitrogen-containing base, and a five-carbon sugar
D) phosphate group, a nitrogen-containing base, and a hydrocarbon
E) phosphate group, a nitrogen-containing base, and a five-carbon sugar
correct answer : E
phosphate group, a nitrogen-containing base, and a five-carbon sugar
Some regions of a polypeptide may coil or fold back on themselves. This is called _____, and the coils or folds are held in place by _____.
A) secondary structure ... peptide bonds
B) tertiary structure ... covalent bonds
C) secondary structure ... hydrogen bonds
D) primary structure ... covalent bonds
E) tertiary structure ... hydrogen bonds
correct answer : C
secondary structure ... hydrogen bonds
A hydrophobic amino acid R group (side group) would be found where in a protein?
A) forming hydrogen bonds with other R groups
B) on the inside of the folded chain, away from water
C) only at one end of a protein chain
D) forming a peptide bond with the next amino acid in the polypeptide chain
E) on the outside of the folded chain, in the water
correct answer : B
on the inside of the folded chain, away from water
Which parts of the amino acids X and Y are involved in the formation
of a peptide bond?
(N-terminus) XY (C-terminus)
A) carboxyl group of X and side chain of Y
B) side chains of both X and Y
C) carboxyl group of X and amino group of Y
D) amino group of X and carboxyl group of Y
correct answer : C
carboxyl group of X and amino group of Y
A tripeptide has ________.
A) three amino acids and three peptide bonds
B) three amino acids and two peptide bonds
C) two amino acids and three peptide bonds
D) four amino acids and three peptide bonds
correct answer : B
three amino acids and two peptide bonds
Which of the following statements is true about proteins?
A) Denaturation is always irreversible
B) Final folded structure can reveal the steps of protein folding
C) Denaturation leads to bond disruption, and the molecule turns into liquid
D) Some proteins form a complete 3-D structure only when they interact with their targets
correct answer : D
Some proteins form a complete 3-D structure only when they interact with their targets
In sickle-cell disease, as a result of a single amino acid change, the mutant hemoglobin tetramers associate with each other and assemble into large fibers. Based on this information alone, we can conclude that sickle-cell hemoglobin exhibits ________.
A) only altered quaternary structure
B) only altered primary structure
C) only altered tertiary structure
D) altered primary structure and altered quaternary structure; the secondary and tertiary structures may or may not be altered
correct answer : D
altered primary structure and altered quaternary structure; the secondary and tertiary structures may or may not be altered
Misfolding of polypeptides is a serious problem in cells. Which of the following diseases are associated with an accumulation of misfolded polypeptides?
A) Parkinson's
B) Alzheimer's
C) diabetes mellitus
D) Alzheimer's and Parkinson's
correct answer : D
Alzheimer's and Parkinson's
Homo sapiens have 23 pairs of chromosomes. This implies that ________.
A) 23 single-stranded DNA molecules are present in each somatic cell
B) 23 double-stranded DNA molecules are present in each somatic cell
C) several hundreds of genes are present on DNA but not on the chromosomes
D) 46 double-stranded DNA molecules are present in each somatic cell
correct answer : D
46 double-stranded DNA molecules are present in each somatic cell
The flow of genetic information in a cell goes from _____.
A) protein to RNA to DNA
B) DNA to lipid to protein
C) DNA to RNA to protein
D) DNA to RNA to glucose
E) DNA to ribosomes to RNA
correct answer : C
DNA to RNA to protein
The building blocks or monomers of nucleic acid molecules are called _____.
A) DNA and RNA
B) polysaccharides
C) fatty acids
D) pyrimidines and purines
E) nucleotides
correct answer : E
nucleotides
One of the primary functions of RNA molecules is to _____.
A) transmit genetic information to offspring
B) function in the synthesis of proteins
C) make a copy of itself, thus ensuring genetic continuity
D) act as a pattern or blueprint to form DNA
correct answer : B
function in the synthesis of proteins
If 14C-labeled uracil is added to the growth medium of cells, what macromolecules will be labeled?
A) both DNA and RNA
B) RNA
C) polypeptides
D) DNA
correct answer : B
RNA
In an RNA sample, ________.
A) the number of purine may or may not equal the number of and pyrimidine
B) the number of thymine may or may not equal the number of adenine
C) the number of thymine always equals the number of uracil
D) the number of purine always equals the number of pyrimidine
correct answer : A
the number of purine may or may not equal the number of and pyrimidine