Chapter 7/8 Stoker Flashcards


Set Details Share
created 8 years ago by Liz_avu
Chem 121
Subjects:
chem 121
show moreless
Page to share:
Embed this setcancel
COPY
code changes based on your size selection
Size:
X
Show:

1

Which of the following statements is not a part of kinetic molecular theory?

Matter is composed of particles that are in constant motion.
B) Particle velocity increases as the temperature increases.
C) Particles in a system cannot transfer energy to each other.
D) Particle interactions involve electrostatic attractions and repulsions.

C) Particles in a system cannot transfer energy to each other.

2

In which of the following groupings of terms are the three terms closely related?
A) kinetic energy, energy of motion, cohesive forces
B) potential energy, energy of attraction, disruptive forces
C) kinetic energy, electrostatic interactions, disruptive forces
D) potential energy, electrostatic interactions, cohesive forces

D) potential energy, electrostatic interactions, cohesive forces

3

In the liquid state, disruptive forces are
A) roughly of the same magnitude as cohesive forces.
B) very weak compared to cohesive forces.
C) dominant over cohesive forces.
D) unimportant.

A) roughly of the same magnitude as cohesive forces.

4

The phrases “particles close together and held in fixed positions” and “completely fills
the container” apply, respectively, to
A) liquids and solids.
B) solids and gases.
C) gases and liquids.
D) liquids and gases.

B) solids and gases.

5

How many times larger in size is the atmosphere pressure unit than the mm Hg pressure
unit?
A) 100
B) 325
C) 760
D) 1000

C) 760

6

Boyle's law involves which of the following?
A) a direct proportion
B) a constant volume
C) a constant pressure
D) a constant temperature

D) a constant temperature

7

Indicate what the missing words are in the following statement of Charles' law: At
constant pressure, the volume of a gas sample is _______ proportional to its _______
temperature.
A) directly; Celsius
B) directly; Kelvin
C) inversely; Celsius
D) inversely; Kelvin

B) directly; Kelvin

8

A gas has a volume of 4.70 liters at a temperature of 47ºC and pressure of 2.60 atm.
What is the volume of the gas, in liters, at a temperature of 277ºC and a pressure of
3.10?
A) 0.15 L
B) 6.78 L
C) 2.29 L
D) 5 1.03 10 × L

B) 6.78 L

9

The correct form of the equation for the ideal gas law is
A) PV = nRT.
B) PT = nRV.
C) P/V = nRT.
D) PV = n/RT.

A) PV = nRT.

10

What is the volume, in liters, occupied by 1.68 moles of N2 gas at 0.754 atm pressure
and a temperature of 96ºC?
A) 38.4 L
B) –2 1.5 10 × L
C) 67.5 L
D) 17.6 L

C) 67.5 L

11

The partial pressure of neon in a gaseous mixture of neon and boron trifluoride is
A) the pressure that the neon would exert in the absence of the boron trifluoride
B) the percentage of the total pressure of the mixture that is contributed by neon
C) equal to the total pressure divided by neon's molar mass
D) equal to the total pressure divided by the number of neon atoms present

A) the pressure that the neon would exert in the absence of the boron trifluoride

12

In which of the following pairs of physical changes are both changes exothermic?
A) sublimation, evaporation
B) freezing, melting
C) freezing, condensation
D) melting, sublimation

C) freezing, condensation

13

Which of the following statements concerning evaporation is incorrect?
A) Molecules with energies considerably above average are those which escape from
the liquid.
B) Increasing the surface area of the liquid decreases the rate of evaporation.
C) Increasing the temperature of the liquid increases the rate of evaporation.
D) Evaporation causes the liquid temperature to decrease.

B) Increasing the surface area of the liquid decreases the rate of evaporation.

14

Which of the following is not a factor in determining the magnitude of the vapor
pressure of a liquid?
A) the temperature of the liquid
B) the strength of the attractive forces between molecules of the liquid
C) the size of the container for the liquid
D) the type of forces between molecules within the liquid

C) the size of the container for the liquid

15

The boiling point of a liquid is
A) the temperature at which the rate of evaporation and sublimation are equal
B) always 32.0ºC or greater
C) the temperature at which the pressure over the liquid equals the vapor pressure of
the liquid
D) the temperature at which liquid-vapor equilibrium is reached

C) the temperature at which the pressure over the liquid equals the vapor pressure of

16

A liquid is placed in a closed container. Equilibrium is reached when
A) all of the liquid evaporates
B) when the rate of condensation equals the rate of evaporation
C) when the rate of condensation exceeds the rate of evaporation
D) when molecules cease to pass from the liquid state to the vapor state

B) when the rate of condensation equals the rate of evaporation

17

Liquids will boil at lower temperatures at higher elevations because
A) the intermolecular attractions are weaker.
B) atmospheric pressure increases.
C) it is harder to transfer heat to the liquid.
D) the vapor pressure at which boiling occurs is lower

D) the vapor pressure at which boiling occurs is lower

18

Which of the following statements about intermolecular forces is incorrect?
A) They must be overcome in order for molecules to escape from the liquid state into
the vapor state.
B) They are much weaker than intramolecular forces.
C) They are electrostatic in origin.
D) They occur within molecules rather than between molecules.

D) They occur within molecules rather than between molecules.

19

Which of the following statements is correct?
A) Dipole-dipole interactions occur only between nonpolar molecules.
B) A hydrogen bond is an extremely weak dipole-dipole interaction.
C) London forces are “instantaneous” dipole-dipole interactions.
D) Hydrogen bonding occurs anytime a hydrogen-containing molecule is present in a
liquid

C) London forces are “instantaneous” dipole-dipole interactions.

20

In which of the following liquids would London forces be the predominant
intermolecular force?
A) HF
B) Br2
C) H2Te
D) BrCl

B) Br2

21

Which of the following descriptions apply to matter in the solid state?
A) definite shape and high density
B) cohesive forces dominate over disruptive forces
C) kinetic energy dominates over potential energy
D) more than one correct response
E) no correct response

D) more than one correct response

22

Which of the following descriptions apply to matter in the liquid state?
A) Temperature change significantly influences the volume.
B) Particles are less free to move about than in the solid state.
C) Particles transfer energy from one to another through collisions.
D) more than one correct response
E) no correct response

C) Particles transfer energy from one to another through collisions.

23

Which of the following descriptions apply to matter in the gaseous state?
A) definite shape and definite volume
B) disruptive and cohesive forces are about equal
C) pressure change significantly influences the volume
D) more than one correct response
E) no correct response

C) pressure change significantly influences the volume

24

Which of the following pressure relationships is correct?
A) 760 torr = 760 mm Hg
B) 1 atm = 15.8 psi
C) 650 torr = 1 atm
D) more than one correct response
E) no correct response

A) 760 torr = 760 mm Hg

25

Charles's law involves which of the following?
A) an indirect proportion
B) a fixed quantity of gas
C) constant temperature
D) more than one correct response
E) no correct response

D) more than one correct response

26

Which of the following samples of gas would have a new volume of 3.00 liters if the
pressure is decreased from 3.00 atm to 1.00 atm at constant temperature?
A) 1.00 L He
B) 5.00 L CO2
C) 9.00 L H2S
D) more than one correct response
E) no correct response

A) 1.00 L He

27
card image

E

28

A 1.00 mole sample of a gas would have a volume of 0.821 L at which of the following
temperature and pressure conditions?
A) 300 K and 30.0 atm
B) –123º C and 15.0 atm
C) 300º C and 10.0 atm
D) more than one correct response
E) no correct response

D) more than one correct response

29

A gaseous mixture at a total pressure of 1.50 atm contains equal molar amounts of He,
Ne, and Ar. At constant temperature CO2 gas is added to the mixture until the total
pressure is 3.00 atm. Which of the following is a correct statement concerning partial
pressures after the CO2 addition?
A) The partial pressure of Ar has doubled.
B) The partial pressure of CO2 is three times that of Ne.
C) All four gases have equal partial pressures.
D) more than one correct response
E) no correct response

B) The partial pressure of CO2 is three times that of Ne.

30

In which of the following pairs of state changes is the final state (solid, liquid, gas) the
same for both members of the pair?
A) sublimation and evaporation
B) condensation and freezing
C) deposition and melting
D) more than one correct response
E) no correct response

A) sublimation and evaporation

31

If some of the vapor is allowed to escape from a sample where liquid and vapor are in
equilibrium, the immediate result is
A) an increase in intermolecular force strength.
B) a decrease in condensation rate.
C) a decrease in evaporation rate.
D) more than one correct response
E) no correct response

B) a decrease in condensation rate.

32

When the vapor pressure of a liquid equals atmospheric pressure, the temperature of the
liquid equals
A) 100º C if the liquid is at sea level.
B) the boiling point of the liquid.
C) the normal boiling point of the liquid.
D) more than one correct response
E) no correct response

B) the boiling point of the liquid.

33

A volatile liquid would
A) have weak attractive forces between molecules.
B) evaporate “slowly” at room temperature.
C) have a low vapor pressure at room temperature.
D) more than one correct response
E) no correct response

A volatile liquid would

34

Intermolecular forces differ from intramolecular forces in that
A) they occur only in liquids.
B) they are much stronger.
C) they occur only when hydrogen atoms are present.
D) more than one correct response
E) no correct response

E) no correct response

35

In which of the following pairs of molecules would the first listed member of the pair
have a higher boiling point than the second listed member of the pair?
A) HF and HBr
B) F2 and Cl2
C) O2 and NO
D) more than one correct response
E) no correct response

A) HF and HBr

36

Use the following to answer questions 36-45:
In each of the following multiple-choice questions, characterize EACH of the three given
statements as being TRUE or FALSE and then indicate the collective true-false status of the
statements using the choices
a) All three statements are true.
b) Two of the three statements are true.
c) Only one of the statements is true.
d) None of the statements is true.

c) Only one of the statements is true.

37

(1) For molecules of similar molecular mass, nonpolar molecules have higher vapor
pressures than polar molecules.
(2) Temperature values must be expressed on the Kelvin scale when using all gas laws
except the ideal gas law.
(3) The average kinetic energy of a system of molecules decreases as temperature
increases.
A) All three statements are true.
B) Two of the three statements are true.
C) Only one of the statements is true.
D) None of the statements is true.

C) Only one of the statements is true.

38

Statements:
(1) Sublimation and deposition are “opposite” changes of state.
(2) A pressure of 1 atmosphere is greater in magnitude than a pressure of 720 torr.
(3) The boiling point of a liquid can be increased by heating the liquid to a higher
temperature.
A) All three statements are true.
B) Two of the three statements are true.
C) Only one of the statements is true.
D) None of the statements is true.

C) Only one of the statements is true.

39

Statements:
(1) Associated with Charles's law is the concept that if the temperature of a gas
increases the volume of the gas also increases.
(2) Liquids show little change in volume with changes in temperature.
(3) Dipole-dipole interactions are examples of intramolecular forces and hydrogen
bonds are examples of intermolecular forces.
A) All three statements are true.
B) Two of the three statements are true.
C) Only one of the statements is true.
D) None of the statements is true.

C) Only one of the statements is true.

40

Statements:
(1) Macroscopic properties of the liquid state include a definite shape and a definite
volume.
(2) A condition of physical equilibrium is associated with the measurement of vapor
pressure.
(3) Boyle's law involves a direct proportionality relationship between pressure and
volume.
A) All three statements are true.
B) Two of the three statements are true.
C) Only one of the statements is true.
D) None of the statements is true.

C) Only one of the statements is true.

41

Statements:
(1) Both dipole-dipole interactions and hydrogen bonds are stronger than most single
covalent bonds.
(2) The value of the ideal gas constant is the same for all gases under ordinary
conditions of P, V, and T.
(3) Both condensation and freezing are endothermic changes of state.
A) All three statements are true.
B) Two of the three statements are true.
C) Only one of the statements is true.
D) None of the statements is true.

A) All three statements are true.

42

Statements:
(1) The potential energy of greatest importance when considering the states of matter is
that associated with electrostatic interactions between particles.
(2) The pressure exerted by each gas in a mixture of gases is the same as it would be if
the gas were alone under the same conditions.
(3) London forces are instantaneous dipole-dipole interactions whose strength depends
on the ease with which molecular electron distributions can be distorted.
A) All three statements are true.
B) Two of the three statements are true.
C) Only one of the statements is true.
D) None of the statements is true

B) Two of the three statements are true.

43

Statements:
(1) The process of breathing is readily explained using Charles's law.
(2) In a molecular system, kinetic energy is considered to be a disruptive force.
(3) A pressure of 200 mm Hg and a pressure of 200 torr are equal.
A) All three statements are true.
B) Two of the three statements are true.
C) Only one of the statements is true.
D) None of the statements is true.

D) None of the statements is true.

44

Statements:
(1) The ideal gas law involves the variables P, V, T, and R, and the constant n.
(2) Boiling is a special form of evaporation which occurs when atmospheric pressure
exceeds the vapor pressure of the hot liquid.
(3) The two requirements for hydrogen bond formation are molecular polarity and the
presence of covalently-bonded hydrogen atoms.
A) All three statements are true.
B) Two of the three statements are true.
C) Only one of the statements is true.
D) None of the statements is true.

D) None of the statements is true.

45

Statements:
(1) Water's boiling point is much lower than expected, based on comparison with other
substances, because of hydrogen bonding.
(2) In the gaseous state, disruptive forces and cohesive forces are of about the same
magnitude.
(3) As liquid surface area increases, the rate of evaporation of a liquid increases because
molecules encounter less external pressure.
A) All three statements are true.
B) Two of the three statements are true.
C) Only one of the statements is true.
D) None of the statements is true.

A) All three statements are true.

46

For each of the physical state characterizations, select from the response list the physical state or
states to which the characterizations apply. Responses may be used more than once or need not
be used at all.
a) liquid state only
b) solid state only
c) both liquid and solid states
d) both gaseous and liquid states
46. Indefinite shape
47. Definite volume
48. Cohesive forces dominate over disruptive forces.
49. Potential energy dominates over kinetic energy.
50. Particles are relatively close together.

46-D: both gaseous and liquid states

47- C: both liquid and solid states

48- B: solid state only

49- B: solid state only

50- C: both liquid and solid states

47
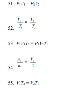
card image

For each of the mathematical expressions for gas laws listed, select the correct name for the law
from the response . Responses on the right may be used more than once or need not be used at
all.
a) Avogadro's law
b) Boyle's law
c) Charles's law
d) combined gas law

51- B: Boyle's law

52- C: Charles's law

53- D: combined gas law

54- A: Avogadro's law

55- C: Charles's law

48

For each of the change of state descriptions, select the name of the change of state fro
m the response . Responses on the right may be used more than once or need not be used at all.
a) sublimation
b) condensation
c) deposition
d) freezing
56. An endothermic change
57. Opposite of evaporation
58. Energy is absorbed
59. Involves both the liquid and solid state
60. Involves both the liquid and gaseous state

56-a) sublimation

57-b) condensation

58-a) sublimation

59-d) freezing

60-b) condensation