In the cross AaBb x AaBb, how many different kinds of genotypes can result in the progeny if the A and B genes are independently assorting?
9

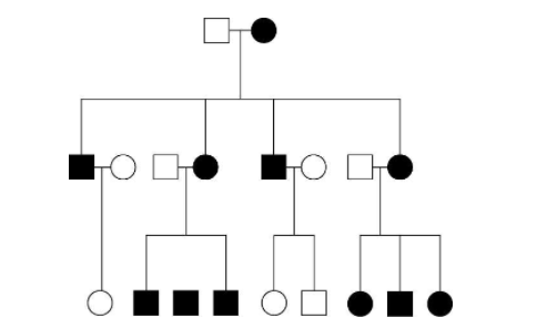
The pedigree in the figure above shows the transmission of a trait in a particular family. Based on this pattern of transmission, the trait is most likely _____.
A) mitochondrial
B) sex-linked dominant
C) sex-linked recessive
D) autosomal dominant
A
Red-green color blindness is a sex-linked recessive trait in humans. Two people with normal color vision have a color-blind son. What are the genotypes of the parents?
A) XnXn and XnY
B) XNXN and XnY
C) XNXN and XNY
D) XNXn and XNY
D
A couple has 5 children, all sons. If the women gives birth to the sixth child what is the probability it will be a son
1/2
What organelle modifies and packages for secretion the material produced by the ribosomes
the golgi apparatus
How many unique gametes could be produced through independent assortment by an individual with the genotype AaBbCCDdEE? a. 4 b. 8 c. 16 d. 32 e. 64
8
Assume that the alleles referred to all assort independently.
(A) 0
(B) 1/16
(C) 1/4
(D) 1/2
(E)
3/4
Probability that the genotype Aa will be produced by the
parents Aa x Aa
D
Assume that the alleles referred to all assort independently.
(A) 0
(B) 1/16
(C) 1/4
(D) 1/2
(E)
3/4
Probability that the genotype ccdd will be produced by the
parents CcDd x CcDd
B
Assume that the alleles referred to all assort independently.
(A) 0
(B) 1/16
(C) 1/4
(D) 1/2
(E)
3/4
Probability that the genotype Rr will be produced by the
parents Rr x rr
D
Assume that the alleles referred to all assort independently.
(A) 0
(B) 1/16
(C) 1/4
(D) 1/2
(E)
3/4
Probability that the genotype TTSs will be produced by the
parents TTSs x TtSS
C
.In sheep, eye color is controlled by a single gene with two alleles.
When a homozygous brown-eyed sheep is crossed with a homozygous
green-eyed sheep, blue eyes offspring are produced. If the blue eyed
sheep are mated with each other, what percent of their offspring will
most likely have brown eyes?
A. 0%
B. 25%
C. 50%
D. 75%
E. 100%
B
1) Chromosomes and genes share all of the following characteristics
except that
A) they are both present in pairs in all diploid
cells.
B) they both undergo segregation during meiosis.
C)
their copy numbers in the cell decrease after meiosis, and increase
during fertilization.
D) they are both copied during the S phase
of the cell cycle.
E) they both pair up with their homologues
during prophase of mitosis.
E
14) The reason that linked genes are inherited together is that
A) they are located on the same chromosome.
B) the number
of genes in a cell is greater than the number of chromosomes.
C)
chromosomes are unbreakable.
D) alleles are paired.
E)
genes align that way during metaphase I.A) they are located on the
same chromosome.
A
16) There is good evidence for linkage when
A) two genes occur
together in the same gamete.
B) a gene is associated with a
specific phenotype.
C) two genes work together to control a
specific characteristic.
D) genes do not segregate independently
during meiosis.
E) two characteristics are caused by a single gene.
D
In a species that has five different alleles for a gene at a
particular locus....?how many different alleles may be present in the
somatic cels of one diploid individual?
A. one
B. two
C. three
D. none
2
Questions 102-103 refer to the birth of a child with blood type
A
to a mother with blood type B
102. The father must have
which of the following blood types?
(A) AB only
(B) Either
AB orB
(C) Either AB or 0
(D) Either AB or A
(E) AB or
A or O
D
103. If the father has blood type AB, which of the
following
statements is correct about the mother?
(A) She
contributes an 18 allele, which is recessive to the
father's I A
allele.
(B) She contributes an i allele, which is recessive to
the
father's I A allele.
(C) She contributes an 18 allele,
which is codominant to the
father's I A allele.
(D) She
contributes an i allele, which is codominant to the
father's 18
allele.
(E) She is homozygous for the 18 allele.
B
Questions 114-116 refer to an experiment in which a dialysis-tubing
bag is filled with a mixture of 3% starch and 3%
glucose and
placed in a beaker of distilled water, as shown below. After 3 hours,
glucose can be detected in the water
outside the dialysis-tubing
bag, but starch cannot.
114. From the initial conditions
and results described,
which of the following is a logical
conclusion?
(A) The initial concentration of glucose in
the
bag is higher than the initial concentration
of starch
in the bag.
(B) The pores of the bag are larger than
the
glucose molecules but smaller than the
starch
molecules.
(C) The bag is not selectively permeable.
(D) A
net movement of water into the beaker has
occurred.
(E) The
molarity of the solution in the bag and
the molarity of the
solution in the surrounding
beaker are the same.
B
Questions 114-116 refer to an experiment in which a dialysis-tubing
bag is filled with a mixture of 3% starch and 3%
glucose and
placed in a beaker of distilled water, as shown below. After 3 hours,
glucose can be detected in the water
outside the dialysis-tubing
bag, but starch cannot.
115. Which of the following best
describes the condition
expected after 24 hours?
(A) The
bag will contain more water than it did
in the original
condition.
(B) The contents of the bag will have the
same
osmotic concentration as the
surrounding
solution.
(C) Water potential in the bag will
be greater
than water potential in the
surrounding
solution.
(D) Starch molecules will continue to
pass
through the bag.
(E) A glucose test on the solution in
the bag will
be negative.
A
Questions 114-116 refer to an experiment in which a dialysis-tubing
bag is filled with a mixture of 3% starch and 3%
glucose and
placed in a beaker of distilled water, as shown below. After 3 hours,
glucose can be detected in the water
outside the dialysis-tubing
bag, but starch cannot.
116. If, instead of the bag, a
potato slice were placed
in the beaker of distilled water, which
of the
following would be true of the potato slice?
(A) It
would gain mass.
(B) It would neither gain nor lose
mass.
(C) It would absorb solutes from the
surrounding
liquid.
(D) It would lose water until water
potential
inside the cells is equal to zero.
(E) The cells
of the potato would increase their
metabolic activity.
A
Questions 111-113 refer to an experiment that was performed to
separate DNA fragments from four samples
radioactively labeled
with 32 P. The fragments were separated by gel electrophoresis.
111. The electrophoretic separation of the pieces of
DNA in
each of the four samples was achieved
because of differential
migration of the DNA
fragments in an electric field. This
differential
migration was caused by the
(A) relative
amounts of radioactivity in the DNA
(B) number of cleavage points
per fragment
(C) size of each fragment
(D) overall positive
charge of each fragment
(E) solubility of each fragment
C
Questions 111-113 refer to an experiment that was performed to
separate DNA fragments from four samples
radioactively labeled
with 32 P. The fragments were separated by gel electrophoresis.
112. The DNA was labeled with 32 P in order to
(A)
stimulate DNA replication
(B) inhibit the uptake of unlabeled A
TP
(C) show which fragments included the 5' end
and which
fragments included the 3' end
(D) visualize the
fragments
(E) speed up the rate of separation by
electrophoresis
D
Questions 111-113 refer to an experiment that was performed to
separate DNA fragments from four samples
radioactively labeled
with 32 P. The fragments were separated by gel electrophoresis.
113. Which of the following is an additional use of the
gel
electrophoresis technique?
(A) To express a gene
(B) To
separate proteins in a mixture
(C) To ligate DNA
fragments
(D) To transform E. coli
(E) To amplify genes
B

- Represents the net energy change of the reaction
D

- Represents the activation energy of the enzyme catalyzed reaction
B

- Represents the energy state of the reactants of the enzyme-catalyzed pathway
A

- Represents the energy state of the products of the pathway that is not enzymecatalyzed
E

Represents the energy state of the products of the enzyme catalyzed path way
E
8) Synaptic signaling between adjacent neurons is like hormone
signaling in which of the following ways?
A) It sends its signal
molecules through the blood.
B) It sends its signal molecules
quite a distance.
C) It requires calcium ions.
D) It
requires binding of a signaling molecule to a receptor.
E) It
persists over a long period
D
6) The process of transduction usually begins
A) when the
chemical signal is released from the alpha cell.
B) when the
signal molecule changes the receptor protein in some way.
C)
after the target cell divides.
D) after the third stage of cell
signaling is completed.
E) when the hormone is released from the
gland into the blood
B
Which of the following describes cell communication systems?
A)
Cell signaling evolved more recently than systems such as the immune
system of vertebrates.
B) Communicating cells are usually close
together.
C) Most signal receptors are bound to the outer
membrane of the nuclear envelope.
D) Lipid phosphorylation is a
major mechanism of signal transduction.
E) In response to a
signal, the cell may alter activities by changes in cytosol activity
or in transcription of RNA.
E
Which of the following would be inhibited by a drug that specifically
blocks the addition of phosphate groups to proteins?
A)
G-protein-linked receptor signaling
B) ligand-gated ion channel
signaling
C) adenylyl cyclase activity
D) phosphatase
activity
E) receptor tyrosine kinase activity
E
a molecule that specifically binds to another molecule, often a larger one
ligand
the general name for an enzyme that transfers phosphate groups from ATP to a protein
protein kinase
special proteins which control which genes are turned on - that is, which genes are transcribed into mRNA - in a particular cell at a particular time
transcription factors
The mechanism of action of many common medications involves interfering with the normal pathways that cells use to respond to hormone signals. Which of the following best describes a drug interaction that directly interferes with a signal transduction pathway?
A. A medication interrupts the transcription of ribosomal RNA genes.
B. A medication enters the target cell and inhibits an enzyme that normally synthesizes a second messenger.
C. A medication causes the cell to absorb more of a particular mineral, eventually poisoning the cell.
D. A medication enters the target cell's cytoplasm and acts as a mutagen.
B
Is an allergy (to pollen, bees, peanuts, etc) a normal body function or a disruption of body function?
A. An allergy is a normal body function that returns the immune system to homeostasis.
B. An allergy is a disruption of normal body function when the immune system overreacts to a particular antigen.
C. An allergy is a disruption of normal body function when the immune system is inactivated and cannot fight a particular antigen.
D. An allergy is a disruption of normal body function when the immune system identifies a foreign antigen as one of the body’s own self proteins.
B
Most nerve cells communicate with others by means of:
A. electrical signals that pass across synapses.
B. chemical signals that pass across synapses.
C. bursts of pressure that bump the postsynaptic cell membrane.
D. sodium ions as they are released from one cell and enter the next.
B
The process of transduction usually begins
a.when the chemical signal is released from the alpha cell.
b.when the signal molecule changes the receptor protein in some way.
c.after the target cell divides.
d.after the third stage of cell signaling is completed.
e.when the hormone is released from the gland into the blood.
B
The signal transduction pathway in animal cells that use
epinephrine
A) activates the breakdown of glycogen in liver and
skeletal muscle cells.
B) is a classic example of synaptic
signaling.
C) operates independently of hormone receptors on
target cells.
D) A and B only
E) A, B, and C
A
When a cell releases a signal molecule into the environment and a
number of cells in the immediate vicinity respond, this
type of
signaling is
A) typical of hormones.
B) autocrine
signaling.
C) paracrine signaling.
D) endocrine
signaling.
E) synaptic signaling.
C
Of the following, a receptor protein in a membrane that recognizes a
chemical signal is most similar to
A) the active site of an
enzyme in the cytoplasm that binds to a specific substrate.
B)
RNA specifying the amino acids in a polypeptide.
C) a particular
metabolic pathway operating within a specific organelle.
D) an
enzyme with an optimum pH and temperature for activity.
E) genes
making up a chromosome.
A
A small molecule that specifically binds to another molecule, usually
a larger one
A) is called a signal transducer.
B) is called
a ligand.
C) is called a polymer.
D) seldom is involved in
hormonal signaling.
E) usually terminates a signal reception.
B
A plant deficient in calcium could experience several problems,
including
A) poor response to signals of stress, drought, or
cold.
B) decreased response to epinephrine.
C) overactive
cyclic AMP responses.
D) B and C only
E) A, B, and C
A
Which of the following provides the best evidence that cell-signaling
pathways evolved early in the history of life?
A) They are seen
in "primitive" cells such as yeast.
B) Yeast cells
signal each other for mating.
C) Signal transduction molecules
found in distantly related organisms are similar.
D) Signals can
be sent long distances by cells.
E) Most signals are received by
cell surface receptors.
C
Which of the following is true of synaptic signaling and hormonal signaling?
A) Hormonal signaling occurs in animals only.
B) Hormonal signaling is important between cells that are at greater distances apart than in synaptic signaling.
C) Both act on target cells by a G-protein-signaling pathway.
D) Only A and B are true.
E) A , B, and C are true.
B