Some regions of the plasma membrane, called lipid rafts, have a
higher concentration of cholesterol molecules. As a result, these
lipid rafts
A) are more fluid than the surrounding membrane.
B) are more rigid than the surrounding membrane.
C) are
able to flip from inside to outside.
D) detach from the plasma
membrane and clog arteries.
E) have higher rates of lateral
diffusion of lipids and proteins into and out of the lipid rafts.
Answer : B
Which of the following types of molecules are the major structural
components of the cell membrane?
A) phospholipids and cellulose
B) nucleic acids and proteins
C) phospholipids and
proteins
D) proteins and cellulose
E) glycoproteins and cholesterol
Answer : C
When biological membranes are frozen and then fractured, they tend to
break along the middle of the bilayer. The best explanation for this
is that
A) the integral membrane proteins are not strong enough
to hold the bilayer together.
B) water that is present in the
middle of the bilayer freezes and is easily fractured.
C)
hydrophilic interactions between the opposite membrane surfaces are
destroyed on freezing.
D) the carbon-carbon bonds of the
phospholipid tails are easily broken.
E) the hydrophobic
interactions that hold the membrane together are weakest at this point.
Answer : E
The presence of cholesterol in the plasma membranes of some animals
A) enables the membrane to stay fluid more easily when cell
temperature drops.
B) enables the animal to remove hydrogen
atoms from saturated phospholipids.
C) enables the animal to add
hydrogen atoms to unsaturated phospholipids.
D) makes the
membrane less flexible, allowing it to sustain greater pressure from
within the cell.
E) makes the animal more susceptible to
circulatory disorders.
Answer : A
According to the fluid mosaic model of cell membranes, which of the
following is a true statement about membrane phospholipids?
A)
They can move laterally along the plane of the membrane.
B) They
frequently flip-flop from one side of the membrane to the other.
C) They occur in an uninterrupted bilayer, with membrane
proteins restricted to the surface of the membrane.
D) They are
free to depart from the membrane and dissolve in the surrounding
solution.
E) They have hydrophilic tails in the interior of the membrane.
Answer : A
Which of the following is one of the ways that the membranes of
winter wheat are able to remain fluid when it is extremely cold?
A) by increasing the percentage of cholesterol molecules in the membrane
B) by increasing the percentage of unsaturated phospholipids in the membrane
C) by decreasing the number of hydrophobic proteins in the membrane
D) by cotransport of glucose and hydrogen
E) by using active transport
Answer : B
In order for a protein to be an integral membrane protein it would
have to be
A) hydrophilic.
B) hydrophobic.
C)
amphipathic, with at least one hydrophobic region.
D) completely
covered with phospholipids.
E) exposed on only one surface of
the membrane.
Answer : C
Which of the following is a reasonable explanation for why
unsaturated fatty acids help keep any membrane more fluid at lower
temperatures?
A) The double bonds form kinks in the fatty acid
tails, preventing adjacent lipids from packing tightly.
B)
Unsaturated fatty acids have a higher cholesterol content and
therefore more cholesterol in membranes.
C) Unsaturated fatty
acids are more polar than saturated fatty acids.
D) The double
bonds block interaction among the hydrophilic head groups of the
lipids.
E) The double bonds result in shorter fatty acid tails
and thinner membranes.
Answer : A
The primary function of polysaccharides attached to the glycoproteins
and glycolipids of animal cell membranes is
A) to facilitate
diffusion of molecules down their concentration gradients.
B) to
actively transport molecules against their concentration gradients.
C) to maintain the integrity of a fluid mosaic membrane.
D) to maintain membrane fluidity at low temperatures.
E)
to mediate cell-to-cell recognition.
Answer : E
Which of these are not embedded in the hydrophobic portion of the
lipid bilayer at all?
A) transmembrane proteins
B)
integral proteins
C) peripheral proteins
D) integrins
E) glycoproteins
Answer : C
The cell membranes of Antarctic ice fish might have which of the
following adaptations?
A) very long chain fatty acids
B)
branched isoprenoid lipids
C) a high percentage of
polyunsaturated fatty acids
D) a higher percentage of
trans-fatty acids
E) no cholesterol
Answer : C
The formulation of a model for a structure or for a process serves
which of the following purposes?
A) It asks a scientific
question.
B) It functions as a testable hypothesis.
C) It
records observations.
D) It serves as a data point among
results.
E) It can only be arrived at after years of experimentation.
Answer : B
Cell membranes are asymmetrical. Which of the following is the most
likely explanation?
A) The cell membrane forms a border between
one cell and another in tightly packed tissues such as epithelium.
B) Cell membranes communicate signals from one organism to
another.
C) The two sides of a cell membrane face different
environments and carry out different functions.
D) The
"innerness" and "outerness" of membrane surfaces
are predetermined by genes.
E) Proteins can only be associated
with the cell membranes on the cytoplasmic side.
Answer : C
Why are lipids and proteins free to move laterally in membranes?
A) The interior of the membrane is filled with liquid water.
B) Lipids and proteins repulse each other in the
membrane.
C) Hydrophilic portions of the lipids are in the
interior of the membrane.
D) There are only weak hydrophobic
interactions in the interior of the membrane.
E) Molecules such
as cellulose can pull them in various directions.
Answer : D
What kinds of molecules pass through a cell membrane most easily?
A) large and hydrophobic
B) small and hydrophobic
C)
large polar
D) ionic
E) monosaccharides such as glucose
Answer : B
Which of the following is a characteristic feature of a carrier
protein in a plasma membrane?
A) It is a peripheral membrane
protein.
B) It exhibits a specificity for a particular type of
molecule.
C) It requires the expenditure of cellular energy to
function.
D) It works against diffusion.
E) It has few, if
any, hydrophobic amino acids.
Answer : B
Which of the following statements is correct about diffusion?
A) It is very rapid over long distances.
B) It requires an
expenditure of energy by the cell.
C) It is a passive process in
which molecules move from a region of higher concentration to a region
of lower concentration.
D) It is an active process in which
molecules move from a region of lower concentration to one of higher
concentration.
E) It requires integral proteins in the cell membrane.
Answer : C
Water passes quickly through cell membranes because
A) the
bilayer is hydrophilic.
B) it moves through hydrophobic
channels.
C) water movement is tied to ATP hydrolysis.
D)
it is a small, polar, charged molecule.
E) it moves through
aquaporins in the membrane.
Answer : E
Celery stalks that are immersed in fresh water for several hours
become stiff and hard. Similar stalks left in a 0.15 M salt solution
become limp and soft. From this we can deduce that the cells of the
celery stalks are
A) hypotonic to both fresh water and the salt
solution.
B) hypertonic to both fresh water and the salt
solution.
C) hypertonic to fresh water but hypotonic to the salt
solution.
D) hypotonic to fresh water but hypertonic to the salt
solution.
E) isotonic with fresh water but hypotonic to the salt solution.
Answer : C
Mammalian blood contains the equivalent of 0.15 M NaCl. Seawater
contains the equivalent of 0.45 M NaCl. What will happen if red blood
cells are transferred to seawater?
A) Water will leave the
cells, causing them to shrivel and collapse.
B) NaCl will be
exported from the red blood cells by facilitated diffusion.
C)
The blood cells will take up water, swell, and eventually burst.
D) NaCl will passively diffuse into the red blood cells.
E) The blood cells will expend ATP for active transport of NaCl
into the cytoplasm.
Answer : A
When a plant cell, such as one from a peony stem, is submerged in a
very hypotonic solution, what is likely to occur?
A) The cell
will burst.
B) The cell membrane will lyse.
C) Plasmolysis
will shrink the interior.
D) The cell will become flaccid.
E) The cell will become turgid.
Answer : E
Which of the following membrane activities require energy from ATP
hydrolysis?
A) facilitated diffusion of chloride ions across the
membrane through a chloride channel
B) movement of water into a
cell
C) Na⁺ ions moving out of a mammalian cell bathed in
physiological saline
D) movement of glucose molecules into a
bacterial cell from a medium containing a higher concentration of
glucose than inside the cell
E) movement of carbon dioxide out
of a paramecium
Answer : C
The phosphate transport system in bacteria imports phosphate into the
cell even when the concentration of phosphate outside the cell is much
lower than the cytoplasmic phosphate concentration. Phosphate import
depends on a pH gradient across the membrane–more acidic outside the
cell than inside the cell. Phosphate transport is an example of
A) passive diffusion.
B) facilitated diffusion.
C)
active transport.
D) osmosis.
E) cotransport.
Answer : E
Glucose diffuses slowly through artificial phospholipid bilayers. The
cells lining the small intestine, however, rapidly move large
quantities of glucose from the glucose-rich food into their
glucose-poor cytoplasm. Using this information, which transport
mechanism is most probably functioning in the intestinal cells?
A) simple diffusion
B) phagocytosis
C) active
transport pumps
D) exocytosis
E) facilitated diffusion
Answer : E
What is the voltage across a membrane called?
A) water
potential
B) chemical gradient
C) membrane potential
D) osmotic potential
E) electrochemical gradient
Answer : C
The sodium-potassium pump is called an electrogenic pump because it
A) pumps equal quantities of Na⁺ and K⁺ across the membrane.
B) pumps hydrogen ions out of the cell.
C) contributes to
the membrane potential.
D) ionizes sodium and potassium atoms.
E) is used to drive the transport of other molecules against a
concentration gradient.
Answer : C
Which of the following would increase the electrochemical potential
across a membrane?
A) a proton pump
B) a sucrose-proton
cotransporter
C) a chloride channel
D) a potassium channel
E) both a proton pump and a potassium channel
Answer : A
White blood cells engulf bacteria through what process?
A)
exocytosis
B) phagocytosis
C) pinocytosis
D) osmosis
E) receptor-mediated exocytosis
Answer : B
Familial hypercholesterolemia is characterized by which of the
following?
A) defective LDL receptors on the cell membranes
B) poor attachment of the cholesterol to the extracellular
matrix of cells
C) a poorly formed lipid bilayer that cannot
incorporate cholesterol into cell membranes
D) inhibition of the
cholesterol active transport system in red blood cells
E) a
general lack of glycolipids in the blood cell membranes
Answer : A
The difference between pinocytosis and receptor-mediated endocytosis
is that
A) pinocytosis brings only water molecules into the
cell, but receptor-mediated endocytosis brings in other molecules as
well.
B) pinocytosis increases the surface area of the plasma
membrane whereas receptor-mediated endocytosis decreases the plasma
membrane surface area.
C) pinocytosis is nonselective in the
molecules it brings into the cell, whereas receptor-mediated
endocytosis offers more selectivity.
D) pinocytosis requires
cellular energy, but receptor-mediated endocytosis does not.
E)
pinocytosis can concentrate substances from the extracellular fluid,
but receptor-mediated endocytosis cannot.
Answer : C

Which component is the peripheral protein?
A) A
B) B
C) C
D) D
E) E
Answer : D

Which component is cholesterol?
A) A
B) B
C) C
D) D
E) E
Answer : E

Which component is the fiber of the extracellular matrix?
A) A
B) B
C) C
D) D
E) E
Answer : A

Which component is a microfilament of the cytoskeleton?
A) A
B) B
C) C
D) D
E) E
Answer : C

Which component is a glycolipid?
A) A
B) B
C) C
D) D
E) E
Answer : B

The solutions in the two arms of this U-tube are separated by a
membrane that is permeable to water and glucose but not to sucrose.
Side A is half-filled with a solution of 2 M sucrose and 1 M glucose.
Side B is half-filled with 1 M sucrose and 2 M glucose. Initially, the
liquid levels on both sides are equal.
Initially, in terms of tonicity, the solution in side A with
respect to that in side B is
A) hypotonic.
B) plasmolyzed.
C) isotonic.
D) saturated.
E) hypertonic.
Answer : C

Five dialysis bags, constructed from a semipermeable membrane that is
impermeable to sucrose, were filled with various concentrations of
sucrose and then placed in separate beakers containing an initial
concentration of 0.6 M sucrose solution. At 10-minute intervals, the
bags were massed (weighed) and the percent change in mass of each bag
was graphed.
Which line in the graph represents the bag that contained a
solution isotonic to the 0.6 M solution at the beginning of the
experiment?
A) A
B) B
C) C
D) D
E) E
Answer : C

Which line in the graph represents the bag with the highest initial
concentration of sucrose?
A) A
B) B
C) C
D) D
E) E
Answer : A

Which line or lines in the graph represent(s) bags that contain a
solution that is hypertonic at 50 minutes?
A) A and B
B) B
C) C
D) D
E) D and E
Answer : B
A patient has had a serious accident and lost a lot of blood. In an
attempt to replenish body fluids, distilled water–equal to the volume
of blood lost–is transferred directly into one of his veins. What will
be the most probable result of this transfusion?
A) It will have
no unfavorable effect as long as the water is free of viruses and
bacteria.
B) The patient's red blood cells will shrivel up
because the blood fluid has become hypotonic compared to the cells.
C) The patient's red blood cells will swell because the blood
fluid has become hypotonic compared to the cells.
D) The
patient's red blood cells will shrivel up because the blood fluid has
become hypertonic compared to the cells.
E) The patient's red
blood cells will burst because the blood fluid has become hypertonic
compared to the cells.
Answer : C
Which term most precisely describes the cellular process of breaking
down large molecules into smaller ones?
A) catalysis
B)
metabolism
C) anabolism
D) dehydration
E) catabolism
Answer : E
Which of the following is (are) true for anabolic pathways?
A)
They do not depend on enzymes.
B) They are usually highly
spontaneous chemical reactions.
C) They consume energy to build
up polymers from monomers.
D) They release energy as they
degrade polymers to monomers.
E) They consume energy to decrease
the entropy of the organism and its environment.
Answer : C
Whenever energy is transformed, there is always an increase in the
A) free energy of the system.
B) free energy of the
universe.
C) entropy of the system.
D) entropy of the
universe.
E) enthalpy of the universe.
Answer : D
Which of the following types of reactions would decrease the entropy
within a cell?
A) anabolic reactions
B) hydrolysis
C) respiration
D) digestion
E) catabolic reactions
Answer : A
Which of the following is true for all exergonic reactions?
A)
The products have more total energy than the reactants.
B) The
reaction proceeds with a net release of free energy.
C) The
reaction goes only in a forward direction: all reactants will be
converted to products, but no products will be converted to reactants.
D) A net input of energy from the surroundings is required for
the reactions to proceed.
E) The reactions are rapid.
Answer : B
Why is ATP an important molecule in metabolism?
A) Its
hydrolysis provides an input of free energy for exergonic reactions.
B) It provides energy coupling between exergonic and endergonic
reactions.
C) Its terminal phosphate group contains a strong
covalent bond that, when hydrolyzed, releases free energy.
D)
Its terminal phosphate bond has higher energy than the other two.
E) It is one of the four building blocks for DNA synthesis.
Answer : B
Which of the following is most similar in structure to ATP?
A)
a pentose sugar
B) a DNA nucleotide
C) an RNA nucleotide
D) an amino acid with three phosphate groups attached
E) a phospholipid
Answer : C
When chemical, transport, or mechanical work is done by an organism,
what happens to the heat generated?
A) It is used to power yet
more cellular work.
B) It is used to store energy as more ATP.
C) It is used to generate ADP from nucleotide precursors.
D) It is lost to the environment.
E) It is transported to
specific organs such as the brain.
Answer : D
What is the difference (if any) between the structure of ATP and the
structure of the precursor of the A nucleotide in RNA?
A) The
sugar molecule is different.
B) The nitrogen-containing base is
different.
C) The number of phosphates is three instead of one.
D) The number of phosphates is three instead of two.
E)
There is no difference.
Answer : E
Which of the following statements is true about enzyme-catalyzed
reactions?
A) The reaction is faster than the same reaction in
the absence of the enzyme.
B) The free energy change of the
reaction is opposite from the reaction that occurs in the absence of
the enzyme.
C) The reaction always goes in the direction toward
chemical equilibrium.
D) Enzyme-catalyzed reactions require
energy to activate the enzyme.
E) Enzyme-catalyzed reactions
release more free energy than noncatalyzed reactions.
Answer : A
Reactants capable of interacting to form products in a chemical
reaction must first overcome a thermodynamic barrier known as the
reaction's
A) entropy.
B) activation energy.
C)
endothermic level.
D) equilibrium point.
E) free-energy content.
Answer : B
A solution of starch at room temperature does not readily decompose
to form a solution of simple sugars because
A) the starch
solution has less free energy than the sugar solution.
B) the
hydrolysis of starch to sugar is endergonic.
C) the activation
energy barrier for this reaction cannot be surmounted.
D) starch
cannot be hydrolyzed in the presence of so much water.
E) starch
hydrolysis is nonspontaneous.
Answer : C
Which of the following statements regarding enzymes is true?
A)
Enzymes increase the rate of a reaction by making the reaction more
exergonic.
B) Enzymes increase the rate of a reaction by
lowering the activation energy barrier.
C) Enzymes increase the
rate of a reaction by reducing the rate of reverse reactions.
D)
Enzymes change the equilibrium point of the reactions they catalyze.
E) Enzymes make the rate of a reaction independent of substrate concentrations.
Answer : B
The active site of an enzyme is the region that
A) binds
allosteric regulators of the enzyme.
B) is involved in the
catalytic reaction of the enzyme.
C) binds noncompetitive
inhibitors of the enzyme.
D) is inhibited by the presence of a
coenzyme or a cofactor.
Answer : B
According to the induced fit hypothesis of enzyme catalysis, which of
the following is correct?
A) The binding of the substrate
depends on the shape of the active site.
B) Some enzymes change
their structure when activators bind to the enzyme.
C) A
competitive inhibitor can outcompete the substrate for the active
site.
D) The binding of the substrate changes the shape of the
enzyme's active site.
E) The active site creates a
microenvironment ideal for the reaction.
Answer: D
Mutations that result in single amino acid substitutions in an enzyme
A) can have no effect on the activity or properties of the
enzyme.
B) will almost always destroy the activity of the
enzyme.
C) will often cause a change in the substrate
specificity of the enzyme.
D) may affect the physicochemical
properties of the enzyme such as its optimal temperature and pH.
E) may, in rare cases, cause the enzyme to run reactions in reverse.
Answer : D
Increasing the substrate concentration in an enzymatic reaction could
overcome which of the following?
A) denaturization of the enzyme
B) allosteric inhibition
C) competitive inhibition
D) saturation of the enzyme activity
E) insufficient cofactors
Answer : C
When you have a severe fever, what grave consequence may occur if the
fever is not controlled?
A) destruction of your enzymes' primary
structure
B) removal of amine groups from your proteins
C)
change in the tertiary structure of your enzymes
D) removal of
the amino acids in active sites of your enzymes
E) binding of
your enzymes to inappropriate substrates
Answer : C
How does a noncompetitive inhibitor decrease the rate of an enzyme
reaction?
A) by binding at the active site of the enzyme
B) by changing the shape of the enzyme's active site
C) by
changing the free energy change of the reaction
D) by acting as
a coenzyme for the reaction
E) by decreasing the activation
energy of the reaction
Answer : B
The mechanism in which the end product of a metabolic pathway
inhibits an earlier step in the pathway is most precisely described as
A) feedback inhibition.
B) metabolic inhibition.
C)
allosteric inhibition.
D) noncooperative inhibition.
E)
reversible inhibition.
Answer : A
Besides turning enzymes on or off, what other means does a cell use
to control enzymatic activity?
A) cessation of cellular protein
synthesis
B) localization of enzymes into specific organelles or
membranes
C) exporting enzymes out of the cell
D)
connecting enzymes into large aggregates
E) hydrophobic interactions
Answer : B

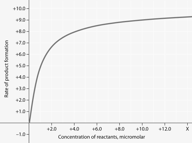
For the enzyme-catalyzed reaction shown in the figure, which of these
treatments will cause the greatest increase in the rate of the
reaction, if the initial reactant concentration is 1.0 micromolar?
A) doubling the activation energy needed
B) cooling the
reaction by 10°C
C) doubling the concentration of the reactants
to 2.0 micromolar
D) doubling the enzyme concentration
E)
increasing the concentration of reactants to 10.0 micromolar, while
reducing the concentration of enzyme by 1/2
Answer : D

In the figure, why does the reaction rate plateau at higher reactant
concentrations?
A) Feedback inhibition by product occurs at high
reactant concentrations.
B) Most enzyme molecules are occupied
by substrate at high reactant concentrations.
C) The reaction
nears equilibrium at high reactant concentrations.
D) The
activation energy for the reaction increases with reactant
concentration.
E) The rate of the reverse reaction increases
with reactant concentration.
Answer : B
What is the term for metabolic pathways that release stored energy by
breaking down complex molecules?
A) anabolic pathways
B)
catabolic pathways
C) fermentation pathways
D)
thermodynamic pathways
E) bioenergetic pathways
Answer : B
When electrons move closer to a more electronegative atom, what
happens?
A) The more electronegative atom is reduced, and energy
is released.
B) The more electronegative atom is reduced, and
energy is consumed.
C) The more electronegative atom is
oxidized, and energy is consumed.
D) The more electronegative
atom is oxidized, and energy is released.
E) The more
electronegative atom is reduced, and entropy decreases.
Answer : A
Which of the following statements describes the results of this
reaction?
C₆H₁₂O₆ + 6 O₂ → 6 CO₂ + 6 H₂O + Energy
A)
C₆H₁₂O₆ is oxidized and O₂ is reduced.
B) O₂ is oxidized and H₂O
is reduced.
C) CO₂ is reduced and O₂ is oxidized.
D)
C₆H₁₂O₆ is reduced and CO₂ is oxidized.
E) O₂ is reduced and CO₂
is oxidized.
Answer : A
When a glucose molecule loses a hydrogen atom as the result of an
oxidation-reduction reaction, the molecule becomes
A)
hydrolyzed.
B) hydrogenated.
C) oxidized.
D)
reduced.
E) an oxidizing agent.
Answer : C
When a molecule of NAD⁺ (nicotinamide adenine dinucleotide) gains a
hydrogen atom (not a proton), the molecule becomes
A)
dehydrogenated.
B) oxidized.
C) redoxed.
D)
reduced.
E) hydrolyzed.
Answer : D
Where does glycolysis take place in eukaryotic cells?
A)
mitochondrial matrix
B) mitochondrial outer membrane
C)
mitochondrial inner membrane
D) mitochondrial intermembrane
space
E) cytosol
Answer : E
The oxygen consumed during cellular respiration is involved directly
in which process or event?
A) glycolysis
B) accepting
electrons at the end of theelectron transport chain
C) the
citric acid cycle
D) the oxidation of pyruvate to acetyl CoA
E) the phosphorylation of ADP to form ATP
Answer : B
Which process in eukaryotic cells will proceed normally whether
oxygen (O₂) is present or absent?
A) electron transport
B)
glycolysis
C) the citric acid cycle
D) oxidative
phosphorylation
E) chemiosmosis
Answer : B
Substrate-level phosphorylation accounts for approximately what
percentage of the ATP formed by the reactions of glycolysis?
A)
0%
B) 2%
C) 10%
D) 38%
E) 100%
Answer : E
In addition to ATP, what are the end products of glycolysis?
A)
CO₂ and H₂O
B) CO₂ and pyruvate
C) NADH and pyruvate
D) CO₂ and NADH
E) H₂O, FADH₂, and citrate
Answer : C
In glycolysis, for each molecule of glucose oxidized to pyruvate
A) two molecules of ATP are used and two molecules of ATP are
produced.
B) two molecules of ATP are used and four molecules of
ATP are produced.
C) four molecules of ATP are used and two
molecules of ATP are produced.
D) two molecules of ATP are used
and six molecules of ATP are produced.
E) six molecules of ATP
are used and six molecules of ATP are produced.
Answer : B
Why is glycolysis described as having an investment phase and a
payoff phase?
A) It both splits molecules and assembles
molecules.
B) It attaches and detaches phosphate groups.
C) It uses glucose and generates pyruvate.
D) It shifts
molecules from cytosol to mitochondrion.
E) It uses stored ATP
and then forms a net increase in ATP.
Answer : E
Which of the following intermediary metabolites enters the citric
acid cycle and is formed, in part, by the removal of a carbon (CO₂)
from one molecule of pyruvate?
A) lactate
B)
glyceraldehydes-3-phosphate
C) oxaloacetate
D) acetyl CoA
E) citrate
Answer : D
How many carbon atoms are fed into the citric acid cycle as a result
of the oxidation of one molecule of pyruvate?
A) two
B)
four
C) six
D) eight
E) ten
Answer : A
Carbon dioxide (CO₂) is released during which of the following stages
of cellular respiration?
A) glycolysis and the oxidation of
pyruvate to acetyl CoA
B) oxidation of pyruvate to acetyl CoA
and the citric acid cycle
C) the citric acid cycle and oxidative
phosphorylation
D) oxidative phosphorylation and fermentation
E) fermentation and glycolysis
Answer : B
During aerobic respiration, electrons travel downhill in which
sequence?
A) food → citric acid cycle → ATP → NAD⁺
B) food
→ NADH → electron transport chain → oxygen
C) glucose → pyruvate
→ ATP → oxygen
D) glucose → ATP → electron transport chain →
NADH
E) food → glycolysis → citric acid cycle → NADH → ATP
Answer : B
What fraction of the carbon dioxide exhaled by animals is generated
by the reactions of the citric acid cycle, if glucose is the sole
energy source?
A) 1/6
B) 1/3
C) 1/2
D) 2/3
E) 100/100
Answer : D
Where are the proteins of the electron transport chain located?
A) cytosol
B) mitochondrial outer membrane
C)
mitochondrial inner membrane
D) mitochondrial intermembrane
space
E) mitochondrial matrix
Answer : C
In cellular respiration, the energy for most ATP synthesis is
supplied by
A) high energy phosphate bonds in organic molecules.
B) a proton gradient across a membrane.
C) converting
oxygen to ATP.
D) transferring electrons from organic molecules
to pyruvate.
E) generating carbon dioxide and oxygen in the
electron transport chain.
Answer : B
The primary role of oxygen in cellular respiration is to
A)
yield energy in the form of ATP as it is passed down the respiratory
chain.
B) act as an acceptor for electrons and hydrogen, forming
water.
C) combine with carbon, forming CO₂.
D) combine
with lactate, forming pyruvate.
E) catalyze the reactions of glycolysis.
Answer : B
During aerobic respiration, H₂O is formed. Where does the oxygen atom
for the formation of the water come from?
A) carbon dioxide
(CO₂)
B) glucose (C₆H₁₂O₆)
C) molecular oxygen (O₂)
D) pyruvate (C₃H₃O₃-)
E) lactate (C₃H₅O₃-)
Answer : C
Energy released by the electron transport chain is used to pump H⁺
into which location in eukaryotic cells?
A) cytosol
B)
mitochondrial outer membrane
C) mitochondrial inner membrane
D) mitochondrial intermembrane space
E) mitochondrial matrix
Answer : D
Where is ATP synthase located in the mitochondrion?
A) cytosol
B) electron transport chain
C) outer membrane
D)
inner membrane
E) mitochondrial matrix
Answer : D
How many oxygen molecules (O₂) are required each time a molecule of
glucose (C₆H₁₂O₆) is completely oxidized to carbon dioxide and water
via aerobic respiration,?
A) 1
B) 3
C) 6
D) 12
E) 30
Answer : C
Approximately how many molecules of ATP are produced from the
complete oxidation of two molecules of glucose (C₆H₁₂O₆) in aerobic
cellular respiration?
A) 2
B) 4
C) 15
D) 30-32
E) 60-64
Answer : E
If a cell is able to synthesize 30 ATP molecules for each molecule of
glucose completely oxidized by carbon dioxide and water, how many ATP
molecules can the cell synthesize for each molecule of pyruvate
oxidized to carbon dioxide and water?
A) 0
B) 1
C)
12
D) 14
E) 15
Answer : C
Which of the following normally occurs regardless of whether or not
oxygen (O₂) is present?
A) glycolysis
B) fermentation
C) oxidation of pyruvate to acetyl CoA
D) citric acid
cycle
E) oxidative phosphorylation (chemiosmosis)
Answer : A
The ATP made during fermentation is generated by which of the
following?
A) the electron transport chain
B)
substrate-level phosphorylation
C) chemiosmosis
D)
oxidative phosphorylation
E) aerobic respiration
Answer : B
In the absence of oxygen, yeast cells can obtain energy by
fermentation, resulting in the production of
A) ATP, CO₂, and
ethanol (ethyl alcohol).
B) ATP, CO₂, and lactate.
C) ATP,
NADH, and pyruvate.
D) ATP, pyruvate, and oxygen.
E) ATP,
pyruvate, and acetyl CoA.
Answer : A
One function of both alcohol fermentation and lactic acid
fermentation is to
A) reduce NAD⁺ to NADH.
B) reduce FAD⁺
to FADH₂.
C) oxidize NADH to NAD⁺.
D) reduce FADH₂ to
FAD⁺.
E) do none of the above.
Answer : C
An organism is discovered that thrives both in the presence and
absence of oxygen in the air. Curiously, the consumption of sugar
increases as oxygen is removed from the organism's environment, even
though the organism does not gain much weight. This organism
A)
must use a molecule other than oxygen to accept electrons from the
electron transport chain.
B) is a normal eukaryotic organism.
C) is photosynthetic.
D) is an anaerobic organism.
E) is a facultative anaerobe.
Answer : E
When an individual is exercising heavily and when the muscle becomes
oxygen-deprived, muscle cells convert pyruvate to lactate. What
happens to the lactate in skeletal muscle cells?
A) It is
converted to NAD⁺.
B) It produces CO₂ and water.
C) It is
taken to the liver and converted back to pyruvate.
D) It reduces
FADH₂ to FAD⁺.
E) It is converted to alcohol.
Answer : C
Phosphofructokinase is an allosteric enzyme that catalyzes the
conversion of fructose 6-phosphate to fructose 1,6-bisphosphate, an
early step of glycolysis. In the presence of oxygen, an increase in
the amount of ATP in a cell would be expected to
A) inhibit the
enzyme and thus slow the rates of glycolysis and the citric acid
cycle.
B) activate the enzyme and thus slow the rates of
glycolysis and the citric acid cycle.
C) inhibit the enzyme and
thus increase the rates of glycolysis and the citric acid cycle.
D) activate the enzyme and increase the rates of glycolysis and
the citric acid cycle.
E) inhibit the enzyme and thus increase
the rate of glycolysis and the concentration of citrate.
Answer : A
Which of the following are products of the light reactions of
photosynthesis that are utilized in the Calvin cycle?
A) CO₂ and
glucose
B) H₂O and O₂
C) ADP, Pi, and NADP⁺
D)
electrons and H⁺
E) ATP and NADPH
Answer : E
Photosynthesis is not responsible for
A) oxygen in the
atmosphere.
B) the ozone layer.
C) most of the organic
carbon on Earth's surface.
D) atmospheric CO₂.
E) fossil fuels.
Answer : E
Where does the Calvin cycle take place?
A) stroma of the
chloroplast
B) thylakoid membrane
C) cytoplasm surrounding
the chloroplast
D) interior of the thylakoid (thylakoid space)
E) outer membrane of the chloroplast
Answer : A
In any ecosystem, terrestrial or aquatic, what group(s) is (are)
always necessary?
A) autotrophs and heterotrophs
B)
producers and primary consumers
C) photosynthesizers
D)
autotrophs
E) green plants
Answer : D
When oxygen is released as a result of photosynthesis, it is a direct
by-product of
A) reducing NADP⁺.
B) splitting water
molecules.
C) chemiosmosis.
D) the electron transfer
system of photosystem I.
E) the electron transfer system of
photosystem II.
Answer : B
Which of the events listed below occurs in the light reactions of
photosynthesis?
A) NADP is produced.
B) NADPH is reduced
to NADP⁺.
C) Carbon dioxide is incorporated into PGA.
D)
ATP is phosphorylated to yield ADP.
E) Light is absorbed and
funneled to reaction-center chlorophyll a.
Answer : E
Reduction of NADP⁺ occurs during
A) photosynthesis.
B)
respiration.
C) both photosynthesis and respiration.
D)
neither photosynthesis nor respiration.
E) photorespiration.
Answer : A
The splitting of carbon dioxide to form oxygen gas and carbon
compounds occurs during
A) photosynthesis.
B) respiration.
C) both photosynthesis and respiration.
D) neither
photosynthesis nor respiration.
E) photorespiration.
Answer : D
Generation of proton gradients across membranes occurs during
A) photosynthesis.
B) respiration.
C) both
photosynthesis and respiration.
D) neither photosynthesis nor
respiration.
E) photorespiration.
Answer : C
What is the relationship between wavelength of light and the quantity
of energy per photon?
A) They have a direct, linear
relationship.
B) They are inversely related.
C) They are
logarithmically related.
D) They are separate phenomena.
E) They are only related in certain parts of the spectrum.
Answer : B
The reactions that produce molecular oxygen (O₂) take place in
A) the light reactions alone.
B) the Calvin cycle alone.
C) both the light reactions and the Calvin cycle.
D)
neither the light reactions nor the Calvin cycle.
E) the
chloroplast, but are not part of photosynthesis.
Answer : A
What is the primary function of the Calvin cycle?
A) use ATP to
release carbon dioxide
B) use NADPH to release carbon dioxide
C) split water and release oxygen
D) transport RuBP out of
the chloroplast
E) synthesize simple sugars from carbon dioxide
Answer : E
The NADPH required for the Calvin cycle comes from
A) reactions
initiated in photosystem I.
B) reactions initiated in
photosystem II.
C) the citric acid cycle.
D) glycolysis.
E) oxidative phosphorylation.
Answer : A
Reactions that require CO₂ take place in
A) the light reactions
alone.
B) the Calvin cycle alone.
C) both the light
reactions and the Calvin cycle.
D) neither the light reactions
nor the Calvin cycle.
E) the chloroplast, but is not part of photosynthesis.
Answer : B
Which of the following statements best represents the relationships
between the light reactions and the Calvin cycle?
A) The light
reactions provide ATP and NADPH to the Calvin cycle, and the cycle
returns ADP, Pi, and NADP⁺ to the light reactions.
B) The light
reactions provide ATP and NADPH to the carbon fixation step of the
Calvin cycle, and the cycle provides water and electrons to the light
reactions.
C) The light reactions supply the Calvin cycle with
CO₂ to produce sugars, and the Calvin cycle supplies the light
reactions with sugars to produce ATP.
D) The light reactions
provide the Calvin cycle with oxygen for electron flow, and the Calvin
cycle provides the light reactions with water to split.
E) There
is no relationship between the light reactions and the Calvin cycle.
Answer : A
In the process of carbon fixation, RuBP attaches a CO₂ to produce a
six-carbon molecule, which is then split to produce two molecules of
3-phosphoglycerate. After phosphorylation and reduction produces
glyceraldehyde 3-phosphate (G3P), what more needs to happen to
complete the Calvin cycle?
A) addition of a pair of electrons
from NADPH
B) inactivation of RuBP carboxylase enzyme
C)
regeneration of ATP from ADP
D) regeneration of RuBP
E)
regeneration of NADP⁺
Answer : D

Which molecule(s) of the Calvin cycle is (are) also found in
glycolysis?
A) B, C, E, and 3-phosphoglycerate
B) B, C,
and E only
C) 3-phosphoglycerate only
D) B, C, D, and
3-phosphoglycerate only
E) E only
Answer : D
A gardener is concerned that her greenhouse is getting too hot from
too much light, and seeks to shade her plants with colored translucent
plastic sheets. What color should she use to reduce overall light
energy, but still maximize plant growth?
A) green
B) blue
C) yellow
D) orange
E) any color will work equally well
Answer : B
Theodor W. Engelmann illuminated a filament of algae with light that
passed through a prism, thus exposing different segments of algae to
different wavelengths of light. He added aerobic bacteria and then
noted in which areas the bacteria congregated. He noted that the
largest groups were found in the areas illuminated by the red and blue
light.
What did Engelmann conclude about the congregation of bacteria
in the red and blue areas?
A) Bacteria released excess carbon
dioxide in these areas.
B) Bacteria congregated in these areas
due to an increase in the temperature of the red and blue light.
C) Bacteria congregated in these areas because these areas had
the most oxygen being released.
D) Bacteria are attracted to red
and blue light and thus these wavelengths are more reactive than other
wavelengths.
E) Bacteria congregated in these areas due to an
increase in the temperature caused by an increase in photosynthesis.
Answer : C
Theodor W. Engelmann illuminated a filament of algae with light that
passed through a prism, thus exposing different segments of algae to
different wavelengths of light. He added aerobic bacteria and then
noted in which areas the bacteria congregated. He noted that the
largest groups were found in the areas illuminated by the red and blue
light.
An outcome of this experiment was to help determine
A) the
relationship between heterotrophic and autotrophic organisms.
B)
the relationship between wavelengths of light and the rate of aerobic
respiration.
C) the relationship between wavelengths of light
and the amount of heat released.
D) the relationship between
wavelengths of light and the rate of photosynthesis.
E) the
relationship between the concentration of carbon dioxide and the rate
of photosynthesis.
Answer : D
A spaceship is designed to support animal life for a multiyear voyage
to the outer planets of the solar system. Plants will be grown to
provide oxygen and to recycle carbon dioxide.
Since the spaceship will be too far from the sun for
photosynthesis, an artificial light source will be needed. What
wavelengths of light should be used to maximize plant growth with a
minimum of 12 energy expenditure?
A) full-spectrum white light
B) green light
C) a mixture of blue and red light
D)
yellow light
E) UV light
Answer : C
A spaceship is designed to support animal life for a multiyear voyage
to the outer planets of the solar system. Plants will be grown to
provide oxygen and to recycle carbon dioxide.
If the power fails and the lights go dark, what will happen to
CO₂ levels?
A) CO₂ will rise as a result of both animal and
plant respiration.
B) CO₂ will rise as a result of animal
respiration only.
C) CO₂ will remain balanced because plants
will continue to fix CO₂ in the dark.
D) CO₂ will fall because
plants will increase CO₂ fixation.
E) CO₂ will fall because
plants will cease to respire in the dark.
Answer : A