Which of the following is a FALSE statement concerning amino groups? Amino groups ______.
A. Contain Nitrogen
B. Are basic with respect to pH
C. Are found in amino acids
D. Are nonpolar
D. Are nonpolar

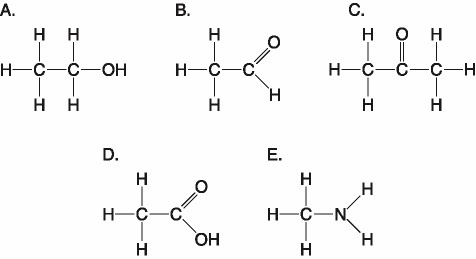
The two molecules shown in the figure below are best described as ______.
A. Structural isomers
B. Cis-trans isomers
C. Chain length isomers
D. Enantiomers
A. Structural isomers

The figure above shows the structure of glucose and fructose. These two molecules differ in the _____.
A. Number of carbon, hydrogen, and oxygen atoms
B. Types of carbon, hydrogen, and oxygen atoms
C. Arrangement of carbon, hydrogen, and oxygen atoms
D. Number of oxygen atoms joined to carbon atoms by double covalent bonds
C. Arrangement of carbon, hydrogen, and oxygen atoms

The two molecules shown in the figure below are best described as _____.
A. Enantiomers
B. Cis-trans isomers
C. Structural isomers
D. Radioactive isotpes
B. Cis-trans isomers

Which of the following illustrations is NOT a structural isomer of an organic compound with the molecular formula C6H14? For clarity, only the carbon skeletons are shown; hydrogen atoms that would be attached to the carbons have been omitted.
C.

Which of the pairs of molecular structures shown below depict enantiomers (enantiomeric forms) of the same molecule?
D.

Thalidomide and L-dopa, shown below, are examples of pharmaceutical
drugs that occur as enantiomers, or molecules that
A) have
identical three-dimensional shapes.
B) are mirror images of one
another.
C) are structural isomers.
D) are mirror images
of one another and have the same biological activity.
E) are
cis-trans isomers.
B. are mirror images of one another.
A compound contains hydroxyl groups as its predominant functional group. Therefore, this compound _____.
A. Should dissolve in a nonpolar solvent
B. Lacks an asymmetric carbon and is probably fat or lipid
C. Will not form hydrogen bonds with water
D. Should dissolve in water
D. Should dissolve in water
Which of the functional groups below act most like an acid in water?
A. Hydroxyl
B. Carbonyl
C. Carboxyl
D. Amino
C. Carboxyl
Which of the two functional groups are always found in amino acids?
A. Carbonyl and amino groups
B. Amino and Sulfhydrl groups
C. Carboxyl and amino groups
D. Hydroxyl and carboxyl groups
C. Carboxyl and amino groups
Amino acids are acids because they always posses which functional group?
A. Phosphate
B. Carboxyl
C. Amino
D. Carbonyl
B. Carboxyl
A hydrocarbon skeleton is covalently boned to an amino group at one end and a carboxyl group at the other end. When placed in water this molecule would function ____.
A. As an acid and a base
B. Only as an acid because of the carboxyl group
C. Only as a base because of the amino group
D. As neither an acid nor a base
A. As an acid and a base
Which chemical group can act as an acid?
A. Carbonyl
B. Amino
C. Carboxyl
D. Methyl
C. Carboxyl

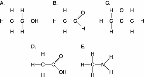
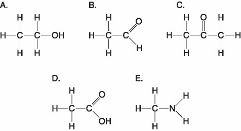
What is the name of the functional group shown in the figure above?
A) carbonyl
B) ketone
C) aldehyde
D) carboxyl
E) hydroxyl
D. Carboxyl

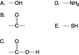
Which functional group shown above is characteristic of
alcohols?
A. A
B. B
C. C
D. D
A. A

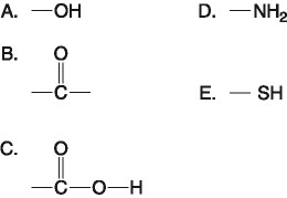
Which functional group(s) shown above is (are) present in all amino acids?
A) A and B
B) B and D
C) C only
D) D only
E)
C and D
E. C and D

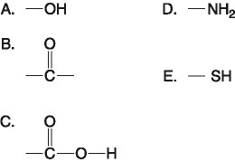
Which of the groups shown above is a functional group that helps stabilize proteins by forming covalent cross-links within or between protein molecules?
A. A
B. B
C. C
D. D
E. E
E. E

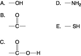
Which of the groups above is an acidic functional group that can dissociate and release H+ into a solution?
A. A
B. B
C. C
D. D
E. E
C. C

Which of the groups above is a basic functional group that can accept H+ and become positively charged?
A. A
B. B
C. C
D. D
E. E
D. D
Testosterone and estradiol are male and female sex hormones, respectively, in many vertebrates. In what way(s) do these molecules differ from each other? Testosterone and estradiol ______.
A. have different functional groups attached to the same carbon skeleton
B. are entantiomers of the same organic molecule
C. are structural isomers but have the same molecular formula
D. are cis-trans isomers but have the same molecular formula
A. have different functional groups attached to the same carbon skeleton

Which molecules shown above contain a carbonyl group?
A) A and
B
B) B and C
C) B, C, and D
D) D and E
E) E
and A
B. B and C

Which molecule shown above has a carbonyl functional group in the
form of a ketone?
A) A
B) B
C) C
D) D
E) E
C. C

Which molecule shown above has a carbonyl functional group in the
form of an aldehyde?
A) A
B) B
C) C
D) D
E) E
B. B
Stanley Miller's 1953 experiments supported the hypothesis that _____.
A. life on Earth arose from simple inorganic molecules
B. the conditions on early Earth were conductive to the origin of life
C. life on Earth arose from simple organic molecules, with energy from lightning and volcanoes
D. organic molecules can be synthesized abiotically under conditions that may have existed on early Earth
D. organic molecules can be synthesized abiotically under conditions that may have existed on early Earth
When Stanley Miller applied heat and electrical sparks to a mixture of simple inorganic compounds such as methane, hydrogen gas, ammonia, and water vapor, what compounds were produced?
A. mostly hydrocarbons
B. only simple inorganic compounds
C. simple organic compounds, amino acids, and hydrocarbons
D. only simple organic compounds such as formaldehyde and cyanide
C. simple organic compounds. amino acids, and hydrocarbons

How many neutrons are present in the nucleus of a phosphorus-32 (³²P)
atom (see the figure above)?
A) 5
B) 15
C) 16
D) 17
E) 32
D. 17

How many electrons does an atom of sulfur have in its valence shell
(see the figure above)?
A) 4
B) 6
C) 8
D) 16
E) 32
B. 6
Which of these is an example of inductive reasoning?
A. If protists are all single-celled, then they are incapable of aggregating
B. These organisms live in sunny regions. Therefore, they are using photosynthesis
C. Hundreds of individuals of a species have been observed and all are photosynthetic; therefore, the species is photogenic
D. If two species are members of the same genus, they are more alike than each of the them could be to a different genus
C. Hundreds of individuals of a species have been observed and all are photosynthetic; therefore, the species is photogenic

Based on your knowledge of the polarity of water molecules, the
solute molecule depicted here is most likely
A) positively
charged.
B) negatively charged.
C) without charge.
D) hydrophobic.
E) nonpolar.
A. Positively Charged

The molecule illustrated in the accompanying figure _____.
A. is a saturated fatty acid
B. will be liquid at room temperature
C. is a carbohydrate
D. stores genetic information
B. will be liquid at room temperature

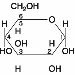
The molecule shown in the accompanying figure is _____.
A. Fructose
B. Maltose
C. a hexose
D. a pentose
C. a hexose
If one strand of a DNA molecule has the sequence of bases 5'ATTGCA3',
the other complementary strand would have the sequence
A)
5'TAACGT3'.
B) 5'TGCAAT3'.
C) 5'UAACGU3'.
D)
3'UAACGU5'.
E) 5'UGCAAU3'.
B. 5'TGCAAT3'.

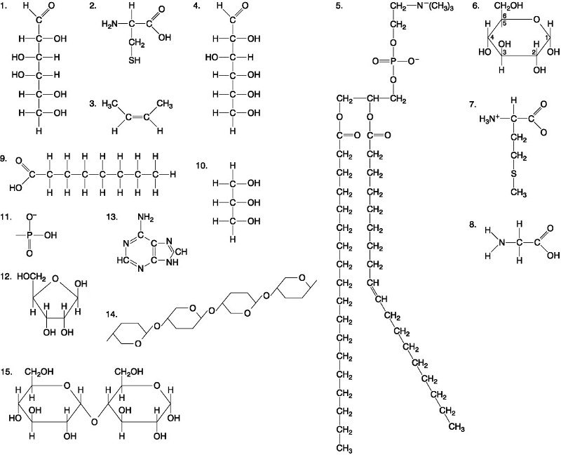
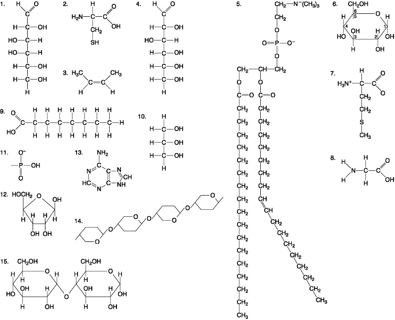
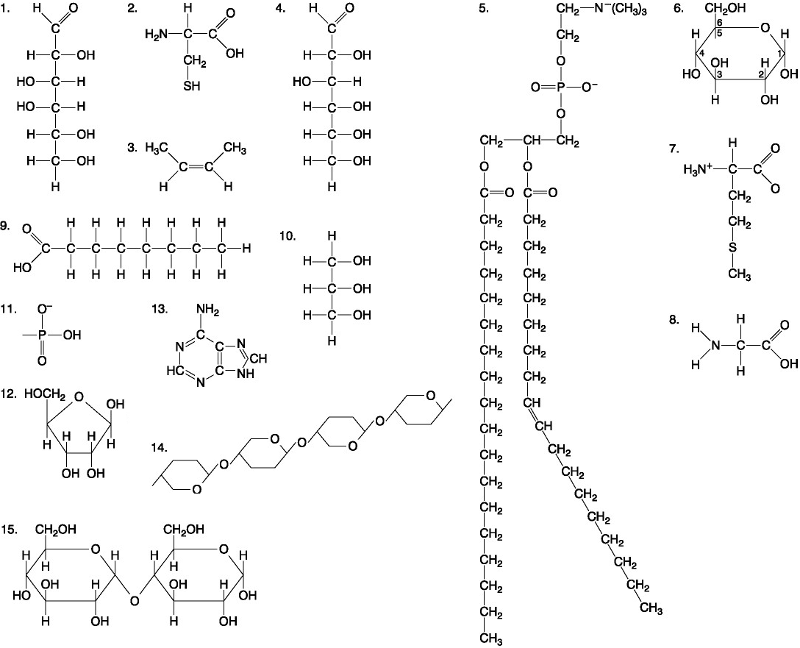
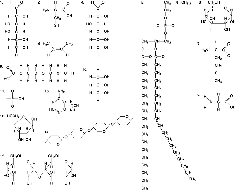
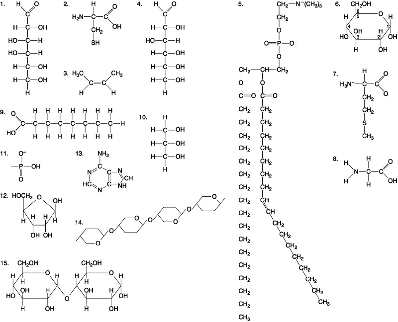
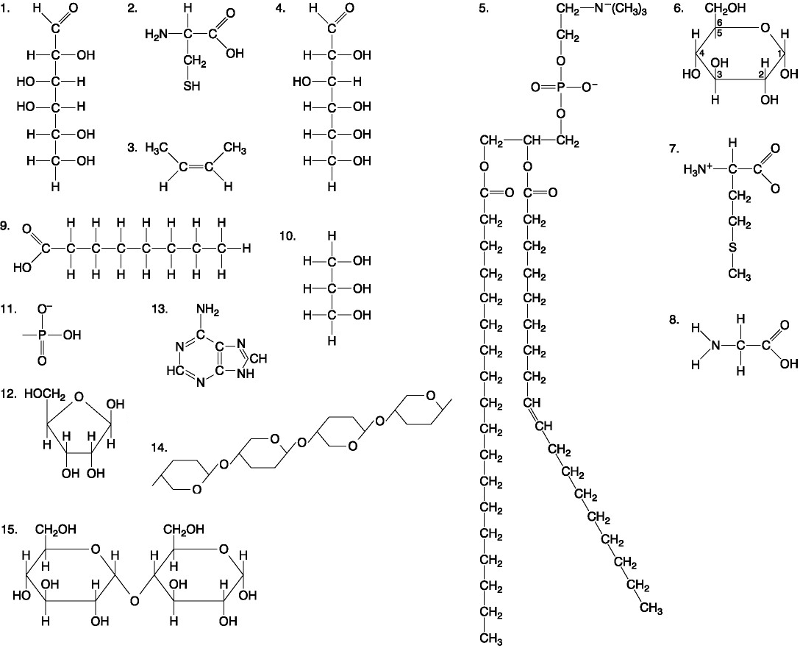
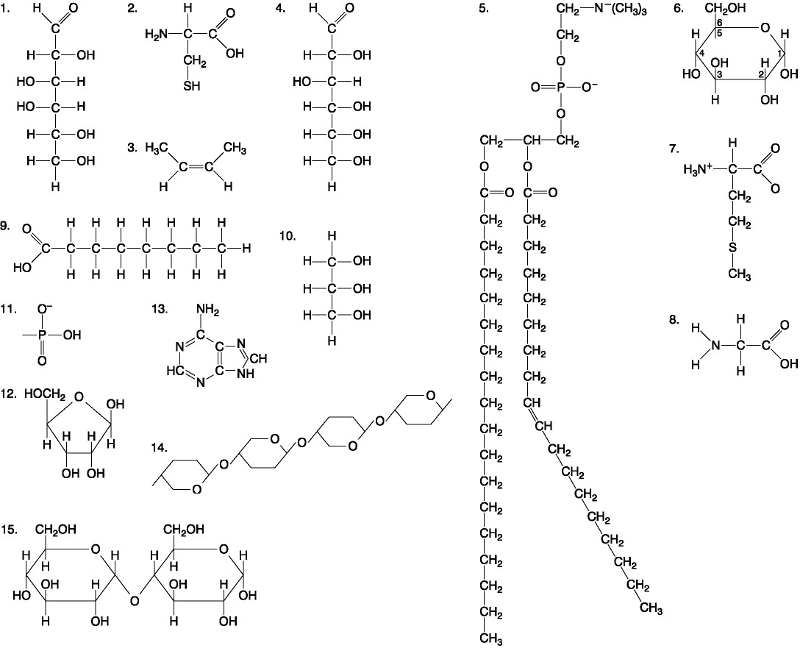
Which molecule is a saturated fatty acid?
A. 5
B. 8
C. 9
D. 1
C. 9

Which molecule has both hydrophilic and hydrophobic properties and is found in plasma?
A. 5
B. 12
C. 11
D. 1
A. 5

Which of the following combinations of molecules illustrated could be linked to form a nucleotide?
A. 3, 7, and 8
B. 5, 9, and 10
C. 11, 12, and 13
D. 1, 2, and 11
C. 11, 12, and 13

A fat would be formed as a result of a dehydration reaction between _______.
A. three molecules of 9 and one molecule of 10
B. one molecule of 5 and three molecules of 9
C. one molecule of 5 and three molecules of 10
D. one molecule of 9 and three molecules of 10
A. three molecules of 9 and one molecule of 10

Which of the following molecules is the pentose sugar found in RNA?
A. 12
B. 2
C. 13
D. 6
C. 13

Which of the following molecules act as building blocks of polypeptides?
A. 1, 4, and 6
B. 11, 12, and 13
C. 2, 7, and 8
D. 7, 8, and 13
C. 2, 7, and 8

Which of the following pairs of molecules could be joined together by a peptide bond in a dehydration reaction?
A. 2 and 2
B. 12 and 13
C. 8 and 9
D. 7 and 8
D. 7 and 8

Which one of the following molecules is a purine nitrogenous base?
A. 5
B. 13
C. 12
D. 2
B. 13
Which one of the following is NOT a component of each monomer used to make proteins?
A. a side chain, R
B. a phosphorous atom, P
C. an amino functional group, NH2
D. a carboxyl group, COOH
B. a phosphorous atom, P
Which of the following descriptions best fits the class of molecules
known as nucleotides?
A. a pentose sugar and a purine or pyrimidine
B. a
nitrogenous base and a pentose sugar
C. a phosphate group and an
adenine or uracil
D. a nitrogenous base and a phosphate
group
E. a nitrogenous base, a phosphate group, and a pentose sugar
E. a nitrogenous base, a phosphate group, and a pentose sugar
The molecular formula for glucose is C6H1206. What would be the
molecular formula for a molecule made by linking three glucose
molecules together by dehydration reactions?
A. C18
H32 016
B. C18 H10 O15
C. C18 H36 018
D. C3 H6 O3
E. C6 H10 O5
A. C18 H32 016
Which level of protein structure do the "a" helix and the
"B" pleated sheet represent?
A. secondary
B.
primary
C. tertiary
D. primary, secondary, tertiary, and
quaternary
E. quaternary
A. Secondary
Which of the following is the strongest evidence that protein structure and function are correlated?
A. Protiens have four distinct levels of structure and many functions
B. Denatured (unfolded) proteins do not function normally
C. Enzymes tend to be globular in shape
D. Proteins function best at certain temperatures
B. Denatured (unfolded) proteins do not function normally
The R-group, or side chain, of the amino acid serine is -CH2-OH. The
R-group, or side chain, of the amino acid leucine is -CH2-CH-(CH3)2.
Where would you expect to find these
amino acids in a globular
protein in aqueous solution?
A. Leucine would be in the interior, and serine would be on the exterior of the globular protein.
B. Serine and leucine would both be on the exterior of the globular protein
C. Serine and leucine would bothbe in the interior of the globular protein
D. Serine would be in the interior, and leucine would be onteh exterior of the globular protein
A. Leucine would be in the interior, and serine would be on the exterior of the globular protein.
The label on a container of margarine lists "hydrogenated vegetable oil" as the major ingredient. What is the result of adding hydrogens to vegetable oil?
A. is less likely to clog artieries
B. has fewer trans fatty acids
C. has more "kinks" in the fatty acid chains
D. is solid at room temperature
D. is solid at room temperature
Which of the following best summarizes the relationship between dehydration reactions and hydrolysis?
A. Dehydration reactions and hydrolysis reactions assemble polymers from monomers
B. Hydrolysis reactions create polymers and dehydration reactions create monomers
C. Dehydration reactions assemble polymers; hydrolysis reactions break polymers apart
D. Dehydration reacations eliminate water from membranes; hydrolysis reactions add water to membranes
C. Dehydration reactions assemble polymers; hydrolysis reactions break polymers apart
What component of amino acid structure varies among different amino acids?
A. the glycerol molecule that forms the backbone of amino acid
B. the long carbon-hydrogen tails of the molecule
C. the presence of central C atom
D. the components of the R-group
D. the components of the R-group
What is the term used for a protein molecule that assists in the proper folding of other proteins?
A. tertiary protein
B. renaturing protein
C. denaturing protein
D. chaperonin
D. Chaperonin
Which of the following statements best summarizes the differences between DNA and RNA?
A. DNA contains the base uracil, whereas RNA contains the base thymine
B. DNA encodes hereditary information, whereas RNA does not
C. The base in DNA contain sugars, whereas the bases in RNA do not contain sugar
D. DNA nucleotides contain a different sugar than RNA nucleotides
D. DNA nucleotides contain a different sugar than RNA nucleotides
A new organism is discovered in the forests of Costa Rica. Scientists there determine that the polypeptide sequence of hemoglobin from the new organism has 72 amino acid differences from humans, 65 differences from a gibbon, 49 differences from a rat, and 5 differences from a frog. These data suggest that the new organism
A. humans than to frogs
B. gibbons than to rats
C. rats than to frogs
D. frogs than to humans
D. Frogs than to humans
If a DNA sample were composed of 10% thymine, what would be the percentage of guanine?
A. 10
B. 80
C. 40
D. it is impossible to answer from the information given
C. 40
A glycosidic linkage is analogous to which of the following proteins?
A. a disulfide bond
B. a peptide bond
C. A "B"-pleated sheet
D. an amino group
B. a peptide bond
Consider two solutions: solution X has a pH of 4; solution Y has a pH of 7. From this information, we can reasonably conclude that _____.
A. the concentration of H ions in a solution X is 3 time as great as the concentration of H ions in solution Y
B. solution Y has no free H ions
C. the concentration of H ions in a solution X is 1000 times as great as the concentration of H ion in solution Y
D. the concentration of H ions in solution Y is 1000 times as great as the concentration in H ions in solution X
C. the concentration of H ions in a solution X is 1000 times as great as the concentration of H ion in solution Y
How does a scientific theory differ from a scientific hypothesis?
A. Hypotheses are usually an explanation for a more general phenomenon; theories typically address more specific issues
B. Theories are proposed to test scientific hypothesis
C. Theories are usually an explanation for a more general phenomenon; hypotheses typically address more specific issues
D. Confirmed theories become scientific laws; hypothesis become theories
C.Theories are usually an explanation for a more general phenomenon; hypotheses typically address more specific issues
Which of the following effects is produced by the high surface tension of water?
A. Organisms can resist temperature changes, although they give off heat due to chemical reactions
B. A raft spider can walk across the surface of a small pond
C. Lakes cannot freeze solid in winter, despite low temperatures
D. Sweat can evaporate from the skin, helping to keep people form overheating
B. A raft spider can walk across the surface of a small pond
In what way are elements in the same column of the periodic table the same? They have the same number of _____.
A. electron shells when neutral
B. electrons in their valance shells when neutral
C. protons
D. electrons when neutral
B. electrons in their valance shells when neutral