For this pair of items, choose the option that best describes their relationship.
(A) The number of alpha glucose 1-4 linkages in cellulose
(B) The number of alpha glucose 1-4 linkages in starch
(A) Item (A) is greater than item (B).
(B) Item (A) is less than item (B).
C) Item (A) is exactly or very approximately equal to item (B).
D) Item (A) may stand in more than one of the above relations to item (B).
Answer: B
For this pair of items, choose the option that best describes their relationship.
(A) The probability of finding chitin in fungal cell walls
(B) The probability of finding chitin in arthropod exoskeletons
A) Item (A) is greater than item (B).
B) Item (A) is less than item (B).
C) Item (A) is exactly or very approximately equal to item (B).
D) Item (A) may stand in more than one of the above relations to item (B).
Answer: C
For this pair of items, choose the option that best describes their relationship.
(A) The number of cis double bonds in saturated fatty acids
(B) The number of cis double bonds in unsaturated fatty acids
A) Item (A) is greater than item (B).
B) Item (A) is less than item (B).
C) Item (A) is exactly or very approximately equal to item (B).
D) Item (A) may stand in more than one of the above relations to item (B).
Answer: B
For this pair of items, choose the option that best describes their relationship.
(A) The probability that amino acids with nonpolar side chains are hydrophobic.
(B) The probability that amino acids with side chains containing a carboxyl group are hydrophobic.
A) Item (A) is greater than item (B).
B) Item (A) is less than item (B).
C) Item (A) is exactly or very approximately equal to item (B).
D) Item (A) may stand in more than one of the above relations to item (B).
Answer: A
5) For this pair of items, choose the option that best describes their relationship.
(A) The number of purines in the DNA strand 5ʹ-AAGAGGAGAAA-3ʹ
(B) The number of pyrimidines in the DNA strand 5ʹ-AAGAGGAGAAA-3ʹ
A) Item (A) is greater than item (B).
B) Item (A) is less than item (B).
C) Item (A) is exactly or very approximately equal to item (B).
D) Item (A) may stand in more than one of the above relations to item (B).
Answer: A
Which of the following is not a polymer?
A) glucose
B) starch
C) cellulose
D) chitin
E) DNA
Answer: A
What is the chemical mechanism by which cells make polymers from monomers?
A) phosphodiester linkages
B) hydrolysis
C) dehydration reactions
D) ionic bonding of monomers
E) the formation of disulfide bridges between monomers
Answer: C
How many molecules of water are needed to completely hydrolyze a polymer that is 11 monomers long?
A) 12
B) 11
C) 10
D) 9
E) 8
Answer: C
Which of the following best summarizes the relationship between dehydration reactions and hydrolysis?
A) Dehydration reactions assemble polymers, and hydrolysis reactions break down polymers.
B) Macromolecular synthesis occurs through the removal of water and digestion occurs through the addition of water.
C) Dehydration reactions can occur only after hydrolysis.
D) Hydrolysis creates monomers, and dehydration reactions break down polymers.
E) A and B are correct.
Answer: E
Which of the following polymers contain nitrogen?
A) starch
B) glycogen
C) cellulose
D) chitin
E) amylopectin
Answer: D
The molecular formula for glucose is C6H12O6. What would be the molecular formula for a molecule made by linking three glucose molecules together by dehydration reactions?
A) C18H36O18
B) C18H30O15
C) C6H10O5
D) C18H10O15
E) C3H6O3
Answer: B
The enzyme amylase can break glycosidic linkages between glucose monomers only if the monomers are the α form. Which of the following could amylase break down?
A) glycogen
B) cellulose
C) chitin
D) A and B only
E) A, B, and C
Answer: A
On food packages, to what does the term ʺinsoluble fiberʺ refer?
A) cellulose
B) polypeptides
C) starch
D) amylopectin
E) chitin
Answer: A
A molecule with the chemical formula C6H12O6 is probably a
A) carbohydrate.
B) lipid.
C) monosaccharide
D) A and B only.
E) A, B, and C.
Answer: E

If 2 molecules of the general type shown in Figure 5.1 were linked together, carbon 1 of one molecule to carbon 4 of the other, the single molecule that would result would be
A) maltose.
B) fructose.
C) glucose.
D) galactose.
E) sucrose.
Answer: A

Which of the following descriptors is true of the molecule shown in Figure 5.1?
A) hexose
B) fructose
C) glucose
D) A and B only
E) A and C only
Answer: E
Lactose, a sugar in milk, is composed of one glucose molecule joined by a glycosidic linkage to one galactose molecule. How is lactose classified?
A) as a pentose
B) as a hexose
C) as a monosaccharide
D) as a disaccharide
E) as a polysaccharide
Answer: D
All of the following are polysaccharides except
A) glycogen
B) starch
C) chitin
D) cellulose
E) amylopectin
Answer: A
Which of the following is true of both starch and cellulose?
A) They are both polymers of glucose.
B) They are geometric isomers of each other.
C) They can both be digested by humans.
D) They are both used for energy storage in plants.
E) They are both structural components of the plant cell wall.
Answer: A
Which of the following is true of cellulose?
A) It is a polymer composed of sucrose monomers.
B) It is a storage polysaccharide for energy in plant cells.
C) It is a storage polysaccharide for energy in animal cells.
D) It is a major structural component of plant cell walls.
E) It is a major structural component of animal cell plasma membranes.
Answer: D
Humans can digest starch but not cellulose because
A) the monomer of starch is glucose, while the monomer of cellulose is galactose.
B) humans have enzymes that can hydrolyze the beta (β) glycosidic linkages of starch but not the alpha (α) glycosidic linkages of cellulose.
C) humans have enzymes that can hydrolyze the alpha (α) glycosidic linkages of starch but not the beta (β) glycosidic linkages of cellulose.
D) humans harbor starch-digesting bacteria in the digestive tract.
E) the monomer of starch is glucose, while the monomer of cellulose is maltose.
Answer: C
All of the following statements concerning saturated fats are true except A) They are more common in animals than in plants.
B) They have multiple double bonds in the carbon chains of their fatty acids.
C) They generally solidify at room temperature.
D) They contain more hydrogen than saturated fats having the same number of carbon atoms.
E) They are one of several factors that contribute to atherosclerosis.
Answer: B
A molecule with the formula C18H36O2 is probably a
A) carbohydrate.
B) fatty acid.
C) protein.
D) nucleic acid.
E) hydrocarbon.
Answer: B
Which of the following statements is false for the class of biological molecules known as lipids?
A) They are soluble in water.
B) They are an important constituent of cell membranes.
C) They contain more energy than proteins and carbohydrates.
D) They are not true polymers.
E) They contain waxes and steroids.
Answer: A
What is a triacylglycerol?
A) a protein with tertiary structure
B) a lipid made with three fatty acids and glycerol
C) a lipid that makes up much of the plasma membrane
D) a molecule formed from three alcohols by dehydration reactions
E) a carbohydrate with three sugars joined together by glycosidic linkages
Answer: B
Which of the following is true regarding saturated fatty acids?
A) They are the predominant fatty acid in corn oil.
B) They have double bonds between carbon atoms of the fatty acids.
C) They are the principal molecules in lard and butter.
D) They are usually liquid at room temperature.
E) They are usually produced by plants.
Answer: C

Which of the following statements is true regarding the molecule illustrated in Figure 5.2?
A) It is a saturated fatty acid.
B) A diet rich in this molecule may contribute to atherosclerosis.
C) Molecules of this type are usually liquid at room temperature.
D) A and B only
E) A, B and C
Answer: D

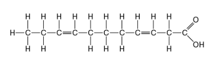
Which of the following statements is true regarding the molecule illustrated in Figure 5.3?
A) It is a saturated fatty acid.
B) A diet rich in this molecule may contribute to atherosclerosis.
C) Molecules of this type are usually liquid at room temperature.
D) A and B only
E) A, B and C
Answer: C

The molecule shown in Figure 5.3 is a
A) polysaccharide.
B) polypeptide.
C) saturated fatty acid.
D) triacylglycerol.
E) unsaturated fatty acid.
Answer: E
Large organic molecules are usually assembled by polymerization of a few kinds of simple subunits. Which of the following is an exception to this statement?
A) a steroid
B) cellulose
C) DNA
D) an enzyme
E) a contractile protein
Answer: A
The hydrogenation of vegetable oil results in which of the following?
A) saturated fats and unsaturated fats with trans double bonds
B) an increased contribution to artherosclerosis
C) the oil (fat) being a solid at room temperature
D) A and C only
E) A, B, and C
Answer: E

What is the structure shown in Figure 5.4?
A) starch molecule
B) protein molecule
C) steroid molecule
D) cellulose molecule
E) phospholipid molecule
Answer: C
Why are human sex hormones considered to be lipids?
A) They are essential components of cell membranes.
B) They are steroids, which are not soluble in water.
C) They are made of fatty acids.
D) They are hydrophilic compounds.
E) They contribute to atherosclerosis.
Answer: B
All of the following contain amino acids except
A) hemoglobin.
B) cholesterol.
C) antibodies.
D) enzymes.
E) insulin.
Answer: B
The bonding of two amino acid molecules to form a larger molecule requires
A) the release of a water molecule.
B) the release of a carbon dioxide molecule.
C) the addition of a nitrogen atom.
D) the addition of a water molecule.
E) both B and C
Answer: A
There are 20 different amino acids. What makes one amino acid different from another?
A) different carboxyl groups attached to an alpha (α) carbon
B) different amino groups attached to an alpha (α) carbon
C)
different side chains (R groups) attached to an alpha (α) carbon
D) different alpha (α) carbons
E) different asymmetric carbons
Answer: C

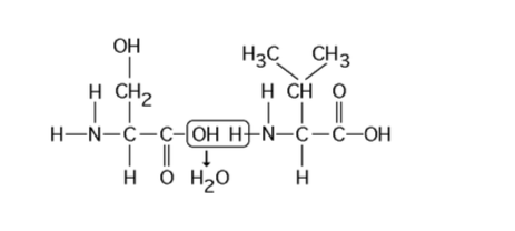
37) Which of the following statements is/are true regarding the chemical reaction illustrated in Figure 5.5?
A) It is a hydrolysis reaction.
B) It results in a peptide bond.
C) It joins two fatty acids together.
D) A and B only
E) A, B, and C
Answer: B
The bonding of two amino acid molecules to form a larger molecule requires which of the following?
A) removal of a water molecule
B) addition of a water molecule
C) formation of an ionic bond
D) formation of a hydrogen bond
E) both A and C
Answer: A
Polysaccharides, lipids, and proteins are similar in that they
A) are synthesized from monomers by the process of hydrolysis.
B) are synthesized from monomers by dehydration reactions.
C) are synthesized as a result of peptide bond formation between monomers. D) are decomposed into their subunits by dehydration reactions.
E) all contain nitrogen in their monomer building blocks.
Answer: B
Dehydration reactions are used in forming which of the following compounds?
A) triacylglycerides
B) polysaccharides
C) proteins
D) A and C only
E) A, B, and C
Answer: E
Upon chemical analysis, a particular polypeptide was found to contain 100 amino acids. How many peptide bonds are present in this protein?
A) 101
B) 100
C) 99
D) 98
E) 97
Answer: C

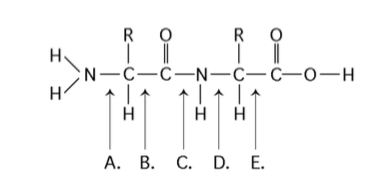
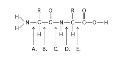
At which bond would water need to be added to achieve hydrolysis of the peptide, back to its component amino acid?
Answer: C

Which bond is a peptide bond?
Answer: C

Which bond is closest to the N-terminus of the molecule?
Answer: A

Which bond is closest to the carboxyl end of the molecule?
Answer: E
How many different kinds of polypeptides, each composed of 12 amino acids, could be synthesized using the 20 common amino acids?
A) 4^12
B) 12^20
C) 12^5
D) 20
E) 20^12
Answer: E
Which bonds are created during the formation of the primary structure of a protein?
A) peptide bonds
B) hydrogen bonds
C) disulfide bonds
D) phosphodiester bonds
E) A, B, and C
Answer: A
What maintains the secondary structure of a protein?
A) peptide bonds
B) hydrogen bonds
C) disulfide bonds
D) ionic bonds
E) phosphodiester bonds
Answer: B
Which type of interaction stabilizes the alpha (α) helix and the beta (β) pleated sheet structures of proteins?
A) hydrophobic interactions
B) nonpolar covalent bonds
C) ionic bonds
D) hydrogen bonds
E) peptide bonds
Answer: D
The α helix and the β pleated sheet are both common polypeptide forms found in which level of protein structure?
A) primary
B) secondary
C) tertiary
D) quaternary
E) all of the above
Answer: B
The structure depicted in Figure 5.7 shows the
A) 1-4 linkage of the α glucose monomers of starch.
B) 1-4 linkage of the β glucose monomers of cellulose.
C) double helical structure of a DNA molecule.
D) α helix secondary structure of a polypeptide.
E) β pleated sheet secondary structure of a polypeptide.
Answer: D

Figure 5.7 best illustrates the
A) secondary structure of a polypeptide.
B) tertiary structure of a polypeptide.
C) quaternary structure of a protein.
D) double helix structure of DNA.
E) primary structure of a polysaccharide
Answer: A
The tertiary structure of a protein is the
A) bonding together of several polypeptide chains by weak bonds.
B) order in which amino acids are joined in a polypeptide chain.
C) unique three-dimensional shape of the fully folded polypeptide.
D) organization of a polypeptide chain into an α helix or β pleated sheet.
E) overall protein structure resulting from the aggregation of two or more polypeptide subunits
Answer: C
A strong covalent bond between amino acids that functions in maintaining a polypeptideʹs specific three-dimensional shape is a (an)
A) ionic bond.
B) hydrophobic interaction.
C) van der Waals interaction.
D) disulfide bond.
E) hydrogen bond.
Answer: D
At which level of protein structure are interactions between the side chains (R groups) most important?
A) primary
B) secondary
C) tertiary
D) quaternary
E) all of the above
Answer: C
The R group or side chain of the amino acid serine is —CH2OH. The R group or side chain of the amino acid alanine is —CH3. Where would you expect to find these amino acids in a globular protein in aqueous solution?
A) Serine would be in the interior, and alanine would be on the exterior of the globular protein.
B) Alanine would be in the interior, and serine would be on the exterior of the globular protein.
C) Both serine and alanine would be in the interior of the globular protein. D) Both serine and alanine would be on the exterior of the globular protein.
E) Both serine and alanine would be in the interior and on the exterior of the globular protein.
Answer: B
Misfolding of polypeptides is a serious problem in cells. Which of the following diseases are associated with an accumulation of misfolded proteins?
A) Alzheimerʹs
B) Parkinsonʹs
C) diabetes
D) A and B only
E) A, B, and C
Answer: D
What would be an unexpected consequence of changing one amino acid in a protein consisting of 325 amino acids?
A) The primary structure of the protein would be changed.
B) The tertiary structure of the protein might be changed.
C) The biological activity or function of the protein might be altered.
D) Only A and C are correct.
E) A, B, and C are correct.
Answer: E
Altering which of the following levels of structural organization could change the function of a protein?
A) primary
B) secondary
C) tertiary
D) quaternary
E) all of the above
Answer: E
What method did Frederick Sanger use to elucidate the structure of insulin?
A) X-ray crystallography
B) bioinformatics
C) analysis of amino acid sequence of small fragments
D) NMR spectroscopy
E) high-speed centrifugation
Answer: C
Roger Kornberg used this method for elucidating the structure of RNA polymerase.
A) X-ray crystallography
B) bioinformatics
C) analysis of amino acid sequence of small fragment
D) NMR spectroscopy
E) high-speed centrifugation
Answer: A
Which of the following uses the amino acid sequences of polypeptides to predict a proteinʹs three -dimensional structure?
A) X-ray crystallography
B) bioinformatics
C) analysis of amino acid sequence of small fragments
D) NMR spectroscopy
E) high-speed centrifugation
Answer: B
The function of each protein is a consequence of its specific shape. What is the term used for a change in a proteinʹs three-dimensional shape or conformation due to disruption of hydrogen bonds, disulfide bridges, or ionic bonds?
A) hydrolysis
B) stabilization
C) destabilization
D) renaturation
E) denaturation
Answer: E
What is the term used for a protein molecule that assists in the proper folding of other proteins?
A) tertiary protein
B) chaperonin
C) enzyme protein
D) renaturing protein
E) denaturing protein
Answer: B
DNAase is an enzyme that catalyzes the hydrolysis of the covalent bonds that join nucleotides together. What would first happen to DNA molecules treated with DNAase?
A) The two strands of the double helix would separate.
B) The phosphodiester bonds between deoxyribose sugars would be broken.
C) The purines would be separated from the deoxyribose sugars.
D) The pyrimidines would be separated from the deoxyribose sugars.
E) All bases would be separated from the deoxyribose sugars.
Answer: B
Which of the following statements about the 5ʹ end of a polynucleotide strand of DNA is correct?
A) The 5ʹ end has a hydroxyl group attached to the number 5 carbon of ribose.
B) The 5ʹ end has a phosphate group attached to the number 5 carbon of ribose.
C) The 5ʹ end has thymine attached to the number 5 carbon of ribose.
D) The 5ʹ end has a carboxyl group attached to the number 5 carbon of ribose.
E) The 5ʹ end is the fifth position on one of the nitrogenous bases.
Answer: B
Of the following functions, the major purpose of RNA is to
A) transmit genetic information to offspring.
B) function in the synthesis of protein.
C) make a copy of itself, thus ensuring genetic continuity.
D) act as a pattern or blueprint to form DNA.
E) form the genes of higher organisms.
Answer: B
Which of the following best describes the flow of information in eukaryotic cells?
A) DNA → RNA → proteins
B) RNA → proteins → DNA
C) proteins → DNA → RNA
D) RNA → DNA → proteins
E) DNA → proteins → RNA
Answer: A
Which of the following descriptions best fits the class of molecules known as nucleotides?
A) a nitrogenous base and a phosphate group
B) a nitrogenous base and a pentose sugar
C) a nitrogenous base, a phosphate group, and a pentose sugar
D) a phosphate group and an adenine or uracil
E) a pentose sugar and a purine or pyrimidine
Answer: C
Which of the following are nitrogenous bases of the pyrimidine type?
A) guanine and adenine
B) cytosine and uracil
C) thymine and guanine
D) ribose and deoxyribose
E) adenine and thymine
Answer: B
Which of the following are nitrogenous bases of the purine type?
A) cytosine and guanine
B) guanine and adenine
C) adenine and thymine
D) thymine and uracil
E) uracil and cytosine
Answer: B
If a DNA sample were composed of 10% thymine, what would be the percentage of guanine?
A) 10
B) 20
C) 40
D) 80
E) impossible to tell from the information given
Answer: C
A double-stranded DNA molecule contains a total of 120 purines and 120 pyrimidines. This DNA molecule could be composed of
A) 120 adenine and 120 uracil molecules.
B) 120 thymine and 120 adenine molecules.
C) 120 cytosine and 120 thymine molecules.
D) 240 adenine and 240 cytosine molecules.
E) 240 guanine and 240 thymine molecules.
Answer: B
The difference between the sugar in DNA and the sugar in RNA is that the sugar in DNA
A) is a six-carbon sugar and the sugar in RNA is a five-carbon sugar.
B) can form a double-stranded molecule.
C) has a six-membered ring of carbon and nitrogen atoms.
D) can attach to a phosphate.
E) contains one less oxygen atom.
Answer: E
Which of the following statements best summarizes the structural differences between DNA and RNA?
A) RNA is a protein, whereas DNA is a nucleic acid.
B) DNA is a protein, whereas RNA is a nucleic acid.
C) DNA nucleotides contain a different sugar than RNA nucleotides.
D) RNA is a double helix, but DNA is single-stranded.
E) A and D are correct.
Answer: C
In the double helix structure of nucleic acids, cytosine hydrogen bonds to A) deoxyribose.
B) ribose.
C) adenine.
D) thymine.
E) guanine.
Answer: E
If one strand of a DNA molecule has the sequence of bases 5ʹATTGCA3ʹ, the other complementary strand would have the sequence
A) 5ʹTAACGT3ʹ.
B) 3ʹTAACGT5ʹ.
C) 5ʹUAACGU3ʹ.
D) 3ʹUAACGU5ʹ.
E) 5ʹUGCAAU3ʹ.
Answer: B
What is the structural feature that allows DNA to replicate?
A) sugar-phosphate backbone
B) complementary pairing of the nitrogenous bases
C) disulfide bonding (bridging) of the two helixes
D) twisting of the molecule to form an α helix
E) three-component structure of the nucleotides
Answer: B
A new organism is discovered in the forests of Costa Rica. Scientists there determine that the polypeptide sequence of hemoglobin from the new organism has 72 amino acid differences from humans, 65 differences from a gibbon, 49 differences from a rat, and 5 differences from a frog. These data suggest that the new organism
A) is more closely related to humans than to frogs.
B) is more closely related to frogs than to humans.
C) may have evolved from gibbons but not rats.
D) is more closely related to humans than to rats.
E) may have evolved from rats but not from humans and gibbons.
Answer: B
Which of the following is an example of hydrolysis?
A) the reaction of two monosaccharides, forming a disaccharide with the release of water
B) the synthesis of two amino acids, forming a peptide with the release of water
C) the reaction of a fat, forming glycerol and fatty acids with the release of water
D) the reaction of a fat, forming glycerol and fatty acids with the utilization of water
E) the synthesis of a nucleotide from a phosphate, a pentose sugar, and a nitrogenous base with the production of a molecule of
Answer: D
The element nitrogen is present in all of the following except
A) proteins.
B) nucleic acids.
C) amino acids.
D) DNA.
E) monosaccharides.
Answer: E
Which of the following is a diverse group of hydrophobic molecules?
A) carbohydrates
B) lipids
C) proteins
D) nucleic acids
Answer: B
Which of the following store and transmit hereditary information?
A) carbohydrates
B) lipids
C) proteins
D) nucleic acids
Answer: D
Enzymes are
A) carbohydrates.
B) lipids.
C) proteins.
D) nucleic acids.
Answer: C

Which molecule has hydrophilic and hydrophobic properties and would be found in plasma membranes?
A) 1
B) 5
C) 6
D) 12
E) 14
Answer: B

Which of the following combinations could be linked together to form a nucleotide?
A) 1, 2, and 11
B) 3, 7, and 8
C) 5, 9, and 10
D) 11, 12, and 13
E) 12, 14, and 15
Answer: D

Which of the following molecules contain(s) an aldehyde type of carbonyl functional group?
A) 1
B) 4
C) 8
D) 10
E) 1 and 4
Answer: E

Which molecule is glycerol?
A) 1
B) 6
C) 10
D) 14
E) 15
Answer: C

Which molecule is a saturated fatty acid?
A) 1
B) 5
C) 6
D) 8
E) 9
Answer: E

Which of the following molecules is a purine type of nitrogenous base?
A) 2
B) 3
C) 5
D) 12
E) 13
Answer: E

Which of the following molecules act as building blocks (monomers) of polypeptides?
A) 1, 4, and 6
B) 2, 7, and 8
C) 7, 8, and 13
D) 11, 12, and 13
E) 12, 13, and 15
Answer: B

Which of the following molecules is an amino acid with a hydrophobic R group or side chain?
A) 3
B) 5
C) 7
D) 8
E) 12
Answer: C

Which of the following molecules could be joined together by a peptide bond as a result of a dehydration reaction?
A) 2 and 3
B) 3 and 7
C) 7and8
D) 8 and 9
E) 12 and 13
Answer: C

A fat (or triacylglycerol) would be formed as a result of a dehydration reaction between
A) one molecule of 9 and three molecules of 10.
B) three molecules of 9 and one molecule of 10.
C) one molecule of 5 and three molecules of 9.
D) three molecules of 5 and one molecule of 9.
E) one molecule of 5 and three molecules of 10.
Answer: B

Which of the following molecules could be joined together by a phosphodiester type of covalent bond?
A) 3 and 4
B) 3 and 8
C) 6 and 15
D) 11 and 12
E) 11 and
Answer: D

Which of the following molecules is the pentose sugar found in RNA?
A) 1
B) 4
C) 6
D) 12
E) 13
Answer: D

Which of the following molecules contains a glycosidic linkage type of covalent bond?
A) 4
B) 6
C) 12
D) 13
E) 15
Answer: E

Which of the following molecules has (have) a functional group that frequently is involved in maintaining the tertiary structure of a protein?
A) 2
B) 3
C) 9
D) 11
E) 9 and 11
Answer: A

Which of the following molecules consists of a hydrophilic ʺheadʺ region and a hydrophobic ʺtailʺ region?
A) 2
B) 5
C) 7
D) 9
E) 11
Answer: B

Which of the following statements is false?
A) 1 and 4 could be joined together by a glycosidic linkage to form a disaccharide.
B) 9 and 10 could be joined together by ester bonds to form a triacylglycerol.
C) 2 and 7 could be joined together to form a short peptide.
D) 2, 7, and 8 could be joined together to form a short peptide.
E) 14 and 15 could be joined together to form a polypeptide.
Answer: E
Which term includes all others in the list?
A) monosaccharide
B) disaccharide
C) starch
D) carbohydrate
E) polysaccharide
Answer: D
The molecular formula for glucose is C6H12O6. What would be the molecular formula for a polymer made by linking ten glucose molecules together by dehydration reactions?
A) C60H120O60
B) C6H12O6
C) C60H102O51
D) C60H100O50
E) C60H111O51
Answer: C
The enzyme amylase can break glycosidic linkages between glucose monomers only if the monomers are the α form. Which of the following could amylase break down?
A) glycogen, starch, and amylopectin
B) glycogen and cellulose
C) cellulose and chitin
D) starch and chitin
E) starch, amylopectin, and cellulose
Answer: A
Which of the following statements concerning unsaturated fats is true?
A) They are more common in animals than in plants.
B) They have double bonds in the carbon chains of their fatty acids.
C) They generally solidify at room temperature.
D) They contain more hydrogen than saturated fats having the same number of carbon atoms.
E) They have fewer fatty acid molecules per fat molecule.
Answer: B
The structural level of a protein least affected by a disruption in hydrogen bonding is the
A) primary level.
B) secondary level.
C) tertiary level.
D) quaternary level.
E) All structural levels are equally affected.
Answer: A
Which of the following pairs of base sequences could form a short stretch of a normal double helix of DNA?
A) 5ʹ-purine-pyrimidine-purine-pyrimidine-3ʹ with 3ʹ-purine-pyrimidine-purine-pyrimidine-5ʹ
B) 5ʹ-A-G-C-T-3ʹ with 5ʹ-T-C-G-A-3ʹ
C) 5ʹ-G-C-G-C-3ʹ with 5ʹ-T-A-T-A-3ʹ
D) 5ʹ-A-T-G-C-3ʹ with 5ʹ-G-C-A-T-3ʹ
E) All of these pairs are correct.
Answer: D
Enzymes that break down DNA catalyze the hydrolysis of the covalent bonds that join nucleotides together. What would happen to DNA molecules treated with these enzymes?
A) The two strands of the double helix would separate.
B) The phosphodiester linkages between deoxyribose sugars would be broken.
C) The purines would be separated from the deoxyribose sugars.
D) The pyrimidines would be separated from the deoxyribose sugars.
E) All bases would be separated from the deoxyribose sugars.
Answer: B