Text: Measurements made in the entire visible spectrum showed that absorbance occurred only at wavelength 625 ± 5.0 nm according to the data in Table 1.
What is the approximate energy of a photon in the absorbed radiation that yielded the data in Table 1?
(Note: Use 1 eV = 1.6 × 10– 19 J and hc = 19.8 × 10– 26 J•m.)
- A.1 eV
- B.2 eV
- C.3 eV
- D.4 eV
Be sure to pay attention to the units and the conversions
The solution is B.
- This is the energy of a photon if radiation had a wavelength of 1250 nm.
- The photon energy is E = hc/λ = 19.8 × 10–26 J•m/(625 × 10–9 m) = 3.1 × 10–19 J ≅ 2 eV.
- This is the energy of a photon if radiation had a wavelength of 416 nm.
- This is the energy of a photon if radiation had a wavelength of 312 nm.
Suppose a blood sample tested above the range (6.0 mg/dL) of the standards used in the experiment. What modification will provide a more precise reading by data interpolation as opposed to extrapolation using the same standards?
- A.Increase the enzyme concentration.
- B.Increase the oxygen pressure.
- C.Decrease the content of oxygen acceptor.
- D.Dilute the sample with additional solvent.
The solution is D.
- Increasing the enzyme concentration will increase the quantity of absorber (chromogen) in solution, according to the protocol described in the passage. This will make the resulting absorbance value even further from the values in Table 1 and require additional extrapolation.
- Increasing the oxygen pressure will increase the quantity of absorber (chromogen) in solution, according to the protocol described in the passage. This will make the resulting absorbance value even further from the values in Table 1 and require additional extrapolation.
- The oxygen acceptor is glucose. Removing glucose from the solution is not feasible and defies the logic of the experiment, which involves quantifying the amount of glucose present. One would need to know exactly how much glucose was removed, and this would require a separate measurement.
- By adding solvent, the concentration of glucose will be lowered, and the resulting absorbance will fall within the range of the standards. This is easily accomplished, and the resulting calculations that account for the dilution are not difficult.
Which of the following reasons best explains why it is possible to separate a 1:1 mixture of 1-chlorobutane and 1-butanol by fractional distillation?
- A.Both 1-chlorobutane and 1-butanol are polar.
- B.Both 1-chlorobutane and 1-butanol are nonpolar.
- C.The boiling point of 1-chlorobutane is substantially higher than that of 1-butanol.
- D.The boiling point of 1-chlorobutane is substantially lower than that of 1-butanol.
The solution is D.
- Both 1-chlorobutane and 1-butanol are polar molecules with dipole moments that are greater than 1.5 D.
- Both 1-chlorobutane and 1-butanol are polar, not nonpolar, molecules.
- The boiling point of 1-chlorobutane is 78°C. The boiling point of 1-butanol is 118°C.
- The fact that 1-chlorobutane will have a boiling point that is substantially lower than that of 1-butanol can be rationalized from chemical principles. The molecules have similar molecular weights, but 1-butanol has a hydroxyl functional group that can participate in hydrogen bonding. Hydrogen bonding is a particularly strong force of intermolecular attraction.
Two vectors of magnitudes |A| = 8 units and |B| = 5 units make an angle that can vary from 0° to 180°. The magnitude of the resultant vector A + B CANNOT have the value of:
- A.2 units.
- B.5 units.
- C.8 units.
- D.12 units.

The solution is A.
- The magnitude of A + B is as small as 3 units (when A and B are anti-parallel and make an angle of 180°) and as large as 13 units (when A and B are parallel and make an angle of 0°). The magnitude of 2 units is smaller than the smallest possible magnitude of vector A + B.
- When A + B has 5 units, the angle between A and B is cos–1 (25 – 64 – 25)/(2 × 8 × 5) = 143°, thus 5 units is a possible magnitude.
- When A + B has 8 units, the angle between A and B is cos–1 (64 – 64 – 25)/(2 × 8 × 5) = 108°, thus 8 units is a possible magnitude.
- When A + B has 12 units, the angle between A and B is cos–1 (144 – 64 – 25)/(2 × 8 × 5) = 46°, thus 12 units is a possible magnitude.
What is the formula between frequency and time intervals?
f = 1/t (ms)
What is the frequency of the pulses that deliver laser radiation to the cornea?
- A.0.4 Hz
- B.4.0 Hz
- C.25 Hz
- D.250 Hz
The solution is B.
- This frequency implies the pulse period is 2.5 s.
- The frequency is 1/(250 ms) = 4 Hz.
- This frequency implies the pulse period is 0.04 s.
- This frequency implies the pulse period is 4 ms.
The index of refraction does _______ due to either a pulsed laser or a continuous laser, because it is an intrinsic property of the tissue material.
not change
All “real” molecules and atoms will exhibit __________. It is not possible to exhibit dipole–dipole forces only.
London dispersion forces
What is the formula for Kb and Ka?

Kw = Ka times Kb
The NF-κB signaling pathway is a rapid response mechanism for cells that are under stress.
By activating genes that promote inflammation and immune responses, NF-κB helps the cell and surrounding tissues cope with infections, injury, or other stressors. However, its dysregulation (e.g., constant activation) can contribute to chronic diseases, including cancer, autoimmune diseases, and inflammatory disorders.
The NF-κB signaling pathway is anti-apoptotic and is initiated by degradation and release of the inhibitor binding protein IκB.
Based on the reaction scheme in Figure 1, what is the mechanism of substrate binding to RT?
- A.Random order
- B.Ordered
- C.Ping-pong
- D.Double-displacement
The solution is B.
- Random order would mean either substrate could bind first, and Figure 1 shows the TP substrate binds first and the dNTP substrate binds second.
- Figure 1 shows that the TP substrate binds first without any catalysis occurring and then the dNTP substrate binds. This is an ordered mechanism.
- In a ping-pong mechanism, no ternary complex is formed. However, the ternary complex RT/TP/dNTP does form.
- Double-displacement is another term for ping-pong mechanism, which means that no ternary complex is formed. However, the ternary complex RT/TP/dNTP does form.
Text: The inhibitor binding pocket contains the side chains of Val106 and Phe227, which make the strongest interactions with compounds 1–3.
Based on the passage, what is the primary type of interaction that RT makes with Compound 2?
- A.Covalent
- B.Hydrogen bonds
- C.Ionic
- D.Hydrophobic
The solution is D.
- Figure 1 shows that the interactions of the inhibitors with RT are reversible. Covalent interactions are usually irreversible. Also, the side chains of valine and phenylalanine cannot spontaneously form covalent bonds with the inhibitors.
- The passage states that the strongest RT interactions with the inhibitors come from the side chains of valine and phenylalanine. These side chains cannot form hydrogen bonds.
- The passage states that the strongest RT interactions with the inhibitors come from the side chains of valine and phenylalanine. These side chains cannot form ionic bonds.
- The passage states that the strongest RT interactions with the inhibitors come from the side chains of valine and phenylalanine. These side chains are hydrophobic, so they would make hydrophobic interactions with the inhibitor.
What is the formula for absorbance?
A = εbc
c - concentration
b - path length
ε - molar solubility
The UV–VIS spectrophotometer used by the researchers contained a detector that had low sensitivity and was unable to measure high absorbance samples. Which approach to the experiment makes the most sense with this limitation in mind?
- A.The experiments done at high pH should be diluted relative to those at low pH, or the path length of the high pH experiments should be decreased.
- B.The experiments done at low pH should be diluted relative to those at high pH, or the path length of the high pH experiments should be decreased.
- C.The experiments done at high pH should be diluted relative to those at low pH, or the path length of the low pH experiments should be decreased.
- D.The experiments done at low pH should be diluted relative to those at high pH, or the path length of the low pH experiments should be decreased.
The solution is A.
- To not have an absorbance reading that is below the limits of the detector, the experiments done at pH values that result in the highest absorptivity should be diluted. The alternative is to decrease the path length of the experiments that have the highest absorptivity.
- Although decreasing the path length of the experiments that have the highest absorptivity is reasonable, the experiments at low pH already have low absorbance relative to the high pH samples. Thus, there is no reason to dilute them.
- Although diluting the solutions in the experiments that have the highest absorptivity is reasonable, the experiments at low pH already have low absorbance relative to the high pH samples. Thus, there is no reason to decrease their path lengths.
- The experiments at low pH already have low absorbance relative to the high pH samples. Thus, there is no reason to dilute them or to decrease their path lengths.
_____________ causes the initially plane-parallel wave-fronts of light to change direction and partially enter the shadow region behind the thread due to its narrowness. The overlapping of different wave-fronts on the screen causes the pattern of dark and bright fringes on the screen according to the phase difference between the wave-fronts that interfere there.
Diffraction
The ionic form of which metal atom is NOT likely to be found in the pocket of a catalytically active DNA polymerase?
- A.Zn
- B.Fe
- C.Mg
- D.Na
The solution is D.
- Zinc forms the divalent cation Zn2+. As shown in Figure 1, a divalent cation is essential for DNA polymerase catalytic activity.
- Iron forms the divalent cation Fe2+. As shown in Figure 1, a divalent cation is essential for DNA polymerase catalytic activity.
- Magnesium forms the divalent cation Mg2+. As shown in Figure 1, a divalent cation is essential for DNA polymerase catalytic activity.
- Sodium does not readily form a divalent cation, essential for DNA polymerase catalytic activity as shown in Figure 1.
Text:
Suppose a capacitor in a portable defibrillator needs to store 400 J at 5000 V. Suppose further that half that energy is actually passed through a patient’s chest in a time of 1.0 ms.
Roughly to what height would a 5 kg stone need to be raised in order to have the same stored energy as the energy stored in the defibrillator’s capacitor?
- A.4 m
- B.8 m
- C.16 m
- D.32 m
The solution is B.
- At this height (4 m), the gravitational potential energy is 200 J, which is half the 400 J of energy stored in the defibrillator’s capacitor.
- The gravitational potential energy is mass × gravitational acceleration × height. Equating 400 J = 5 kg × 9.8 m/s2 × height and solving for height leads to 400 J/(49 kg × m/s2) ≈ 8 m.
- At this height (16 m), the gravitational potential energy is 800 J, which is double the 400 J of energy stored in the defibrillator’s capacitor.
- At this height (32 m), the gravitational potential energy is 1600 J, which is four times the 400 J of energy stored in the defibrillator’s capacitor.
One company sells a defibrillator for home use that uses a 9-volt DC battery. The battery is rated at 4.2 A•hr (amp•hour). Roughly how much charge can the battery deliver?
- A.4.2 C
- B.38 C
- C.15,000 C
- D.136,000 C
The solution is C.
- This is the charge delivered in one second based on the calculation 4.2 A × 1 s = 4.2 C.
- The magnitude is computed as an approximation of 4.2 × 9 = 37.8 ≈ 38. However, multiplying the corresponding units V × A•hr yields J, not C.
- The definition of current is flow of charge per unit time. Thus, charge equals current multiplied by time, hence 4.2 A × 1 hr = 4.2 A × 3600 s = 15,120 C ≈ 15,000 C.
- The magnitude is computed as an approximation of 4.2 × 9 × 3600 = 136,080 ≈ 136,000. However, multiplying the corresponding units V × A × s yields J, not C.
Suppose a defibrillator successfully returns a baby’s heart to normal beating. Suppose further that 20 g of blood enters the heart at 25 cm/s and leaves 0.10 s later at 35 cm/s. What is the estimated average force on the 20 g of blood as it moves through the baby’s heart?
- A.0.020 N
- B.0.20 N
- C.20 N
- D.2000 N
The solution is A.
- According to Newton’s second law, the average force is equal to the mass of blood multiplied by the average acceleration of the blood. The average acceleration is (35 cm/s – 25 cm/s)/0.10 s = 100 cm/s2 = 1 m/s2. The average force is 20 g × 1 m/s2 = 0.020 kg × 1 m/s2 = 0.020 N.
- Either the mass is incorrectly used as 0.20 kg, or the average acceleration is incorrectly computed as 10 m/s2.
- Either the mass is incorrectly used as 2.0 kg, or the average acceleration is incorrectly computed as 100 m/s2.
- Either the mass is incorrectly used as 20 kg, or the average acceleration is incorrectly computed as 1000 m/s2.
Passage 10 (Questions 53-56)
When a person experiences cardiac arrest, that person’s heart undergoes what is called ventricular fibrillation. In such an event, various parts of the heart do not beat in a coordinated way, and the heart becomes unable to pump blood. Medical professionals often treat a cardiac arrest patient by administering an electric shock across the chest during which a current is passed through the heart in a relatively short amount of time (a few milliseconds). Such a shock can cause the heart to become temporarily paralyzed. The goal is that the paralyzed heart will then start beating in a normal way. Occasionally, medical professionals must administer an electric shock to a patient more than once.
The device medical professionals use to administer electric shocks to a patient is called a defibrillator. Portable defibrillators are found in ambulances and are used by emergency medical personnel on patients who could not get to the hospital. A portable defibrillator works by storing electric energy in a capacitor. Electrodes, sometimes called “paddles,” are placed on a patient’s chest, and current can be passed from one electrode to the other once a switch is flipped by a medical professional. The defibrillator must be constructed to allow multiple uses with a minimal time delay (less than a minute) between applications. Suppose a capacitor in a portable defibrillator needs to store 400 J at 5000 V. Suppose further that half that energy is actually passed through a patient’s chest in a time of 1.0 ms.
The electric field inside each of the conductors that forms the capacitor in the defibrillator is zero. Which of the following reasons best explains why this is true?
- A.All of the electrons in the conductor are bound to atoms, and thus there is no way for an external electric field to penetrate atoms with no net charge.
- B.Free electrons in the conductor arrange themselves on the surface so that the electric field they produce inside the conductor exactly cancels any external electric field.
- C.Free electrons in the conductor arrange themselves on the surface and throughout the interior so that the electric field they produce inside the conductor exactly cancels any external electric field.
- D.All electrons in the conductor, both free and bound, arrange themselves on the surface so that the electric field they produce inside the conductor exactly cancels any external electric field.
The solution is B.
- Conductors are characterized by the existence of free electrons that carry current.
- Conductors contain both atom-bound electrons and free electrons. Free electrons arrange themselves on the surface of conductors, and their collective electric field produced inside the conductor cancels any external electric field. The resulting electric field inside the conductor is zero.
- Free electrons arrange themselves only on the surface of the conductor. If they also arranged inside, the electric field inside the conductor would move the electrons even in the absence of a battery.
- Bound electrons cannot arrange themselves on the surface of the conductor due to the binding effects.
Cytochromes are proteins that are involved in redox reactions. Specifically, cytochrome P450 acts as a monooxygenase, catalyzing an oxidation reaction.
Cytochrome P450 acts as monooxygenases, where an oxygen atom is inserted into a substrate (the drug of interest), thereby resulting in the oxidation of the substrate.
A defining characteristic of proteins that act as transcription factors
contain a DNA binding domain.
Where does fatty oxidation take place?
mitochondria
As blood passes through actively contracting skeletal muscle tissue, the affinity of hemoglobin for oxygen in the muscle tissue:
- A.increases as a result of an increase in plasma temperature.
- B.increases as a result of an increase in plasma P O2.
- C.decreases as a result of a decrease in plasma pH.
- D.decreases as a result of a decrease in plasma P CO2.
The solution is C.
- Affinity would decrease with an increase in plasma temperature.
- Affinity would increase when P O2 increases. However, P O2 in muscle cells decreases with exercise.
- Affinity would decrease with a decrease in plasma pH, and during prolonged exercise, anaerobic respiration would decrease the plasma pH.
- Affinity would increase with a decrease in plasma P CO2.
HENRY"s LAW
A researcher measures the concentration of CO2(aq) in a solution at equilibrium. Which additional quantity must be measured in order to calculate the Henry’s Law constant k H for the gas?
- A.Atmospheric pressure
- B.Volume of the solvent
- C.Partial pressure of the gas
- D.Vapor pressure of water
The solution is C.
- The atmospheric pressure P atm is not a factor in the Henry’s Law constant equation.
- The volume V of the solvent is not a factor in the Henry’s Law constant equation.
- The Henry’s Law constant k H relates the solubility of a gas S to the pressure of that gas P g above the solution and is written as S = k H•P g. Therefore, in addition to the concentration of CO2(aq) in a solution at equilibrium, the partial pressure of the gas P g must be measured.
- The vapor pressure P v of water is not a factor in the Henry’s Law constant equation.
Text:
The A component, also known as the S1 subunit, is an ADP ribosyl transferase. S1 is associated with the B component, which contains the S2, S3, S4, and S5 subunits complexed in a 1:1:2:1 molar ratio (Figure 1). After the B component binds to cell surfaces, the S1 subunit is inserted into the cytoplasm, thereby inhibiting the heterotrimeric Gi (inhibitory G) protein, a protein that normally inhibits adenylate cyclase.
Based on the passage, which subunit of PTx is LEAST suitable for generation of vaccine against B. pertussis?
- A.S1
- B.S2
- C.S4
- D.S5
The solution is A.
- When choosing an antigen for vaccine production, there are two aspects to consider: immunogenicity and toxicity. S1 has the ADP ribosyl transferase activity responsible for toxicity of PTx and therefore is least suitable for vaccine production.
- The S2 subunit is part of the B component of PTx that binds to the cell surface and has no toxic activity.
- The S4 subunit is part of the B component of PTx that binds to the cell surface and has no toxic activity.
- The S5 subunit is part of the B component of PTx that binds to cell surface and has no toxic activity.
What are the sizes for prokaryotic and eukaryotic ribosomes?
70 S -50 and 30
80S - 40 and 60
Which experiment can be used to investigate the transcriptional regulation of the Cdkn1a protein?
- A.Assessing Cdkn1a mRNA levels by RT-PCR
- B.Assessing Cdkn1a mRNA levels by Southern blotting
- C.Assessing Cdkn1a protein levels by quantitative PCR
- D.Assessing Cdkn1a protein levels by Western blotting
The solution is A.
- As the question is focused on the transcriptional regulation, it is logical to assess the mRNA levels as opposed to protein levels. RT-PCR is a molecular technique that measures mRNA levels of specific protein.
- Southern blot is a technique that analyzes genomic DNA and cannot be used to measure the transcriptional regulation of a gene.
- Quantitative PCR is a technique that measures the levels of DNA, not mRNA, and cannot be used to measure the transcriptional regulation of a gene.
- Western blot is a technique that measures the translational levels of a protein, not the transcriptional regulation of a gene.
Khan Academy Lessons
What are pro-inflammatory cytokines?
Pro-inflammatory cytokines are molecules that help the immune system respond to infection or injury by promoting inflammation. They attract immune cells to the affected area, increase blood vessel permeability, and may cause fever to fight off pathogens. However, too many pro-inflammatory cytokines can lead to chronic inflammation and contribute to diseases.
*can promote apoptosis
A peptide consisting of nine amino acids was partially hydrolysed. Three different tripeptides were isolated. None of the tripeptides share a common amino acid. Based on the data, what is the total number of possible structures possible for the full-length peptide?
- A.3
- B.4
- C.6
- D.27
The solution is C.
- Three is the number of tripeptides that were formed by hydrolysis of the nonapeptide. This, however, is not the number of unique possible nonapeptides that are consistent with the hydrolysis data.
- There are more than four nonapeptides possible that are consistent with the hydrolysis data.
- If the sequences were ABC, DEF, and GHI, they can only be joined in 6 different possible ways to make a nonapeptide. Each of the tripeptides can appear in the first position and can combine in two possible ways with the other two tripeptides: 3 × 2 = 6.
- There are nine amino acids in the full-length peptide. These are hydrolyzed to three unique tripeptides that do not share any amino acids in common. The product 9 × 3 = 27. This, however, does not represent the number of unique possible full-length sequences that are consistent with the hydrolysis data.
Which of the following statements best applies to the inactive X chromosome in mammalian females?
- A.It does not replicate.
- B.Its chromatin structure is less condensed than that of an active X chromosome.
- C.It is one of the last chromosomes to replicate.
- D.It is highly transcribed.
The solution is C.
- Both the active and inactive X chromosomes replicate.
- The chromatin of the inactivate X chromosome is more condensed compared to the one of the active X chromosome.
- The inactivate X chromosome is one of the last chromosomes to replicate.
- The inactivate X chromosome is not highly transcribed.
The negative control used in Experiment 1 was most likely:
- A.unconditioned media without AECs.
- B.unconditioned media with AECs.
- C.conditioned media without AECs.
- D.conditioned media with AECs.

The solution is B.
- A negative control is the one that is performed in the conditions that are not expected to give positive results. Thus, unconditioned media will need to be used. As antibodies are highly specific, if 53BP1 and γH2AX are detected in the negative control, this means that AEC are present.
- A negative control is the one that is performed in the conditions that are not expected to give positive results. Thus, unconditioned media will need to be used. As antibodies are highly specific, if 53BP1 and γH2AX are detected in the negative control, this means that AEC are present.
- A negative control is the one that is performed in the conditions that are not expected to give positive results. Thus, unconditioned media, not conditioned media, will need to be used. As antibodies are highly specific, if 53BP1 and γH2AX are detected in the negative control, this means that AEC are present.
- A negative control is the one that is performed in the conditions that are not expected to give positive results. Thus, unconditioned media, not conditioned media, will need to be used. As antibodies are highly specific, if 53BP1 and γH2AX are detected in the negative control, this means that AEC are present.
Which of the following events does the release of CCK likely trigger?
- A.Relaxation of muscle in wall of gallbladder and relaxation of hepatopancreatic sphincter
- B.Contraction of muscle in wall of gallbladder and relaxation of hepatopancreatic sphincter
- C.Relaxation of muscle in wall of gallbladder and contraction of hepatopancreatic sphincter
- D.Contraction of muscle in wall of gallbladder and contraction of hepatopancreatic sphincter
The solution is B.
- The passage states that in the presence of CCK, more bile is released. For this to happen, the smooth muscles around the gall bladder will have to contract, not relax, and the hepatopancreatic sphincter will have to relax.
- The passage states that in the presence of CCK, more bile is released. For this to happen, the smooth muscles around the gall bladder will have to contract, and the hepatopancreatic sphincter will have to relax.
- The passage states that in the presence of CCK, more bile is released. For this to happen, the smooth muscles around the gall bladder will have to contract, not relax, and the hepatopancreatic sphincter will have to relax, not contract.
- The passage states that in the presence of CCK, more bile is released. For this to happen, the smooth muscles around the gall bladder will have to contract, and the hepatopancreatic sphincter will have to relax, not contract.

On the day of the experiment, the subjects drank about 1 L of water on average and excreted about 400 mL of urine. The most likely explanation for the difference between water intake and urine excretion is that:
- A.the extra water was stored as blood.
- B.water was consumed with the food that was eaten.
- C.the extra water was excreted by the intestine.
- D.water was excreted via the
skin and the lungs. The solution is D.
- The extra water cannot be stored as blood because this would increase the blood volume.
- If the water was consumed with the food that was eaten, then it would be absorbed and accumulate in circulation, increasing the volume of blood.
- Extra water could be excreted through the intestine if the subjects were having diarrhea. As the passage does not indicate this condition, this answer is not likely.
- Extra water is normally excreted through skin and lungs. The skin excretes water through the process of transpiration, and the lungs use water to humidify the air that enters the body.
The solution is D.
- The extra water cannot be stored as blood because this would increase the blood volume.
- If the water was consumed with the food that was eaten, then it would be absorbed and accumulate in circulation, increasing the volume of blood.
- Extra water could be excreted through the intestine if the subjects were having diarrhea. As the passage does not indicate this condition, this answer is not likely.
- Extra water is normally excreted through skin and lungs. The skin excretes water through the process of transpiration, and the lungs use water to humidify the air that enters the body.
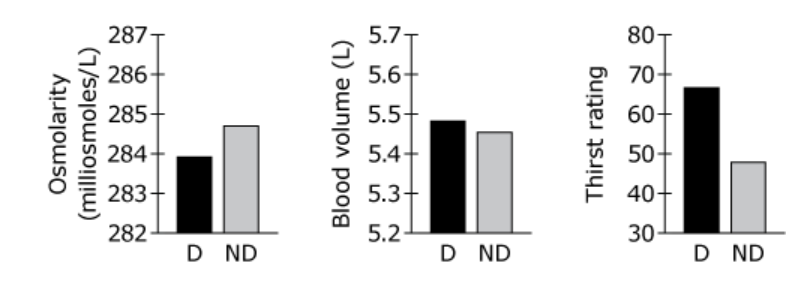
The osmolarity of urine in these subjects was 958 milliosmoles/L, compared with an average blood osmolarity of 284 milliosmoles/L. The higher osmolarity of urine suggests that:
- A.the kidneys are secreting very little Na+.
- B.the kidneys are acting to conserve water.
- C.the subjects are on a low-protein diet.
- D.the subjects are dehydrated.
The solution is B.
- If the kidneys were excreting low amounts of Na+, urine osmolarity would be lower, and the osmolarity of the blood would be higher because there would be more Na+ in circulation.
- An increase in water conservation would result in higher urine osmolarity and lower blood osmolarity.
- High levels of proteins, not low levels, result in higher urine osmolarity.
- If the subjects were dehydrated, the osmolarity of blood and urine would be closer.
Which of the following responses could maintain cardiac output under dehydration conditions that reduce blood volume?
- A.A decrease in stroke volume
- B.A decrease in heart rate
- C.An increase in heart rate
- D.An increase in blood viscosity
The solution is C.
- The stroke volume is the amount of blood that is pumped by the left ventricle per beat. In dehydration conditions a decrease in stroke volume will decrease, not maintain, the cardiac output.
- The heart rate is the number of heart contractions per minute. A decrease in heart rate would decrease, not maintain, the cardiac output.
- The heart rate is the number of heart contractions per minute. An increase in heart rate would maintain the cardiac output in dehydration conditions.
- An increase in blood viscosity would not be able to maintain cardiac output under dehydration conditions.
Reverse transcriptase converts _______________
RNA into DNA.
According to Figure 1, as the embryo begins gastrulation, the number of cells is between:
- A.4 and 6.
- B.6 and 40.
- C.40 and 10,000.
- D.10,000 and 100,000.
The solution is D.
- Please note that the values on the y-axis are on Log10. Log10 6 = 0.78 on the y-axis. Based on the graph, the cell division is very pronounced between 4 and 6 cell stage.
- Please note that the values on the y-axis are on Log10. Log10 40 = 1.60 on the y-axis. Based on the graph, the cell division is still very pronounced between 6 and 40 cell stage.
- Please note that the values on the y-axis are on Log10. Log10 10,000 = 4 on the y-axis. Based on the graph, the cell division starts to slow down just after the 10,000-cell stage. Gastrulation does not start before 10,000 cells.
- Please note that the values on the y-axis are on Log10. Based on the graph, cell division just starts to slow down after the 10,000-cell stage, which corresponds to the value of 4 in the y-axis of the graph. For this reason, gastrulation should start between 10,000 and 100,000 cells.
The presence of which type of intercellular connections between endothelial cells of brain capillaries results in the blood–brain barrier?
- A.Desmosomes
- B.Gap junctions
- C.Intercalated discs
- D.Tight junctions
The solution is D.
- Desmosomes are intercellular junctions that function as anchors to form strong sheets of cells.
- Gap junctions are intercellular junctions that provide cytoplasmic channels between adjacent cells.
- Intercalated discs are specialized intercellular junctions between cardiac muscle cells that provide direct electrical coupling among cells.
- Tight junctions are intercellular junctions that prevent the movement of solutes within the space between adjacent cells. In blood capillaries, neighboring endothelial cells form tight junctions with one another to restrict the diffusion of harmful substances and large molecules into the interstitial fluid surrounding the brain.
If the third codon in the coding region of the Rdl GABA receptor cDNA is replaced with an amber codon (for example, TAG) and the modified Rdl GABA receptor cDNA is expressed in frog oocytes, functional full-length receptors will:
- A.accumulate in the Golgi complex.
- B.accumulate in the rough endoplasmic reticulum.
- C.not be synthesized.
- D.lose resistance to dieldrin.
TAG is part of the coding or sense strand (" If the third codon in the coding region ") --> mRNA is the same as the sense strand except you replace T with U --> TAG becomes UAG which is one of the three stop codons (UAA, UGA, UAG)
The solution is C.
- An amber codon is a stop codon. If the third codon is replaced with a stop codon, the protein will not be synthesized, and for this reason, it cannot accumulate in the Golgi.
- An amber codon is a stop codon. If the third codon is replaced with a stop codon, the protein will not be synthesized, and for this reason, it cannot accumulate in the rough endoplasmic reticulum.
- An amber codon is a stop codon. If the third codon is replaced with a stop codon, the protein will not be synthesized.
- An amber codon is a stop codon. If the third codon is replaced with a stop codon, the protein will not be synthesized, which will make the oocytes resistant to dieldrin simply because the agent dieldrin reacts with is absent.
What is cDNA?
In summary: when the reverse transcriptase synthesizes the cDNA, it reads the mRNA and creates a complementary DNA strand, with U (from RNA) replaced by T (in DNA). This is why cDNA is a DNA copy of the mRNA sequence, with the only difference being the base substitution: U → T.
- mRNA is like a "recipe" that tells a cell how to make a protein. It’s made from DNA but is written in a different "language" using letters A, U, G, and C.
- cDNA is made by copying the mRNA. It's a DNA version of that "recipe" but written in the DNA "language" (which uses the letters A, T, G, and C, instead of A, U, G, and C).
- Key difference: The main difference between mRNA and cDNA is that where mRNA has the letter U, cDNA has a T. So, the letter U (in RNA) is replaced by T (in DNA).
- Starting point: cDNA is made from mRNA (messenger RNA).
- Process: The mRNA is used as a template to create cDNA through a
process called reverse transcription. In this process:
- The mRNA's "recipe" (its sequence of A, U, G, C) is read by an enzyme.
- A complementary DNA strand is made by replacing the U in mRNA with T (because DNA uses T instead of U).
- End result: The end result is cDNA, which is a DNA copy of the mRNA. So, the mRNA (which has U's) gets transformed into a cDNA sequence (which has T's instead of U's).
Endosomes are formed to transport a substance ______________
from the outside of the cell, not inside the cell.
Endosomes are formed when the cell takes in material from outside (through a process called endocytosis), and they play a key role in sorting and directing these materials either to
Which procedure would be the best negative control for endogenous GABA-receptor function in frog oocytes?
- A.Addition of GABA to mock-transfected frog oocytes
- B.Transfection of wild-type GABA receptor into insect oocytes
- C.Addition of excess GABA to Rdl-transfected oocytes
- D.Transfection of wild-type GABA receptor into Rdl-expressing oocytes
The solution is A.
- Transfection of GABA to mock-transfected frog oocytes would be the best negative control for endogenous GABA-receptor function. This procedure would ensure that the process of transfection per se does not generate a response to GABA.
- The insect oocytes already have the GABA receptor, so transfection of more GABA receptors would not generate a negative control. On the contrary, it might increase the sensitivity to GABA.
- Addition of excess GABA to Rdl-transfected oocytes would not be a good negative control on the function of GABA-receptors because Rdl is not responsive to GABA. In this case, no reaction is possible.
- Transfection of wild-type GABA receptor into Rdl-expressing oocytes would restore sensitivity to GABA. This method is not a negative control but a rescue experiment.
In Drosophila, white eyes are recessive to red eyes, and yellow bodies are recessive to dark bodies; both genes are on the X chromosome. The genotype of a red-eyed, dark-bodied female (XX) could be determined by mating it with a male (XY) that has which of the following phenotypes?
- A.Red eyes, dark body
- B.Red eyes, yellow body
- C.White eyes, dark body
- D.White eyes, yellow body
The solution is D.
- The question tests the knowledge of the test cross. Crossing a phenotypically dominant female with a phenotypically dominant male (red eyes and dark body) will not allow one to determine the genotype of the female.
- The question tests the knowledge of the test cross. Crossing a phenotypically dominant female with a male that is recessive for the body color (yellow body) but dominant for the eye color (red eyes) will not allow one to determine the genotype of the female.
- The question tests the knowledge of the test cross. Crossing a phenotypically dominant female with a male that is recessive for the eye color (white eyes) but dominant for the body color (dark body) will not allow one to determine the genotype of the female.
- This question tests the knowledge of the test cross. This is a method to identify if an organism that shows a dominant phenotype is a homozygous or heterozygous. The female is red-eyed and dark bodied, which means she has a dominant phenotype. However, the female could also be homozygous or heterozygous for one or both traits. Mating this type of female with a male with a recessive phenotype for both traits (white eyes and yellow body) would determine the genotype of the female.
What is involved in a test cross?
A test cross is a genetic experiment used to determine the genotype of an individual that exhibits a dominant trait. The basic idea is to cross the individual in question (whose genotype is unknown) with an individual that is homozygous recessive for the trait.
Here’s what happens in a test cross:
- Unknown Genotype (Dominant Trait): The individual you are testing shows a dominant trait, but you don’t know whether they are homozygous dominant (AA) or heterozygous (Aa).
- Homozygous Recessive Partner: You cross this individual with another individual that is homozygous recessive (aa) for the same trait. This ensures the partner can only pass on the recessive allele (a).
- Results Interpretation:
- If the individual is homozygous dominant (AA), all offspring will inherit one dominant allele (A) from the parent and one recessive allele (a) from the partner. All offspring will show the dominant trait (genotype Aa).
- If the individual is heterozygous (Aa), about half of the offspring will show the dominant trait (genotype Aa), and the other half will show the recessive trait (genotype aa). This is because the heterozygous parent will pass on either the A or the a allele randomly.
What is discriminating stimuli?
Discriminating stimuli refer to environmental cues or signals that help an individual or organism differentiate between different situations or responses. In behavioral psychology, they are signals that indicate whether a specific behavior will be reinforced or punished.
The traditional behaviorist approach does _______________.
not regard mental processes as real.
It holds that only actual outcomes of a behavior determine whether that behavior will be repeated.
Which statement best explains how the concept of external motivation (used by SDT) is different from extrinsic motivation?
Compared to external motivation, extrinsic motivation:
- A.is a broader term that includes external motivation.
- B.is a narrower term that refers to external reinforcers.
- C.excludes social punishers and reinforcers.
- D.excludes internal states that direct behavior.
The solution is A.
- Extrinsic motivation refers to any motivation that results from incentives to perform a behavior that are not inherent to the behavior itself. External motivation is described as social pressure, which is an example of extrinsic motivation.
- Extrinsic motivation includes both punishers and reinforcers.
- Social punishers and reinforcers (as in external motivation) are included in extrinsic motivation.
- Internal states are irrelevant to external motivation as described in the passage.
Which statement best applies Rogers’s concept of incongruence to SDT’s suggestion for how healthcare professionals can promote autonomous motivation?
- A.By encouraging their patients’ initiative, healthcare professionals motivate their patients to reduce the gap in their need for self-actualization.
- B.By giving their patients options, healthcare professionals make it possible for their patients to reduce the gap between their actual behavior and their expected behavior.
- C.By encouraging the patients’ initiative, healthcare professionals motivate their patients to reduce the gap between their behaviors and their attitudes.
- D.By giving their patients options, healthcare professionals offer their patients ways to reduce the gap between their ideal selves and their actual selves.
The solution is D.
- Incongruence does not refer to a person’s need for self-actualization.
- Incongruence does not refer to a gap between a person’s actual and expected behavior.
- Incongruence does not refer to the gap between a person’s behavior and attitudes.
- Incongruence refers to the gap between a person’s actual self and ideal self.
What is Roger's concept of incongruence?
Roger's concept of incongruence refers to a mismatch or conflict between a person's self-image (how they see themselves) and their ideal self (how they would like to be). This gap can lead to feelings of discomfort, anxiety, or frustration because the person feels that their true self doesn't align with who they want to be.
Example in simple terms:
Imagine a person who sees themselves as someone who is confident and social (self-image), but deep down they feel shy and insecure in social situations (ideal self). This mismatch creates incongruence. The person might struggle with feelings of dissatisfaction because their actual behavior doesn't match their ideal sense of who they are.
In summary, incongruence happens when there's a disconnect between how we see ourselves and how we want to be, which can lead to emotional distress.
What is base rate fallacy?
- The base rate fallacy refers to the error people make when they ignore the base rates (i.e., prior probabilities) when evaluating the probabilities (or frequencies) of events.
What is public verifiabiltiy?
- the reason other scientists are attempting to replicate the original findings.
What is the function of the lens?
- The cornea and iris can accommodate and focus the incoming light rays. This is not a function of the retina.
- The retina contains photoreceptors such as rods and cones, which detect light and transduces light to energy. The energy eventually becomes an action potential and the signal travels through the optic nerve and travels to the primary visual cortex.
- The retina does not function in providing oxygen and nutrients for the vitreous humor. The vitreous humor is a gel-like substance that is in the posterior segment of the eye.
- The lens can focus the incoming light rays on the photoreceptors. This is not a function of the retina.
What is the glass escalator concept?
The sociological concept of the “glass escalator” suggests that men who pursue occupations that have high proportions of women (such as teaching or nursing) will quickly ascend the career ladder with promotions.
Which concern about the study reflects problems as a result of the response rate?
- A.Participants provided four responses to four hypothetical scenarios.
- B.The participants may differ from the employees who did not respond to the survey.
- C.The manager and assistant participants may have interpreted the scenarios differently.
- D.Participants were aware of the status of the target employee.
The solution is B.
- Any threats to the internal validity of the study created by the repeated measures approach (which are usually addressed through counter-balancing or similar techniques) would also be present with a 100% response rate.
- A low response rate to a survey raises the question of whether the survey respondents differ from the nonrespondents on some important characteristics, such as personality traits or other factors.
- Differences between how manager and assistant participants may have interpreted the scenarios are expected, based on the experimental design for testing in-group/out-group differences.
- It is true that participants were aware of whether the target employee was a manager or an assistant; this is how the researchers manipulated in-group and out-group bias. This manipulation was independent of response rate.
How would the pattern of attributions found in the study most likely be predicted to change during times of intense group conflict between managers and assistants?
- A.Recognizing the need to reduce conflict, situational attributions would be the most common.
- B.The conflict would increase the effects of the in-group and out-group bias.
- C.In-group bias fighting within the organization would reverse the pattern of attributions found in the study.
- D.The increase in self-reliance during conflict would reduce the in-group and out-group bias effects.
The solution is B.
- Although situational attributions would likely prevent a conflict to spiral out of control, people are less likely to make situational attributions when emotions rise during conflict.
- Intense group conflict increases the effects of the in-group and out-group bias and would most likely have the same effects on the attributions made by the different groups. For example, a delay in responding by management caused by some computer malfunction would be much more likely to be attributed to an internal factor (“they are not trustworthy”) compared to a situational factor (“computer malfunction”).
- Conflict between groups (management versus assistants) tends to reduce in-group bias fighting and unify the group against the out-group.
- Increased group cohesion is more common than increased self-reliance during times of conflict.
People have a self-serving bias, wherein ________________________________
people tend to attribute their own successes to internal factors and attribute their own failures to external factors.
A consultant is hired by an organization to break down barriers between managers and assistants by conducting a series of team-building activities over a period of time. If the team-building activities are successful, how would they most likely influence the attributions made by the organization’s employees?
- A.Managers would attribute positive outcomes by other managers to situational factors.
- B.Managers and assistants would attribute positive outcomes by managers to dispositional factors.
- C.Assistants would attribute negative outcomes by other assistants to dispositional factors.
- D.Managers and assistants would attribute negative outcomes by managers to dispositional factors.
The solution is B.
- If team-building has been successful, then the managers will attribute all positive outcomes to dispositional factors.
- If the team building activities are fully effective, then the managers and assistants would all see themselves as part of one group. There would be an in-group bias for all employees. They would all make dispositional attributions for their coworkers’ successes and situational attributions for their coworkers’ failures.
- If team-building has been successful, then the assistants will attribute all negative outcomes to situational factors.
- If the team building activities are fully effective, then both managers and assistants will attribute all negative outcomes to situational factors, regardless of whether a manager or an assistant performed the behavior that led to a negative outcome.
Labeling theory is closely associated to _______
stimgma
A researcher applying the sociological perspective of labeling theory to the passage is likely to suggest that social skills training will have the greatest impact on:
- A.social stigma applied to some students.
- B.social capital represented by the school.
- C.cultural capital associated with the school.
- D.cultural diversity reflected in the students.
The solution is A.
- Labeling theory suggests that people are often placed into social categories, one of which could be a stigmatized category. Thus, labeling theory is most closely associated with social stigma. As related to the passage, labeling theory would suggest that social skills training could potentially prevent or counteract the stigmatization of some students in schools.
- Social capital focuses on the value of social networks and is not closely connected to labeling theory.
- Cultural capital (social status derived from knowledge, preferences, or skills connected to the school) is not specifically relevant to labeling theory.
- The cultural diversity of the students is not directly relevant to labeling theory.`
Attraction and commitment to a group is likely to be greatest when group members:
- A.promote their social networks.
- B.express diverse cultural values.
- C.share equivalent cultural capital.
- D.present their back-stage selves.
The solution is C.
- Promoting group members’ distinct social networks has the potential for illustrating differences. It would not provide a common characteristic that strengthens group bonds.
- Although diverse cultural values can be a source of strength for a group, it can also provide disconnection and possible disagreement. Thus, the impact is likely to be uneven.
- Group affiliation (attraction and commitment) is likely to be greatest when the members or participants in the group share similar outlooks, knowledge, preferences, skills, and other aspects of cultural capital. Among the options, similarity in cultural capital would be most likely to solidify group bonds in a way that increases commitment to the group.
- The back-stage self is presented when an individual does not feel the need to conform to certain expectations. In most social interactions within groups, individuals will be presenting their front-stage self (acting according to group norms and expectations).
When asked whether a person who is afraid of spiders would be diagnosed as having a psychological disorder, a psychologist replies, “It depends on whether or not this fear interferes with the person’s life.” The psychologist appears to rely most heavily on which criterion of abnormality?
- A.Distress
- B.Maladaptiveness
- C.Statistical deviancy
- D.Violation of social norms
The solution is B.
- The distress criterion takes into account whether the behavior demonstrates unusual or prolonged levels of stress.
- The maladaptiveness criterion takes into account whether the behavior negatively impacts the person’s life or poses a threat to others.
- The statistical deviancy criterion takes into account whether the behavior is statistically rare.
- The violation of social norms criterion takes into account whether the behavior violates social norms.
In an evaluation study for a diabetes intervention program, the subjects in the sample had a median age of 45 and a mean age of 55. Which statement accounts for the difference between the median age and the mean age?
- A.The sample had more subjects under the age of 45 than over the age of 45.
- B.The sample had more subjects over the age of 45 than under the age of 45.
- C.The sample included subject(s) who were much older than the age of 45.
- D.The sample included subject(s) who were much younger than the age of 45.
The solution is C.
- This option states that there are more subjects under age 45 than over age 45. However, the median splits the distribution with an equal number of subjects above and below it.
- This option states that there are more subject over age 45 than under age 45. However, there are an equal number of subjects above and below the median of distribution.
- A mean age (of 55) that is higher than the median age (of 45) suggests that the sample had a skew toward older ages. One way to represent this is to say that the sample included subject(s) who were much older than the average age.
- If the sample included subject(s) who were much younger than 45, then the mean would most likely skew younger than the median age.
Which research design would allow a researcher to determine whether the study’s finding about heterosexual marriage and alcohol consumption also holds for same-sex marriage?
- A.Ask a random sample of respondents whether individuals in same-sex marriages consume alcohol in different patterns than married heterosexuals.
- B.Conduct a study of gender role attitudes that consists of respondents currently living with a partner, including those in same-sex marriages.
- C.Survey alcohol consumption patterns of a random sample of American adults across demographic characteristics, including sexual orientation.
- D.Compare rates of alcohol consumption among a random sample of single, homosexual respondents and those married to a same-sex partner.
The solution is D.
- This design calls for measuring opinions or beliefs about consumption patterns rather than behavior. It would not provide data on differences in behavior based on marital status.
- This design does not explicitly measure one of the variables (alcohol consumption). Instead, this study would measure variation in gender role attitudes among cohabiting couples.
- This design does not explicitly measure the role of same-sex partnerships. It would allow comparison across sexual orientation (and other demographic characteristics) but would not be able to determine the relationship between alcohol consumption and marital status.
- To assess the relationship between variables, both variables must be measured and exhibit variation. The key describes an appropriate design because both variables (alcohol consumption and same-sex partnerships) are measured for a relevant population. It would thus provide data that could provide for a comparison with the findings of the study in the passage.
When participants respond to questions about their childhood health history, they are retrieving autobiographical information, which is an important type of ____
episodic memory.
The findings of Study 1 suggest that the assessment of alcohol use involved which indicator?
- A.Presence of aggressive behaviors
- B.Presence of withdrawal symptoms
- C.Difficulty with memory function
- D.Difficulty with impulse control
The solution is B.
- Although aggressive behaviors can be associated with alcohol use, the presence of such behaviors can be the result of several other factors besides alcohol dependence.
- Alcohol dependence is most strongly indicated by withdrawal symptoms.
- Although memory problems can be associated with alcohol use, the presence of such problems can be the result of several other factors besides alcohol dependence.
- Although impulse control can be associated with alcohol use, its presence can be the result of several other factors besides alcohol dependence.
Text: In addition, childhood psychological disorders predicted marital instability and were associated with the Big Five personality traits during adulthood.
Based on the findings of Study 2, which characteristic in adulthood is LEAST likely associated with childhood psychological disorders?
- A.Conscientiousness
- B.Agreeableness
- C.Neuroticism
- D.Impulsivity
The solution is D.
- Conscientiousness is one of the personality traits identified in Cattell’s Five Factor (BIG Five) theory.
- Agreeableness is one of the personality traits identified in Cattell’s Five Factor (BIG Five) theory.
- Neuroticism is one of the personality traits identified in Cattell’s Five Factor (BIG Five) theory.
- The passage states that Study 2 found childhood psychological disorders were associated with the Big Five personality traits during adulthood. Impulsivity is not among the factors identified in Cattell’s Five Factor (the BIG Five) theory.
Text: Statistical analyses revealed that retrospective reports of depressive symptoms or alcohol dependence were associated with lower income during adulthood.
Based on the results of Study 1, which symptom in childhood is most likely to be a risk factor for lower SES in adulthood?
- A.Repetitive behaviors
- B.Unwanted cognitions
- C.Delusions of grandeur
- D.Feelings of worthlessness
The solution is D.
- Repetitive behaviors are symptoms of obsessive-compulsive disorder, not substance abuse or depression.
- Unwanted cognitions are symptoms of obsessive-compulsive disorder, not substance abuse or depression.
- Delusions of grandeur is a symptom of schizophrenia not substance abuse or depression.
- Study 1 found an association between childhood depression and substance use and lower SES in adulthood. Feelings of worthlessness is among the symptoms of depression.
What is the naming explosing?
Refers to a rapid increase in a young child's vocabulary, typically occurring between 18 and 24 months of age. During this period, toddlers begin to learn and use a large number of words very quickly, often labeling objects, people, and actions in their environment.
Before the naming explosion, toddlers may have a smaller vocabulary, usually consisting of a few words or sounds. But once the naming explosion begins, they may start picking up new words every day, and their vocabulary can grow from a handful to several hundred words in a relatively short time.
What is overextension?
“Overextension” is the term for applying a term for one class of objects to other objects that bear only a superficial resemblance (for example, “doggie” for a cow).
What is categorical perception?
Categorical perception refers to the way we perceive stimuli (such as sounds, colors, or objects) as belonging to distinct categories, even when there might be subtle differences between them. Essentially, we tend to group things into "categories" rather than noticing the small differences between them.
What is bootstrapping?
Refers to the initial stage(s) of grammatical (i.e., syntactic) development.
What is elaborative encoding?
Elaborative encoding is a memory technique where new information is linked to existing knowledge in a meaningful way. By making these connections, the information becomes more memorable and easier to recall. It’s a process that helps transform simple, shallow information into deeper, more meaningful memories.
For example, you could think of the famous character "Alice" from Alice in Wonderland. You might also picture her with a curious look on her face, like the character, which creates a vivid image and a meaningful link to the name.
What is systematic desensitization?
Systematic desensitization is a type of behavioral therapy used to help people reduce or eliminate their fear or anxiety toward a specific object or situation. It involves gradually exposing the person to the feared stimulus in a controlled and gradual way, while helping them remain relaxed. The goal is to replace the fear response with a relaxation response.
If someone has a fear of flying:
- Relaxation training: They learn relaxation techniques.
- Fear hierarchy: The list might start with looking at pictures of airplanes, then watching videos of flights, imagining being on a plane, sitting in a stationary plane, and finally flying on an airplane.
- Gradual exposure: The person begins with looking at pictures and progresses through each step, practicing relaxation techniques until they no longer feel anxious.
Which statement does NOT describe a monocular depth cue?
- A.Objects that are higher up in the visual field are perceived as being farther away than the objects that are lower in the visual field.
- B.Objects that are occluded by other objects are perceived as being farther away than the objects that occlude them.
- C.Objects that have more detailed textures are perceived as being closer than objects that have less detailed textures.
- D.Objects that are to the front of the point of focus are perceived as being closer than objects that are behind the point of focus.
The solution is D.
- This statement describes retinal height, which is a monocular depth cue.
- This statement describes occlusion, which is a monocular depth cue.
- This statement describes texture gradient, which is a monocular depth cue.
- Using the distance from the object of focus as a depth cue is associated with retinal disparity, which is a binocular depth cue.
Globalization is more likely to increase awareness of each disorder, ___________
due to the spread of knowledge and treatment modalities across the world.
Efforts to raise public awareness about dementia in LMICs are most likely to take the form of which community-based program?
- A.Inform people that dementia is an abnormal condition rather than a normal part of aging.
- B.Educate people about all the disorders that can lead to dementia if they are left untreated.
- C.Help people to distinguish between fluid intelligence and crystallized intelligence.
- D.Explain to people that memory interference occurs more often than memory decay.
The solution is A.
- Dementia is an abnormal condition, and not an inevitable result of normal aging. Making people aware of this fact may help alleviate the problem of underreporting of dementia in LMICs, mentioned in the passage.
- Listing all the disorders involving dementia would not be helpful, because Alzheimer’s Disease is the cause of most dementia cases. In addition, such a program may lead to increased levels of stigmatization of persons with dementia, which could, in turn, bring about increased underreporting of dementia in LMICs.
- Informing people about the distinction between fluid and crystallized intelligence is unlikely to raise public awareness of dementia. Declines in fluid intelligence can be expected to occur as a normal result of aging, rather than an abnormal condition.
- Informing people about the distinction between decay and interference is unlikely to raise public awareness of dementia, because that distinction is not clearly relevant to dementia.
The focus on structural factors, such as poverty or race/ethnicity, is most consistent with ________, which focuses on the social determinants of health and disease.
social epidemiology
Text: However, excessive alcohol use is also associated with preventable injuries, which are more likely to result from binge drinking than alcohol dependence.
The distinction between binge drinking and alcohol dependence in the passage is best described as attributing preventable injuries to which effect of alcohol use?
- A.Tolerance
- B.Disinhibition
- C.Negative reinforcement
- D.Positive reinforcement
The solution is B.
Disinhibition refers to the reduction or removal of a person's usual inhibitions or self-control, leading to behavior that is more impulsive, uninhibited, or socially inappropriate. It can occur in various contexts, such as in social behavior, emotions, or even in cognitive functions.
- Tolerance, which refers to a need to increase dosage to obtain the desired previous effect, is not directly relevant to the risky behavior that can result in preventable injuries.
- The passage states that excessive alcohol use is associated with preventable injuries, which are more often due to binge drinking than to alcohol dependence. Disinhibition is associated with binge drinking and often leads to risk taking, which can lead to preventable injuries.
- Negative reinforcement refers to the strengthening of a behavior after the response has been followed by the removal of an aversive stimulus. It is not mentioned in the passage as relevant to the risky behavior (more often due to binge drinking than to alcohol dependence) that can result in preventable injuries.
- Positive reinforcement refers to the strengthening of a behavior after the response has been followed by the delivery of an appetitive stimulus. It is not mentioned in the passage as relevant to the risky behavior (more often due to binge drinking than to alcohol dependence) that can result in preventable injuries.
The passage suggests that family caregivers of patients with dementia are likely to experience:
- A.role strain.
- B.relative deprivation.
- C.role conflict.
- D.relative poverty.
The solution is C.
- Role strain involves tensions in the demands from a single social role. Because the passage describes multiple social roles, role strain is incorrect.
- Relative deprivation is when expectations surpass the material resources that a group or individual has. This concept does not address the passage reference from the question.
- The end of the dementia section states that support for family caregivers of dementia patients is also essential to help caregivers balance the demands of caregiving with their other social responsibilities. Balancing the demands of one role (caregiving) with other roles (other social responsibilities) defines role conflict (tensions stemming from multiple social roles).
- Relative poverty refers to having fewer resources in relation to the more affluent in one’s society. This concept does not address the passage reference used in the question.
A researcher proposes an alternative to the hypothesis in the passage that mammography rates are partly due to social capital. An alternative hypothesis that draws on the concept of institutional discrimination is most likely to make which prediction?
- A.Patients whose healthcare provider is from the same racial/ethnic group will have above average rates of mammography.
- B.Mammography rates will be affected by healthcare providers who interact with patients differently according to racial/ethnic group.
- C.Metropolitan areas that are highly segregated across different racial/ethnic groups will have below average rates of mammography.
- D.Mammography rates will be affected by healthcare policies that have a disproportionate impact on racial/ethnic minority groups.
The solution is D.
- This option suggests racial concordance in healthcare interactions.
- This option suggests individual discrimination during interactions.
- This option is more directly related to residential segregation by race/ethnicity. Although discrimination and segregation are commonly discussed together, from a sociological perspective they can be distinguished from one another. Segregation refers to separation in physical space, whereas discrimination describes unfair treatment.
- The passage refers to research suggesting that the breast cancer mortality disparity may be partly related to differences in cancer screening with mammography. The question introduces another researcher’s alternative hypothesis, proposing that the correct answer must apply the concept of institutional discrimination. Institutional discrimination calls attention to policies at the organizational or institutional level in health care. Rather than being directly exclusionary, these policies tend to have a disproportionate impact on certain groups.
A researcher applying the concept of assimilation to immigrant health would propose which hypothesis?
An immigrant group’s life expectancy will:
- A.surpass the majority group’s life expectancy over time.
- B.approximate the majority group’s life expectancy over time.
- C.fall behind the majority group’s life expectancy over time.
- D.maintain the same disparity with the majority group’s life expectancy over time.
The solution is B.
- The assimilation perspective suggests that immigrant groups will become more like the rest of society, rather than surpassing the outcomes of other groups.
- The concept of assimilation proposes that an immigrant group will eventually adopt the customs (norms, values, etc.) of the majority group in a society. Because of taking on such norms over time, the immigrant group’s health outcomes (including life expectancy) would be likely to approximate the majority group’s health outcomes (including life expectancy).
- The assimilation perspective suggests that immigrant groups will become more like the rest of society, rather than falling behind the outcomes of other groups.
- The concept of assimilation is not about stasis. Instead, the assimilation process predicts that the immigrant group would become, over time, very similar to the rest of society.
_____________ posits that individuals develop a sense of self, or identity, through the interactions and relationships that they have with others. The theory suggests that social relationships are fundamental for individuals to develop a sense of who they are.
Symbolic interactionism
Proprioceptors are a type of sensor that helps an individual to __________ and/or its position. These receptors are found within the ______________
determine the location of a body part
vestibular system, muscles, and/or tendons.
Chemoreceptors are found in the ______________
carotid bodies and the aortic arch.
Osmoreceptors are usually located in the_______________
hypothalamus and they usually detect the change in osmotic pressures