
Which of the following compounds is most likely to be a major product in Step 2 if the aldol condensation is NOT followed by a dehydration reaction?

Solution: The correct answer is A.
- During an aldol reaction, the α-methyl carbon of the acyclic ketone becomes a nucleophilic enolate ion which then proceeds to attack the electrophilic cyclopentanone ketone. This process creates a new carbon–carbon single bond, and the cyclopentanone ketone is converted into the hydroxy group located on the β-carbon, producing a β-hydroxy ketone.
- This compound has a double bond between the α and β carbons, which would result from the loss of the hydroxyl functional group in a dehydration reaction.
- In this option, the hydroxy functional group is present instead of the ketone functional group, which is missing, and both should be present after an aldol addition reaction.
- This product is an allylic alcohol, which is a reduced form of the aldol condensation product rather than the β-hydroxy ketone obtained from the aldol addition reaction.

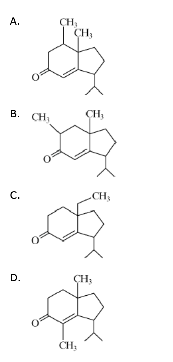
If Compound 2 is replaced with Compound X, what will be the structure of the final product of steps 1 and 2? (Note: Assume that the yields of steps 1 and 2 are not affected by the substitution.)
Solution: The correct answer is A.
- This is the product obtained in two steps, beginning with a Michael addition reaction between compounds 1 and 2, followed by an intramolecular aldol condensation. The addition of a methyl group on Compound 2 does not change the reaction mechanism of the first step, and there will be an additional methyl present in the product on the δ-carbon (C5 from the ketone counting clockwise) of the six-membered ring.
- This product has the new methyl group present on a different carbon than on Compound X.
- The methyl group was shifted from its original position in Compound X to the methyl group in Compound 1.
- The methyl group on Compound X was moved to the α-carbon of the α,β-unsaturated ketone instead of remaining on the δ-carbon (C5 of the six-membered ring).
What is the equation for energy stored in a capacitor?
E = 1/2CV^2
- E is the energy stored in the capacitor (in joules),
- C is the capacitance of the capacitor (in farads),
- V is the voltage across the capacitor (in volts).
How many mF in 1 Faraday?
1000 mF = 1F
Suppose that the railcar passes by a horn that is emitting a sound with frequency f. Which of the following describes the frequency f that the person on the railcar hears?
- A. f > f before passing the horn, f < f after passing it
- B. f < f before passing the horn, f > f after passing it
- C. f = f before passing the horn, f = f after passing it
- D. f > f before passing the horn, f > f after passing it
Solution: The correct answer is A.
- Due to the Doppler effect, the frequency that the person on the railcar hears before passing the horn is larger than the actual frequency of the sound emitted, while the person hears a frequency lower than the actual frequency after passing the horn.
- These relationships between the perceived frequencies and the frequency of the emitted sound are in direct contradiction to the consequences of the Doppler effect which causes the frequency that the person on the railcar hears before passing the horn be larger than the actual frequency of the sound emitted, while the frequency heard by the person after passing the horn be lower than the actual frequency.
- The fact that the perceived frequencies are identical to the emitted frequency actually implies the person does not move relative to the horn.
- According to the Doppler effect, the frequency perceived by the moving person cannot be the same both when approaching and when departing from the horn, given that in one instance the person moves along with the propagating sound wave, whereas in the other case it moves in a direction opposite to that of the sound wave.
What is another equation for power required to maintain constant velocity is given by the equation:
P = Fv
- P is the power (in watts, W),
- F is the force required to overcome friction or resistive forces (in newtons, N).
- v is the velocity (in meters per second, m/s).
Text: After the locomotive releases the railcar, two systems are available to slow the moving railcar. The first system connects an electric generator to the railcar’s wheels to charge a 12 V battery mounted on the railcar. Engaging the generator to the wheels puts a decelerating force of 5000 N at 40 m/s, and the force declines linearly with speed. This generator transfers about 80% of the kinetic energy dissipated by this braking force to the battery. The second system allows the person to slow the railcar by the friction of its wheels against a stationary surface in a manner similar to that of the brakes on an automobile. This system can generate a maximum braking force of 14,000 N. The rolling friction of the wheels and the internal friction between the wheels and axles contribute a continuous 1000 N decelerating force any time that the railcar is in motion.
If no braking occurs, a total of how much power would be required to keep the railcar moving at 40 m/s?
- A.16 kW
- B.40 kW
- C.600 kW
- D.800 kW
Solution: The correct answer is B.
- The work done by the friction force that tends to slow down the railcar is equal to the decelerating force multiplied by the constant speed, so 1000 N × 40 m/s = 40 kW. 16 kW is less than 40 kW required to keep the railcar moving at the constant speed of 40 m/s, therefore the railcar will not achieve the speed of 40 m/s.
- The power required must match the work done by the friction force that tends to slow down the railcar, which is equal to the decelerating force multiplied by the constant speed, so 1000 N × 40 m/s = 40 kW.
- The work done by the friction force that tends to slow down the railcar is equal to the decelerating force multiplied by the constant speed, so 1000 N × 40 m/s = 40 kW. 600 kW is more than 40 kW required to keep the railcar moving at the constant speed of 40 m/s, therefore the railcar would keep increasing its speed above 40 m/s.
- The work done by the friction force that tends to slow down the railcar is equal to the decelerating force multiplied by the constant speed, so 1000 N × 40 m/s = 40 kW. 800 kW far exceeds the 40 kW required to keep the railcar moving at the constant speed of 40 m/s and causes the railcar to increase its speed beyond 40 m/s.

Text: Engaging the generator to the wheels puts a decelerating force of 5000 N at 40 m/s, and the force declines linearly with speed.
This would mean that the line would look like ...
Solution: The correct answer is D.
- The constant slope of this graph indicates a constant deceleration, hence a constant decelerating force that does not depend on speed. However, the passage indicates that the decelerating force decreases linearly with speed.
- The speed cannot increase in time at a constant rate when the brake is engaged because it defies the purpose of braking.
- This graph suggests that an increasing power is supplied to the railcar, not taken away by the generator brake as indicated in the question.
- The speed of the car decreases in time such that the decelerating force declines linearly with speed, according to the passage. Because the decelerating force is directly proportional to the acceleration that causes the decrease in speed, it follows that the acceleration that causes the decrease in speed itself declines linearly with speed. Finally, because the acceleration that slows down the object is the rate of change of velocity, or the slope of the velocity vs. time graph, then the slope of the graph must decrease in time.
The relative thermodynamic stability of isomeric organic compounds can be inferred from which of the following types of experimental data?
- A.Boiling points
- B.UV–visible absorption spectra
- C.Mass spectroscopic fragmentation patterns
- D.Heats of combustion
Solution: The correct answer is D.
- The boiling points of isomeric compounds indicate their relative intermolecular forces but not their thermodynamic stability. This is because boiling points measure the energy required to overcome intermolecular forces, while thermodynamic stability measures the energy to break bonds within a molecule.
- UV-Visible absorption spectra can be used to determine the presence of functional groups in organic compounds as it is a measure of the energy of the photons that are absorbed by the compound. The energy of the absorbed photons is not directly related to the thermodynamic stability of the compound, as isomeric compounds may have different UV-Visible absorption spectra because of different functional groups.
- Mass spectroscopic fragmentation patterns can be used to infer the structure of an organic compound based on the mass-to-charge ratio but not the thermodynamic stability because it is not a direct measure of the energy of the compound.
- The heat of combustion of an organic compound is a measure of the energy released when the compound is combusted with oxygen. More stable isomeric compounds will have lower heats of combustion.

Solution: The correct answer is A.
- To perform this experiment, the tritium (T) label should not readily exchange by reacting with water. Only replacing the C–H bond with C–T works because the acidity/basicity is too low in water for proton–tritium exchange.
- Due to resonance stabilization of the conjugate base, this N–H bond is sufficiently acidic to allow for the N–T bond to undergo proton–tritium exchange in water. For tritium to remain in guanine to be detected in binding experiments, the tritium label must not be lost by proton–tritium exchange in water.
- Due to extensive conjugation on the nitrogen lone pair with pi bonds in the ring, these N–H bonds are sufficiently acidic to allow for the N–T bond to undergo proton–tritium exchange in water. For tritium to remain in guanine to be detected in binding experiments, the tritium label must not be lost by proton–tritium exchange in water.
- Due to the nitrogen lone pair resonating to C=O as well as C=N, this N–H bond is sufficiently acidic to allow for the N–T bond to undergo proton–tritium exchange in water. For tritium to remain in guanine to be detected in binding experiments, the tritium label must not be lost by proton–tritium exchange in water.
What is the relationship between wavelength and energy?
What is the conversion factor between nm and m?
Shorter wavelength, means more energy.
1 nm = 1 x 10^-9 m
The wavelength should be in meters (m) to ensure the units are consistent
1 m = 1x 10^9 nm
That the electric field is uniform between the electrodes means that the electric field lines:
- A.are more closely spaced at the positive electrode than at the negative one.
- B.intersect halfway between the electrodes.
- C.are more closely spaced at the negative electrode than at the positive one.
- D.are equally spaced at both electrodes and between them.

Solution: The correct answer is D.
- This implies the intensity of the electric field is higher at the positive electrode than at the negative one. However, the question states that the electric field is uniform, meaning the intensity is the same everywhere.
- Two or more electric field lines can intersect only at a location where an electric charge exists. There is no electric charge halfway between the electrodes.
- This implies the intensity of the electric field intensity is higher at the negative electrode than at the positive one. However, the question states that the electric field is uniform, meaning the intensity is the same everywhere.
- By definition, the electric field lines are equally spaced in a uniform field.
What is the total mass of D-glucose dissolved in a 2-μL aliquot of the solution used for this experiment?
- A.3.6 × 10–7 g
- B.1.4 × 10–4 g
- C.3.6 × 10–4 g
- D.1.4 × 10–1 g
Solution: The correct answer is B.
- This value is obtained if 72 g•L–1 is divided and not multiplied by 2.
- In the second paragraph, the glucose is supplied at a concentration of 72 g•L–1. If it is dissolved in a 2 μL aliquot, then the amount of glucose can be found by .
- If 72 g•L–1 is divided and not multiplied by 2 and the volume conversion factor is wrong, this value is obtained.
- This option is obtained if the conversion factor from μL to L was too large.
What is a hydrolase?
A hydrolase uses water to break a covalent bond in the substrate.
What is a transferase?
A transferase relocates a functional group from one substrate to another without changing the oxidation state of either substrate.
What is an isomerase?
An isomerase converts one substrate into a different constitutional isomer.
The glucose meter measures the current produced during Reaction 2. If 0.67 μmol of electrons were measured, what mass of glucose was present in the sample? (Note: The molar mass of glucose is 180 g/mol = 180 μg/μmol.)
- A.20 μg
- B.60 μg
- C.90 μg
- D.270 μg
Solution: The correct answer is B.
- This option is obtained if the mass of glucose is multiplied by the number of moles of electrons transferred twice for each electron transferred via 0.33 × 180 μg•μmol–1 × 0.33 = 20 μg, approximately 1/9 of the molar mass of glucose.
- If 0.67 μmol of electrons were measured, then 0.33 μmol of electrons were transferred. The mass of glucose can be calculated by multiplying the number of moles of electrons transferred by the molar mass of glucose via 0.33 μmol of electrons × 180 μg•μmol–1 to give 60 μg.
- If the molar mass of glucose was multiplied by 0.5 μmol instead of 0.33 μmol, this value is obtained.
- The value for this option would be obtained if the molar mass of glucose was divided by the number of electrons measured via 180 μg•μmol–1/ 0.67 μmol.

Text:
It measures the amount of Reaction 2, a two-electron oxidation, that takes place. Based on the total amount of Reaction 2 and the volume of the sample, the concentration of glucose can be measured and displayed.
What additional substance is necessary for Reaction 2 to take place?
- A.FAD
- B.NADH
- C.H2O
- D.Acetyl-CoA
Solution: The correct answer is A.
- Because D-glucose is oxidized in Reaction 2, a cofactor is necessary that acts as an oxidizing agent. Of the options provided, only FAD is an oxidizing agent. It will remove two hydrogen atoms from D-glucose to form D-gluconolactone and FADH2.
- The cofactor required in Reaction 2 is an oxidizing agent. NADH is a reducing agent.
- Reaction 2 is not a hydrolysis reaction, so water is not necessary.
- Acetyl-CoA transfers acetyl groups to substrates. Because D-glucose does not receive an acetyl group when it forms D-gluconolactone, acetyl-CoA is not needed.
What are the common oxidizing agents?
FAD, NAD+
What are the common reducing agents?
FADH2, NADH
The pH of a 1 L phosphate buffer solution was measured as 7.6, but the experimental procedure calls for a pH 7.2 buffer. Which method will adjust the solution to the proper pH? (Note: The pK a values for phosphoric acid are 2.2, 7.2, and 12.3.)
- A.Add enough 1 M Na2HPO3 to increase the phosphate anion concentration ten-fold.
- B.Add 1 M NaOH to neutralize a portion of the hydronium ions found in the solution.
- C.Alter the ratio of monosodium/disodium phosphate added to favor the monosodium species.
- D.Add 100 mL distilled, deionized water to dilute the basicity of the buffer.
Solution: The correct answer is C.
- If more Na2HPO3 is added, then the pH will go up, not down. According to the Henderson Hasselbalch equation, pH = pK a + log [base]/[acid] and when the concentration of the base increases, the log [base]/[acid] value increases, which in turn will increase the pH.
- If NaOH is added to the solution, the pH will increase, not decrease, as it is a strong base.
- The ratio of the [Na2HPO4]/[NaH2PO4] must be altered to obtain a ratio that will decrease the pH of the solution. In this instance, pH should equal pK a, so the pH needs to be decreased by adding more of the acidic buffer component.
- Adding 100 mL of distilled water will not change the relative concentrations of the acid or conjugate base, and thus will not change the [base]/[acid] ratio.
What is loss when a peptide bond forms?
A water molecule (18 amu)
Which experimental condition is NOT necessary to achieve reliable data for Michaelis–Menten enzyme kinetics?
- A.Initial velocity is measured under steady state conditions.
- B.Solution pH remains constant at all substrate concentrations.
- C.The concentration of enzyme is lower than that of substrate.
- D.The reaction is allowed to reach equilibrium before measurements are taken.
Solution: The correct answer is D.
- Without steady state conditions, the assumptions that underlie Michaelis–Menten enzyme kinetics fail.
- The solution pH must remain constant or the data will be a mixture of V o versus [S]o at different pH values, preventing determination of K M and V max at a fixed pH. Only near initial time is the [S] approximately [S]o and then the reaction rate is a good estimate of V o.
- The concentration of enzyme must be lower than that of substrate, otherwise V max cannot be obtained in a plot of V o versus [S]o. Only near initial time is the [S] approximately [S]o and then the reaction rate is a good estimate of V o.
- Once the reaction reaches equilibrium, measurement of the initial rate (V o) will be impossible, and Michaelis–Menten enzyme kinetics data is a plot of V o versus [S]o. Only near initial time is the [S] approximately [S]o and then the reaction rate is a good estimate of V o.
Text:
Researchers studied the kinetics of SidA-catalyzed Reaction 1. They discovered that the reaction proceeds in two steps. In the first step, NADPH reacts with FAD to form NADP+ and FADH–. FADH– quickly reacts with O2 and H+ to form FADH–OOH. This step is pH-independent and occurs at the same rate regardless of which, if any, substance occupies the active site. At this point, FADH–OOH either hydroxylates Compound 1 or decomposes nonproductively to form H2O2 if any other substance (such as L-lysine) occupies the active site. The pH dependence of the second step, which regenerates FAD, was investigated (Figure 1).
What is the balanced equation for the nonproductive reaction when lysine is the substrate?
- A.H+ + NADPH + O2 → NADP+ + H2O2
- B.2H+ + O2 → H2O2
- C.FAD + NADPH + H+ → FADH2 + NADP+
- D.2H2O + O2 → 2H2O2
Solution: The correct answer is A.
- In the nonproductive reaction, although it is used in the elementary steps of the reaction mechanism, FAD is a regenerated cofactor (not in the balanced equation). Overall, NADPH is oxidized to NADP+ is reduced to H2O2.
- The substrate NADPH and product NADP+ are missing, and the charges are not balanced.
- FAD is a regenerated cofactor; there is no net formation of FADH2. Also, this reaction does not show O2 as a reactant or H2O2 as a product.
- Water is not a reactant in the nonproductive reaction, and both the reactant NADPH and the product NADP+ are missing.
What does acetylation refer to?
Acetylation refers to the process of adding an acetyl group (–COCH₃) to a molecule, typically to a protein or other organic compound.

What is the identity of the substance that has undergone net reduction after the Reaction 1 is complete?
- A.NADP+
- B.FAD
- C.H2O2
- D.O2
Solution: The correct answer is D.
- NADP+ is a product of the net oxidation of NADPH.
- Although FAD is reduced to FADH2 at one stage in the elementary steps of Reaction 1, this cofactor is regenerated, so there is no net reduction.
- This is not a reactant in Reaction 1.
- Because O2 is converted to H2O in Reaction 1, there is a net reduction because the oxidation state of oxygen in O2 is 0 and in H2O it is –2.
If an amino acid has a side chain that has an amine, which can be protonated in water, these are _______
basic.
Text: The substrate binding site of HRP interacts with aromatic rings of incoming substrates. HRP catalyzes the oxidation of aromatic amines and phenols. The oxidation occurs at the ring substituent.
The side chain of which amino acid is most likely to be a substrate for HRP?
- A.Lys
- B.Leu
- C.Tyr
- D.Gln
Solution: The correct answer is C.
- Lysine (Lys) has an amine in its side chain, not a phenol or aniline.
- Leucine (Leu) has an isobutyl side chain, not a phenol or aniline.
- HRP oxidizes the side chain of a phenol to a radical, and tyrosine (Tyr) has a phenol in its side chain.
- Glutamine (Gln) has an amide side chain, not a phenol or aniline.
Which atom is most likely involved in the coordination of calcium ions found in HRP?
- A.Hydrogen
- B.Carbon
- C.Nitrogen
- D.Oxygen
- A hydrogen atom does not have a lone pair and thus cannot act as a Lewis base, which is essential for coordinating calcium ion.
- A carbon atom does not have a lone pair and thus cannot act as a Lewis base, which is essential for coordinating calcium ion.
- Although the nitrogen atom in the peptide backbone is a Lewis base, it has a partially positive charge due to resonance, and is thus less likely to coordinate calcium ions.
- An atom must be a Lewis base to coordinate to calcium ions, and oxygen is the only Lewis basic atom present in the side chains or backbones of the listed amino acids that has either a partially negative charge (in the peptide backbone or Ser side chain) or a negative charge (in the Asp side chain). The only other Lewis basic atom present is nitrogen, which has a partially positive chain in the peptide backbone due to resonance and is thus less likely to coordinate calcium ions.

Solution: The correct answer is A.
- The HRP cofactor is heme, which contains a porphyrin ring. Porphyrin is composed of four pyrroles, which are five-membered rings containing one nitrogen atom.
- Although the porphyrin ring in the heme cofactor of HRP has four five-membered rings, each of these rings contains one nitrogen atom.
- Although the porphyrin ring in the heme cofactor of HRP has four rings, each containing one nitrogen atom, these rings are five-membered.
- The porphyrin ring in the heme cofactor of HRP has four five-membered rings, each of these rings contains one nitrogen atom. There are no six-membered carbocyclic rings in porphyrin.
What is the relationship between electrical conductivity and resistivity?

Text: The best-performing PANI had a maximum conductivity of 5.0 × 10–3 (Ω∙cm)–1.
What is the resistivity of the best-performing PANI described in the passage?
- A.0.002 Ω•cm
- B.50 Ω•cm
- C.200 Ω•cm
- D.500 Ω•cm
Solution: The correct answer is C.
- Given that resistivity is the inverse of the conductivity, a resistivity of 0.002 Ω•cm implies a conductivity of whereas the passage states that the best performing PANI had a conductivity of 5.0 × 10−3 (Ω ∙cm)−1.
- Resistivity is the inverse of conductivity. Resistivity of 50 Ω •cm implies a conductivity of whereas the passage states that the best performing PANI had a conductivity of 5.0 × 10−3 (Ω ∙cm)−1.
- The best performing PANI had a conductivity of 5.0 × 10−3 (Ω ∙cm)−1. Resistivity is the inverse of the conductivity, that is .
- A resistivity of 500 Ω ∙cm corresponds to a conductivity of , whereas the best performing PANI had a conductivity of 5.0 × 10−3 (Ω ∙cm)−1, according to the passage.
TEXT: In mammalian cells, iMs have been shown to be subject to two epigenetic modifications: methylation and hydroxymethylation. It is possible that the presence of 5-methylcytosine (5mC) or 5-hydroxymethylcytosine (5hmC) within a C-rich DNA sequence can affect iM stability.
Which two classes of enzymes are needed in the two-step conversion of cytosine to 5hmC?
- A.Transferase and oxidoreductase
- B.Hydrolase and ligase
- C.Oxidoreductase and hydrolase
- D.Transferase and ligase
Solution: The correct answer is A.
- To convert cytosine to 5hmC in two steps, first a methyltransferase is needed to place a 5-methyl group on cytosine and then an oxidoreductase is needed to oxidize 5-methyl to 5-hydroxymethyl.
- A hydrolase uses water to break a covalent bond, and a ligase uses ATP to connect two substrates together. Neither of these reactions are involved in the conversion of cytosine to 5hmC.
- Although an oxidoreductase is essential for the second step, the oxidation of 5-methylcytosine to 5hmC, the first step is not a reaction involving water breaking a covalent bond and therefore does not utilize a hydrolase.
- Although the first step is a transferase catalyzing the transfer of a methyl group from one substrate to cytosine, forming 5-methylcytosine, the second step is an oxidation, not a ligation.
The conversion can be seen as follows:
CH₃ (methyl) → CH₂OH (hydroxymethyl)
This change adds a hydroxyl group (-OH) to the methyl group, turning it into a hydroxymethyl group.
In terms of chemistry, this could happen in a reaction where a methyl group is oxidized or undergoes a substitution to form a hydroxymethyl group.
Based on the information in the passage and in Figure 1, what effect does epigenetic modification have on iM pH-dependent denaturation?
- A.Both methylation and hydroxymethylation result in significantly decreased stability because cytosine is more readily deprotonated.
- B.Both methylation and hydroxymethylation result in significantly decreased stability because cytosine is more readily protonated.
- C.Only hydroxymethylation results in significantly decreased stability because cytosine is more readily deprotonated.
- D.Only hydroxymethylation results in significantly decreased stability because cytosine is more readily protonated.
Solution: The correct answer is C.
- Although it is true that 5hmC-WT has decreased stability because it is more readily deprotonated due to its lower pK, 5-mC-WT does not have significantly decreased stability compared to WT.
- Although it is true that, with a slightly larger pK, 5mC-WT is more readily protonated than WT, 5mC-WT has very similar pH stability to WT. Also, 5hmC-WT has decreased stability because it is more readily deprotonated due to its lower pK.
- Because 5hmC-WT has the lowest pK, 5-hydroxymethylcytosine is more readily deprotonated, and because 5hmC-WT also has the lowest stability as pH increases, this decreased stability is due to how easily 5-hydroxymethylcytosine is deprotonated.
- Although hydroxymethylation results in significantly decreased stability, it is because it is more readily deprotonated (lowest pK), not protonated.
What is circular dichroism spectroscopy used for?
CD is particularly useful for:
- Determining the secondary structure of proteins: For example, it can distinguish between alpha-helices, beta-sheets, and random coils in proteins.
- Studying protein folding: It helps understand how proteins fold into their functional 3D structures.
- Analyzing chiral molecules: In addition to biological molecules, CD is used to analyze the structure of chiral chemicals.
When pH is less than pI, particles are _____ charged.
positively charged
A common column material used in size-exclusion chromatography is dextran, a polysaccharide of glucose. Which type of interaction most likely occurs between proteins and the dextran column material?
- A.Aromatic
- B.Hydrophobic
- C.Salt bridge
- D.Hydrogen bonding
Solution: The correct answer is D.
- Dextran has no aromatic rings in its structure to form aromatic interactions (pi stacking) with proteins.
- Dextran is a polysaccharide; thus, it is hydrophilic, not hydrophobic.
- Dextran has no charged groups in its structure, therefore it cannot form a salt bridge with a protein.
- Because dextran is a polysaccharide, it has numerous hydroxyl groups that will hydrogen bond to the peptide backbone of proteins.
Which of the following properties of a 2.3 MHz ultrasound wave remains unchanged as it passes into human tissues?
- A.Frequency
- B.Wave speed
- C.Amplitude
- D.Wavelength
Solution: The correct answer is A.
- The frequency of a wave is a characteristic of the wave source, not of the medium surrounding the source. Therefore, frequency is not changed by the medium through which the wave propagates.
- The wave speed depends on the properties of the medium in which the wave propagates, therefore it would change if the medium changes.
- The wave amplitude depends on the properties of the medium in which the wave propagates according to the phenomenon of attenuation, therefore it would change if the medium changes.
- The wavelength is the ratio of the wave speed and wave frequency. As the speed depends on the properties of the medium in which the wave propagates, wavelength would change if the medium changes.
Assume that in the study with the rat tissues, fluid flows at a speed of 0.30 mm/s through a typical capillary opening caused by a burst microbubble. Given this, which of the following is closest to the volume flow rate of fluid passing through the opening?
- A.4.5 × 106 μm3/s
- B.7.5 × 106 μm3/s
- C.1.2 × 107 μm3/s
- D.4.5 × 107 μm3/s
Solution: The correct answer is B.
- This numerical value is consistent with the calculation 1.5 × 104μm2 × 0.30 mm/s.
- The volume flow rate is given by the expression cross-sectional area of the tube multiplied by the flow speed = 2.5 × 104 μm2 × 0.30 mm/s = 7.5 × 106 μm3/s.
- This numerical value is consistent with the calculation 4.0 × 104 μm2 × 0.30 mm/s.
- This volume flow rate is consistent with the calculation 15 × 104 μm2 × 0.30 mm/s.
The volume flow rate (Q) is given what expression?
Q = A x v
- Q is the volume flow rate,
- A is the cross-sectional area of the opening,
- v is the fluid velocity.
What are the different two expressions used for turbulent flow and laminar flow?
For laminar flow (where fluid flows smoothly in layers, typically at low velocities), you may encounter Poiseuille's Law or the general expression.
For turbulent flow (where the flow is chaotic, typically at higher velocities), the flow rate can still be expressed using the basic formula Q=A⋅vQ = A \cdot vQ=A⋅v, but the velocity profile and other factors (such as friction factors) become more complex.
Given that the speed of sound in the rat tissues was 1500 m/s, the wavelength of the ultrasound wave used in the study was closest to:
- A.34.5 mm.
- B.6.5 mm.
- C.1.5 mm.
- D.0.65 mm.
Solution: The correct answer is D.
- This value is consistent with the multiplication 15 × 2.3 = 34.5 and the arbitrary assigning of the units mm.
- This is consistent with using the incorrect frequency of 0.23 MHz in the calculation (1500 m/s)/(0.23 MHz).
- This is consistent with the calculation (1500 m/s)/(1.0 MHz).
- The wavelength is given by the expression (1500 m/s)/(2.3 MHz) = 0.65 mm.
What formula is also used to find frequency?
f = c / wavelength
wavelength = c / frequency
1 MHz (Mega) = _______ Hz
1,000,000 Hz

Solution: The correct answer is B.
- The question states that v is the flow speed in the capillary bed, and the response option uses u for the speed of flow in the capillary bed, therefore the continuity equation is A × v = n × a × u. This response incorrectly uses u as the flow speed in the blood vessel of cross-sectional area A and v as the flow speed in the capillary bed.
- According to the continuity equation, if u is the speed of flow in the capillary bed, then A × v = n × a × u, so u = A × v/(n × a).
- This response fails to take into account the number of capillaries n and therefore implies there is only one capillary.
- This response transposes the position of A and a, when using the continuity equation. This would only be correct if a capillary has cross-sectional area A and the blood vessel has cross-sectional area a. This is contrary to the information presented in the question.
If the reaction is spontaneous, K will be
greater than 1...
- When a reaction is spontaneous, ΔG will be negative. This is because ΔG = –RTlnK, and K must be greater than 1. This indicates that the forward reaction and the resulting products are preferable to the reverse reaction.
- When K is less than 1, the reactants are favored at equilibrium and ΔG would be greater than zero. Therefore, the reaction would be nonspontaneous based on the equation ΔG = –RTlnK.

Solution: The correct answer is C.
- This implies the atmospheric pressure is 104 N/m2 instead of 105 N/m2 as given in the question.
- This implies the gravitational acceleration is 20 m/s2 instead of 10 m/s2.
- The water will rise to a height such that the weight (mass multiplied by gravitational acceleration) of the water column equals the atmospheric pressure multiplied by the tube cross-sectional area A. Because mass is density times volume, it follows that 103 kg/m3 × h × A × 10 m/s2 = 105 N/m2 × A, where h is the height sought. Solving for h yields h = (105 N/m2)/(104 N/m3 ) = 10 m.
- This implies the water density is 500 kg/m3 instead of 103 kg/m3 as given in the question.
Which of the following is a second period element that is a covalent network solid in its standard state?
- A.Carbon
- B.Phosphorous
- C.Oxygen
- D.Iodine
Solution: The correct answer is A.
- Carbon has several allotropes in its standard state, such as diamond and graphite. These are covalent network solids that contain strong covalent bonds.
- Phosphorus is an element in the third period of the periodic table, not the second period.
- While oxygen is a second period element, it exists as a diatomic gas in its standard state.
- Iodine is an element found in the fifth period, not the second.
Which of the following animal pairs best illustrates the outcome of convergent evolution?
A.The dolphin and the shark
B.The domestic sheep and the mountain goat
C.The polar bear and the panda bear
D.The light-colored and the dark-colored forms of the peppered moth
Solution: The correct answer is A.
- Convergent evolution is defined as a process whereby distantly related organisms independently evolve similar traits to adapt to similar needs. Dolphins and sharks are genetically different, the dolphin being a mammal and the shark being a fish. Both of them, however, have developed similar structures to be able to survive in a similar environment.
- The domestic sheep and the mountain goat are both mammals and they live in different environments, thus they have developed slightly different features to survive.
- Polar bears and panda bears are both mammals and live in different environments, thus they have developed different anatomical structures to survive.
- Light-colored and dark-colored moths belong to the same species, thus the concept of convergent evolution does not apply in this case.
What are lyases
- Lyases are enzymes that do not break chemical bonds with hydrolysis and oxidation, but they rather form double bonds or ring structures. Thus, lyases do not break molecules.
What are hydrolases?
Hydrolases cleave bonds using water, like proteases cleave peptide bonds using water.
Which type of catalytic activity is most likely missing from cFLIP?
A.Oxidoreductase activity
B. Lyase
C. Isomerase
D. Hydrolase
Solution: The correct answer is D.
- Oxidoreductases are responsible for the transfer of electrons or protons from one molecule to another; they do not possess catalytic activities to break molecules.
- Lyases are enzymes that do not break chemical bonds with hydrolysis and oxidation, but they rather form double bonds or ring structures. Thus, lyases do not break molecules.
- Isomerases convert a molecule from one isomer to the other; they do not break molecules.
- According to the passage, cFLIP is a homologue of caspase-8 which is a protease. However, cFLIP lacks catalytic activity. Therefore, cFLIP lacks hydrolase activity that is exhibited by caspase-8.
The transcript produced in an operon (or prokaryotes) DOES NOT undergo alternative splicing. Transcription and translation occur at the same time. ____________ is a marker of eukaryotic transription.
Alternative splicing
Prokaryotes - a single mRNA transcribed from a single promoter sequence within the operon.
Eukaryotes produce seperate mRNA transcripts for different genes. These are known as _____. E. lenta is a prokaryote and produces ________
monocistronic mRNA transcripts
polycistronic mRNA.
Which action(s) could contribute to the positive inotropic effect of digoxin on cardiac myocytes?
- Decrease transport of Ca2+ to the extracellular environment.
- Increase availability of intracellular Ca2+ to bind to troponin.
- Increase overall Ca2+ stores in the sarcoplasmic reticulum.
Solution: The correct answer is D.
- Intracellular Ca2+ levels are critical for muscle contraction. However, decreasing the transport of Ca2+ to the extracellular environment and increasing Ca2+ storage in the cell will also contribute to having more Ca2+ intracellularly.
- Increasing the overall Ca2+ storage in the sarcoplasmic reticulum is not the only mechanism to increase intracellular Ca2+ levels.
- Decreasing the transport of Ca2+ to the extracellular environment and increasing the availability of intracellular Ca2+ to bind to troponin are not the only mechanisms that will result in more calcium availability of the cell.
- The ionotropic effect of digoxin on cardiac myocytes is most likely due to an increase in intracellular Ca2+ levels. All three mechanisms listed will result in higher levels of intracellular Ca2+.
What is primary vs. secondary active transport?
- TPase is an example of primary active transport by using ATP to move solutes against their concentration gradients.
- Secondary active transport is a transport mechanism by which the cell uses the energy of a molecule moving down its concentration gradient to power the movement of a separate molecule against its concentration gradient. Na+K+ ATPase does not use this mechanism to perform work.
Target: Butyrate exerts its function by inhibiting histone deacetylases (HDACs), which counter the effects of histone acetyltransferases (HATs) in controlling chromatin structure in histone and non-histone proteins. HDACs and HATs modify basic residues on target proteins.
HDACs change chromatin by:
- A.decreasing its coiling and promoting DNA replication.
- B.increasing its condensation and inhibiting transcription.
- C.decreasing charge repulsion between acetyl groups, which increases transcription.
- D.loosening the attachment of DNA to nucleosome core particles.
Solution: The correct answer is B.
- Removal of acetylation would increase, not decrease, coiling. This would inhibit, not promote, DNA replication.
- Removal of acetyl groups from lysines in the histones increases its positive charge, thus increasing the interaction between the histone and the DNA, which is negatively charged.
- HDAC works by removing acetyl groups. As a result, there will be a stronger interaction between histones and DNA, thus inhibiting transcription.
- The action of HDAC will increase, rather than loosen, the interaction between DNA and nucleosomes.
If HDAC inhibition by βOHB is a physiological response in living animals, the information in the passage indicates it is likely to occur when:
- A.there is sustained fatty acid oxidation.
- B.the pentose phosphate shunt is activated.
- C.there is increased gluconeogenesis.
- D.the Cori cycle is occurring.
Solution: The correct answer is A.
- Because βHOB is a component of ketone bodies and ketone bodies are generated from sustained oxidation of fatty acids, it follows that the βHOB-mediated inhibition of HDAC is associated with sustained oxidation of fatty acids.
- The pentose phosphate shunt is used for production of several macromolecules such as amino acids, fatty acids, and nucleotides, but not βHOB.
- Gluconeogenesis is a pathway that generates glucose, not βHOB.
- The Cori cycle is a pathway that uses lactic acid to generate glucose, not ketone bodies such as βHOB.
The average osmotic pressure of ocean water is 28 atm corresponding to a concentration of 0.50 M solutes (approximated as NaCl). What is the approximate concentration of solutes (also approximated as NaCl) present in blood with an osmotic pressure of 7 atm?
- A.0.12 M
- B.0.25 M
- C.2.0 M
- D.3.5 M
Solution: The correct answer is A.
- Osmotic pressure is directly proportional to solute concentration. This means that since the osmotic pressure of blood is approximately ¼ of the osmotic pressure of ocean water, the solute concentration will be ¼ × 0.50 M = 0.12 M.
- This would be the solute concentration if the osmotic pressure of blood was 14 atm.
- Since osmotic pressure is directly proportional to solute concentration, lower osmotic pressure in blood should result in a lower, not higher, solute concentration.
- This concentration is obtained if the osmotic pressure of blood is multiplied by the solute concentration in ocean water rather than approximately ¼ of the osmotic pressure of ocean water.
Text: HIF is a nuclear factor that specifically binds to a CCCCGGGC target sequence.
Which type(s) of restriction enzyme(s) can recognize the HIF binding sequence? A restriction enzyme that has:
- a four-base recognition sequence
- a six-base recognition sequence
- an eight-base recognition sequence
- A.I only
- B.II only
- C.III only
- D.I and II only
The palindrome has to be:
sequence = reverse of the
complement sequence
- A.I only
- B.II only
- C.III only
- D.I and II only
Restriction enzymes recognize specific sequences such as ________
palindromes
For example:
5' - GAATTC - 3'
3' - CTTAAG - 5'
in DNA, a palindrome isn’t exactly the same as in regular words, but it still follows a similar concept! A palindromic DNA sequence is one where the sequence of nucleotides reads the same on both strands when read in the 5' to 3' direction on one strand and 3' to 5' on the complementary strand.
This is the recognition sequence for the restriction enzyme EcoRI, which cuts between G and A. These sequences are important in molecular biology, especially in genetic engineering and restriction enzyme activity!
Text: In addition to its role as a citric acid cycle intermediate, succinate functions as an oxygen sensor in the cell and regulates the activation of several important genes involved in cell division and the formation of new blood vessels in hypoxic environments. In this function, succinate modulates the level of hypoxia-inducible factor (HIF) by competitively inhibiting HIF hydroxylase, an enzyme that modifies HIF on specific amino acid residues and targets it for degradation. HIF is a nuclear factor that specifically binds to a CCCCGGGC target sequence.
Overexpression of which enzyme is likely to result in increased levels of HIF?
- A.Succinyl decarboxylase
- B.Succinyl-CoA synthetase
- C.Succinate dehydrogenase
- D.Succinate carboxylase
Solution: The correct answer is B.
- Succinyl-CoA synthetase, not succinyl decarboxylase, is the enzyme responsible for increased production of succinate and hence increased levels of HIF. Decarboxylases are responsible for the loss of a carboxylic acid group, creating carbon dioxide and an alkyl group.
- The passage notes that succinate is a positive regulator of HIF levels. Overexpression of succinyl-CoA synthetase results in increased production of succinate and increased HIF levels.
- Succinate dehydrogenase is the enzyme responsible for conversion of succinate to fumarate. Therefore, its overexpression would result in decreased, not increased, succinate and HIF levels.
- Succinyl-CoA synthetase, not succinyl carboxylase is the enzyme that converts succinyl-CoA to succinate thus increasing HIF levels. Carboxylases are responsible for addition of carbon dioxide molecules to substrates.
Which statement best accounts for the hereditary transmission of SDH-linked paraganglioma in a parent specific manner? SDH is:
- A.an imprinted gene.
- B.a Y-linked gene.
- C.an X-linked gene.
- D.a tumor suppressor gene.
Solution: The correct answer is A.
- Parent-specific transmission of traits are due to gene imprinting, which is an epigenetic process.
- Since the passage indicates that both parents can transmit the mutated SDH gene, this hereditary transmission cannot be Y-linked.
- Since the passage indicates that only paternal transmission of the gene segregates with paraganglioma, it follows that this hereditary transmission cannot be X-linked as males only transmit their X chromosomes to their daughters and not to their sons. That is, if this hereditary transmission was X-linked, only female progenies would be affected.
- Tumor suppressor genes are not involved in parent-specific genetic transmissions.
What is an imprinted gene?
An imprinted gene is a gene where only one allele is expressed, while the other is silenced based on whether it was inherited from the mother or the father. This happens due to epigenetic modifications (like DNA methylation) that tag the gene during gamete formation.
Assuming that protein synthesis was under way when the radioactive amino acids were added, which of the following best describes how the radioactivity was distributed in one of the first molecules of Protein X that was completely translated?
- A.Radioactive amino acids were randomly located throughout the molecule.
- B.Radioactive amino acids were located only at one end of the molecule.
- C.Radioactive amino acids were located at both ends, but not in the middle, of the molecule.
- D.Radioactive amino acids were located in the middle, but not at either end, of the molecule.
Solution: The correct answer is B.
- The amino acids would have been located randomly if the radioactive amino acids were added before the beginning of protein synthesis.
- The radioactive amino acids were added while protein synthesis was occurring; these radioactive amino acids were only able to incorporate into the C-terminal of the protein.
- Radioactive amino acids were added to the flask while protein synthesis was occurring. Therefore, the radiolabeled amino acids would incorporate only into the C-terminal end and possibly the middle of the protein, not the N-terminal end.
- Because the radiolabeled amino acids were added while protein synthesis was already occurring, these radiolabeled amino acids would most likely be incorporated at the end of the protein (C-terminal) and possibly in the middle.
Certain viruses contain RNA as their genetic material. One of the ways these RNA viruses replicate themselves is to:
- A.code for or carry a transcriptase that copies viral RNA.
- B.infect microorganisms possessing RNA as their genetic material.
- C.alter the host cell’s polymerase in order to synthesize progeny viral RNA from the viral RNA template.
- D.stimulate the transcription of specific sequences of the host’s DNA, which, in turn, direct the assembly of viral particles.
Solution: The correct answer is A.
- RNA viruses require a type of transcriptase (reverse transcriptase) to replicate themselves.
- Only viruses have RNA as genetic material. Microorganisms contain DNA as their genetic material.
- Viruses can use the host cell polymerases, but they do not need to alter them.
- This mechanism is unknown, but it is more likely that proteins, rather than RNA, could direct the assembly of viral particles.
Large amounts of protein are found in the urine of a patient. Based on this information, which portion of the nephron is most likely malfunctioning?
- A.Collecting duct
- B.Distal tubule
- C.Glomerulus
- D.Loop of Henle
Solution: The correct answer is C.
- The collecting duct is not involved in protein reabsorption. Furthermore, the collecting duct is not part of the nephron.
- The distal tubule is involved in reabsorbing solutes and water from the filtrate. The distal tubule does not influence whether proteins enter the filtrate.
- The glomerulus is the portion of the nephron that will filter the circulating proteins. In the glomerulus, small structures called fenestrae will allow molecules smaller than the protein albumin to pass into the filtrate while proteins, and also other bigger molecules, are retained in the blood. Thus, normally, proteins should not be part of the filtrate and, as such, the presence of protein in the blood indicates glomerular dysfunction.
- In the loop of Henle, only ions and water are reabsorbed, not proteins.
What are goblet cells?
- Goblet cells are specialized epithelial cells that produce mucus in the respiratory tract and pneumocytes II are another type of specialized epithelial cells that produce surfactant in the lungs.

A drug that inhibits the activity of which of the following enzymes would be most likely to relieve depression in some people, assuming the chemical reactions in Figure 1 are irreversible?
- A.Aldehyde dehydrogenase
- B.Monoamine oxidase A
- C.L-Aromatic amino acid carboxylase
- D.Tryptophan-5-hydroxylase
Solution: The correct answer is B.
- Aldehyde dehydrogenase acts after monoamine oxidase, which is the first enzyme that metabolizes serotonin.
- Monoamine oxidase is the first enzyme that metabolizes serotonin, thus if the action of this enzyme is inhibited, the availability of serotonin will increase.
- Inhibition of L-aromatic amino acid carboxylase would result in a decrease, not an increase, of serotonin.
- Inhibition of tryptophan-5-hydroxylase results in a decrease in serotonin production and thus will exacerbate, rather than relieve, depression.
One consequence of advanced malnutrition is reduced amounts of plasma proteins in the blood. This condition would most likely cause the osmotic pressure of the blood to:
- A.decrease, resulting in a decrease of fluid in the body tissues.
- B.increase, resulting in a decrease of fluid in the body tissues.
- C.decrease, resulting in an increase of fluid in the body tissues.
- D.increase, resulting in an increase of fluid in the body tissues.
Solution: The correct answer is C.
- If the levels of circulatory proteins decrease, the osmotic pressure of blood also decreases. This will also result in an increase, not a decrease, of fluid in the body tissues.
- Lower levels of protein in the blood will cause a decrease, not an increase, of blood osmotic pressure.
- Reduced circulatory protein levels will result in a decreased blood osmotic pressure. If the blood osmotic pressure decreases to be lower than the fluid located in the body tissues, there will be more liquid leaving the blood to compensate for the higher levels of solute in the tissue fluid.
- If the levels of circulatory proteins decrease, blood osmotic pressure also decreases.
What is the difference between hydrostatic and osmotic pressure?
Osmotic pressure is the sucking force that pulls fluid into the vessels. If the osmotic pressure decreases, the hydrostatic pressure will force fluid out of the vessel without a return back into the vessel at the veinus end
- Hydrostatic Pressure:
- Think of it as the pushing force exerted by a fluid against a barrier.
- In blood vessels, it's the pressure that pushes water out of the capillaries into the surrounding tissue.
- Example: Blood pressure generated by the heart that forces fluid out of capillaries at the arterial end.
- Osmotic Pressure:
- This is the pulling force created by solutes (like proteins) that draw water into a compartment.
- In blood vessels, plasma proteins (like albumin) create osmotic pressure to pull water back into capillaries from the tissues.
- Example: Oncotic pressure (a type of osmotic pressure) pulls water back into the bloodstream at the venous end of capillaries.
Which series shows the order in which filtrate passes through the tubular regions of a nephron?
- A.Bowman’s capsule → loop of Henle → proximal tubule → distal tubule → collecting duct
- B.Proximal tubule → collecting duct → loop of Henle → Bowman’s capsule → distal tubule
- C.Collecting duct → Bowman’s capsule → loop of Henle → proximal tubule → distal tubule
- D.Bowman’s capsule → proximal tubule → loop of Henle → distal tubule → collecting duct
Solution: The correct answer is D.
- The loop of Henle comes after the proximal tubule and before the distal tubule. The collecting duct is positioned after the distal tubule.
- The Bowman’s capsule is the first location where filtrate enters the nephron, followed by proximal tubule, loop of Henle, and distal tubule. The collecting duct follows the distal tubule.
- The collecting duct comes after the glomerulus, proximal tubule, loop of Henle, and distal tubule.
- This is the correct flow of the filtrate: glomerulus, proximal tubule, loop of Henle, distal tubule, and then collecting duct.
A researcher attempts to replicate studies 1 and 2 with a group of 5-year-olds by using simplified versions of the games. Which cognitive limitation is most likely to inhibit the participants’ performance on the dependent variables?
- A.Lack of object permanence
- B.Limited understanding of conservation
- C.Centration
- D.Egocentrism
Solution: The correct answer is D.
- The dependent variables in the studies were participants’ success rates in the war/social coalition games. Object permanence refers to an understanding that objects continue to exist even when they are out of view. This is not relevant to the dependent variables in the studies. Furthermore, object permanence is typically achieved by 8 months of age, and thus would not be a cognitive limitation for 5-year-olds.
- Conservation refers to an understanding that physical quantities (such as volume or mass) remain the same even if their appearance changes. Although Piaget would predict that 5-year-olds would have limited understanding of conservation, this is not relevant to the dependent variables of the studies.
- Centration refers to the tendency to focus on just one feature of a problem, neglecting other important aspects. Given that researchers used a simplified, age-appropriate version of the games, this is less likely to be relevant to participants’ performance on the dependent variables.
- According to Piaget’s theory of cognitive development, five-year-olds are in the preoperational stage of development, in which they are presumed to be limited by egocentrism (viewing the world only from their own perspective). This limitation is likely to interfere with performance on the tasks in studies 1 and 2, both of which require some degree of perspective taking.
What is centration?
(Pre-Operational) Centration refers to the tendency to focus on just one feature of a problem, neglecting other important aspects.
Centration is a concept from Piaget’s theory of cognitive development, specifically in the preoperational stage (ages 2-7). It refers to a child's tendency to focus on only one aspect of a situation while ignoring other important factors.
Example:
Imagine a child is shown two glasses of water—one tall and skinny, the other short and wide—both containing the same amount of water. A child displaying centration might only focus on height and believe the taller glass has more water, completely ignoring the width.
Centration is why young kids struggle with conservation tasks (realizing quantity remains the same despite changes in shape or appearance). Over time, as they develop decentration, they learn to consider multiple aspects of a situation at once!
In what stage, are kids egocentric?
- Preoperational Stage (2-7 years) → Kids are highly egocentric, meaning they struggle to see things from others' perspectives. Example: A child assumes you see exactly what they see, even if you’re on the other side of a table.
- Concrete Operational Stage (7-11 years) → Egocentrism declines as kids develop theory of mind and understand that others have different thoughts, feelings, and viewpoints.
Text:In Study 2, participants described how they had heard about a disaster one day after it had occurred. They answered specific questions about key details. Two-and-a-half years later, the memories of nearly half of those participants were reassessed. Each participant’s second account was compared with his or her first account. Consistency across the two reports was used as a measure of accuracy. Although participants expressed confidence in the accuracy of their second accounts, there were many discrepancies. Only three participants provided the same account on both occasions, and 25% were wrong about every key detail. Half of the participants got one key detail right (for example, who told them), while getting all the others wrong. In addition to omission errors, such as failing to report something that was said, many of the errors were intrusions, such as a detail that was consistent with the situation but missing from the initial report.
Which statement is the most reasonable explanation for the observation of intrusion errors in Study 2?
- A.False information was encoded.
- B.Memory is prospective.
- C.Memory is reconstructive.
- D.Repressed information was retrieved.
Solution: The correct answer is C.
- The passage states, “In addition to omission errors, such as failing to report something that was said, many of the errors were intrusions, such as a detail that was consistent with the situation but missing from the initial report.” This does not support false information being encoded, given the details were accurate.
- Memory for this event is unlikely to have been shaped by expectations of what was going to happen in the future.
- Intrusions of false information into episodic memories of events (referred to as false memories) that are consistent with the accurate information suggests that episodic memory for first learning about the event is being combined with semantic memory about information learned later. This is an example of the reconstructive nature of memory.
- Given that the information was not present in initial reports, it is not plausible that it was repressed.
Controlling for potential confounding variables is important for _______.
determining causal relationships between variables, but NOT generalizability
The finding from Study 3 regarding the differential effect of emotional arousal on memory for central and peripheral details is best explained by which mechanism? Increasing emotional arousal:
- A.causes a restriction of the focus of attention.
- B.improves memory, but only up to an optimal level of arousal.
- C.impairs the encoding of peripheral details.
- D.enhances the retrieval of encoded central details.
Solution: The correct answer is A.
- The passage states, “In Study 3, participants who viewed a sequence of slides involving a violent car accident remembered more central aspects of the event (for example, a car involved in the accident) and fewer peripheral details (for example, the street).” Emotional arousal seems to focus a person’s attention on the central features of an event.
- Study 3 did not measure degree of participant arousal. Furthermore, this would not explain why memories for central details were recalled better than peripheral details.
- The effects on encoding of peripheral details are a consequence of reduced attention rather than the primary mechanism through which emotional arousal impacts memory.
- Emotional arousal occurred during the stage of encoding, not retrieval.
What is generalized anxiety disorder characterized by?
- Generalized anxiety disorder is characterized by pervasive worry experienced for most of the day, but not by the acute symptoms described by the question.
What is panic disorder characterized by?
- Panic disorder is characterized by recurrent panic attacks, the symptoms of which are described by the question.
- Symptoms include a pounding heart, chest pain, shortness of breath, sweating, and feeling dizzy.
What is self-fulfilling prophecy?
- The passage states, “One goal of the CT might be to help the patient break the cycle of worrying about sleeplessness, which leads to more sleeplessness and hence more worry.” A self-fulfilling prophecy is a belief that leads to its own fulfillment, which is what is described by the cycle of worrying.
A strong, rather than reduced, external locus of control is associated with _________
more anger and hostility
Validity refers to ________
whether a measure is capturing the construct that it is intended to. While it is plausible to hypothesize that there may be a positive correlation between rates of emotional problems in a classroom and reading level, this would not establish the validity of the teachers’ ratings.
What is the standard version of a dichotic listening task?
- This is the definition of a dichotic listening task, which involves presenting different auditory stimuli to each ear.
Which hypothetical finding would pose the greatest challenge to the theory that race/ethnicity is socially constructed?
- A.During data collection for a large national survey, participants’ self-chosen racial/ethnic category often differed from the racial/ethnic designation made by in-person interviewers.
- B.People who identified with one racial/ethnic group were found to have a significantly different genome than people who identified with another racial/ethnic group.
- C.During data collection for an experiment on facial recognition, participants failed to consistently identify the racial/ethnic category of people from other parts of the world.
- D.The medically evaluated health status of a representative sample of individuals from two different racial/ethnic groups was found to differ significantly between the groups.
Solution: The correct answer is B.
- This option does not refer to the social construction of race/ethnicity but to individual differences in categorization of racial/ethnic background. Therefore, this option would not pose the greatest challenge to the social construction of race/ethnicity.
- The social construction of race refers to the idea that there is little logical basis for race (or ethnicity). Instead, racial/ethnic categories mostly result from history, culture, and society. If a significant logical basis (specifically for this question, a genetic basis) to racial categories were discovered, however unlikely that might be, it would challenge the idea that race is socially constructed.
- This option points to the results of an experiment; however, it does not clarify whether the outcome can be generalized to the society. Therefore, this option would not pose the greatest challenge to the social construction of race/ethnicity.
- This finding would not challenge the social construction of race/ethnicity but point to the differences in health outcomes among racial/ethnic communities.
Which statement best applies conditioning principles to explain the progression from alcohol experimentation in adolescence to alcohol dependence in adulthood?
- A.Early alcohol use begins with stimulus discrimination, while later use is maintained by stimulus generalization.
- B.Early alcohol use is initiated by modeling, while later use is modified by shaping.
- C.Early alcohol use begins with positive reinforcement, while later use is maintained by negative reinforcement.
- D.Early alcohol use is an unconditioned response, while later use is a conditioned response.
Solution: The correct answer is C.
- The passage states, “For adolescents who experiment with alcohol in peer groups, sensation-seeking behaviors may become associated with alcohol’s positive effects on mood. Some researchers hypothesize that dependence develops later in life when alcohol is consumed to alleviate negative emotions.” Stimulus discrimination occurs when a stimulus-controlled behavior occurs specifically to the original controlling stimulus and is not elicited by stimuli that resemble the original stimulus. Stimulus generalization is when the stimulus-controlled behaviors occur in response to stimuli resembling the original stimuli. This is not relevant to what is described by the passage.
- Modeling is the acquisition of behavior based on observing others engaging in the behavior, while shaping is when a complex behavior is learned via successive acquisition of simpler behaviors. This is not relevant to what is described by the passage.
- Positive reinforcement occurs when the introduction of an appetitive stimulus increases the likelihood of the preceding behavior occurring in the future. Alcohol’s positive influence on mood may serve as a positive reinforcer for adolescent alcohol experimentation. Negative reinforcement occurs when removal of an aversive stimulus increases the likelihood of the preceding behavior occurring in the future. Alcohol consumption reducing the experience of negative emotions may serve as a negative reinforcer of adult alcohol dependence.
- An unconditioned response is one that occurs naturally in response to an unconditioned stimulus, while a conditioned response is one that occurs after classical conditioning has taken place. This is not relevant to what is described by the passage.
Which statement is NOT consistent with a conflict theoretical analysis of the findings in the passage?
- A.Religion is an instrument of social control.
- B.Religion helps to legitimate inequality in society.
- C.Religion encourages passive acceptance of material conditions.
- D.Religion helps to increase social solidarity.
Solution: The correct answer is D.
- A conflict perspective focuses on the social institutions that maintain social inequalities; therefore, the social control of reactions against those inequalities would be consistent with a conflict perspective.
- A conflict perspective would be interested in analyzing narratives that legitimize social inequalities and draw attention to these narratives.
- The passive acceptance of inequalities in material conditions would be a topic of analysis from a conflict viewpoint.
- This option represents a functionalist understanding of religion, with the reference to social solidarity.
The concentration of neurotransmitters and postsynaptic receptors most strongly ________________
determines excitability.
What is intergenerational mobility?
- Intergenerational mobility refers to a change in socioeconomic status from one generation to another within a community. The question prompt does not discuss socioeconomic differences between different generations.
What is intragenerational mobility?
- Intragenerational mobility refers to socioeconomic changes experienced by an individual within their own generation. The explanation in the question prompt is most consistent with intragenerational mobility.
- Ex. When an individual moves from one social class to another over the course of his or her lifetime
What is structural mobility?
- Structural mobility refers to the changes in the socioeconomic status of the whole population. Structural mobility is not discussed in the question prompt.
What is horizontal mobility?
- Horizontal mobility refers to the change in an individual’s position without a change in their socioeconomic status. Horizontal mobility is not discussed in the question prompt.
Urine from inbred strain (Strain A) male mice was swabbed every day for one week on the nostrils of female mice of inbred strain (Strain B). Compared to unswabbed, female Strain B mice, uterine weight, but not total body weight, increased in the swabbed mice. Strain A male urine had no effect on uterine weight or body weight of inbred, female Strain C mice. Which statement best explains these results?
- A.Conserved evolution of pheromones preserves the ability of male mice to elicit pheromone-mediated behaviors in female mice.
- B.The molecular profile of puberty-accelerating, chemosensory neurons differs between mouse strains.
- C.Pheromone-mediated stimulation causes accelerated female reproductive development in Strain C mice compared to Strain B mice.
- D.Genetic variation between Strain A male mice resulted in inconsistent pheromone concentration in the urine applied to the female groups of mice.
Solution: The correct answer is B.
- Urine from Strain A male mice only elicited a response in Strain B female mice. This response was not observed in Strain C female mice, indicating that this effect is not conserved across evolution.
- Exposure to Strain A male urine led to increased uterine weight of Strain B, but not Strain C, female mice. Exposure to urine is likely to activate chemosensory neurons, while increased uterine weight occurs during puberty. Therefore, it is likely that Strain B and Strain C mice exhibit molecular differences in puberty-accelerating chemosensory neurons.
- Strain B, not Strain C, mice exhibited higher uterine weight. This is indicative of accelerated female development in Strain B mice compared to Strain C mice, not the other way around.
There is no information provided to support the notion that genetic variations exist with Strain A male mice. Instead, genetic variations are more likely to occur between Strain B and Strain C female mice.
Conscientiousness is associated with __________. Neuroticism is associated with high rates of _________
diligence, organization, and self-regulation
negative emotionality
What is role engulfment?
Role engulfment indicates that a social role dominates the other roles an individual carries in their life.
- A caregiver (like an older sibling or a parentified child) who loses their own sense of self because they’re always taking care of others.
- A student-athlete who only sees themselves as an athlete, and if they get injured, they struggle with identity loss.
- A person labeled as a "troublemaker" who starts acting out even more because that’s how others see them.
Which response represents a symbolic interactionist’s interpretation of the research findings in the passage?
- A.The spike in holiday deaths is part of the natural cycle of increased deaths during the winter season.
- B.The practices and rituals of the holiday celebrations are in some way correlated with the spike in holiday deaths.
- C.Travel during the holiday season increases external environmental factors than can lead to an overall spike in cardiac deaths.
- D.The spike in holiday cardiac deaths is related to macro-structural factors that are exacerbated during the holidays.
Solution: The correct answer is B.
- This explanation is based on logical factors, which is not consistent with a symbolic interactionist perspective.
- Studying the practices and rituals of the holiday celebrations would require a micro-level observation of those practices. Symbolic interactionism, which is interested in micro-level interactions among social actors, is more directly related to studying social practices and rituals.
- Because this option focuses on a macro-level dynamic as an independent variable, it is not the most consistent explanation with a symbolic interactionist perspective.
- Structural factors such as unequal access to healthcare would be most consistent with a conflict perspective, instead of a symbolic interactionist one.
What is learned helplessness?
Learned helplessness is when someone feels powerless to change a situation because they’ve repeatedly experienced failure or lack of control in the past. Over time, they stop trying—even when they do have the ability to change things.
- A student who keeps failing math tests might stop studying, believing they’re just "bad at math."
- Someone in a toxic relationship may feel like nothing will ever change, so they stop seeking help or trying to leave.
When studying education as a social institution, the hidden curriculum constitutes:
- A.a manifest function of schools.
- B.an equalizing function of schools.
- C.a latent function of schools.
- D.a discriminatory function of schools.
- Manifest functions are the intended outcomes of social practices. Hidden curriculum refers to the indirect positive outcomes of schooling, which is not a manifest function.
- An equalizing function would refer to anti-discriminatory practices in social institutions. The hidden curriculum is not described as practices addressing discrimination in educational institutions.
- A latent function is an unintended positive outcome of a social practice. Hidden curriculum refers to the unintended positive consequences of learning experiences in educational institutions, such as learning how to behave in a formal setting and cooperation among peers. Therefore, the hidden curriculum is best described as a latent function of education.
- Discrimination is the unfair treatment of an individual due to their social background. This is not consistent with the definition of the hidden curriculum.
In order to balance on one foot, many people need to have their eyes open. This is an example of:
- A.motion parallax.
- B.sensory interaction.
- C.vestibular sense.
- D.perceptual maladaptation.
Solution: The correct answer is B.
- Motion parallax is a form of depth perception cue and is not relevant to balancing on one foot.
- Sensory interaction is the idea that one sensory modality (e.g., vision) may influence another (e.g., balance).
- Vestibular sense is required for balance but does not explain why balancing is aided by keeping eyes open.
- Perceptual maladaptation, which occurs when perceptual systems are not functioning optimally, cannot explain why sense of balance would be enhanced when someone has their eyes open.