Nitrogen in the benzene ring would have a lone pair that could accept a _______________, thus increasing the solubility of the compound.
hydrogen bond from water

In μM•s–1 and μM, what should the approximate values of k cat/KM and K i be, respectively, when [I] = 180 μM?
- A.33.5 and 15.7
- B.75 and 30.1
- C.150 and 60.3
- D.300 and 120.
Solution: The correct answer is C.
No, substrate concentration does not directly change the Ki (inhibition constant). Ki is a constant that reflects the affinity between the enzyme and the inhibitor, and it is independent of the concentration of the substrate.
- These values are one-fourth of both the actual kcat/KM and the K i. The latter is impossible as K i , being an equilibrium constant, is unaffected by [I], and the former does not match the trend in Table 1.
- These values are half of both the actual kcat/KM and the K i. The latter is impossible as K i, being an equilibrium constant, is unaffected by [I], and the former does not match the trend in Table 1.
- Based on the data in Table 1, increasing [I] has no effect on kcat/KM, so it should remain at 150 M–1•s–1. Also, K i is an equilibrium constant, so it will not be affected by a change in [I].
- These values are double both the actual kcat/KM and the K i. The latter is impossible as K i , being an equilibrium constant, is unaffected by [I], and the former does not match the trend in Table 1.
What functional group transformation occurs in the product of the reaction catalyzed by Na+-NQR?
- A.RC(=O)R → RCH(OH)R
- B.ROPO3 2- → ROH + Pi
- C.RC(=O)NHR'→ RCOOH + R'NH2
- D.RC(=O)OR'→ RCOOH + R'OH
Solution: The correct answer is A.
The reaction catalyzed by Na+-NQR (Sodium-quinone reductase) is involved in the reduction of quinones in biological systems, often with the production of reduced intermediates like hydroquinones. Na+-NQR primarily functions as part of the electron transport chain, where it helps reduce quinone molecules in certain organisms.
- This is two-electron reduction of a ketone to an alcohol, which is the reaction catalyzed by Na+-NQR.
- This is the reaction catalyzed by a phosphatase.
- This is the reaction catalyzed by a protease or amidase.
- This is the reaction catalyzed by an esterase.
In simple terms, a reduction reaction is when a molecule gains electrons or hydrogen atoms.
For the transformation from a carbonyl group (C=O) to a hydroxyl group (C-OH), here's why it is considered reduction:
- A carbonyl group (C=O) is made up of a carbon atom double-bonded to an oxygen atom.
- In reduction, the carbonyl group gains electrons or hydrogens.
- The double bond between the carbon and oxygen breaks, and the carbon gains a hydrogen atom, turning the oxygen into a hydroxyl group (-OH).

What is the chemical structure of a component found in four of the five cofactors used by Na+-NQR?
Solution: The correct answer is B.
- This is the structure of adenine. It is only found in FAD.
- This is the structure of flavin, found in four of the five cofactors used by Na+-NQR.
- This is the structure of ubiquinone. It is a substrate, but not a cofactor.
- This is the structure of histidine. It is an amino acid, not a cofactor.
Text: Na+-NQR was diluted to a final concentration of 0.75 mM in 0.150 M LiCl, NaCl, KCl, RbCl, or NH4Cl (each solution also contained redox active mediators) and placed in a glass instrument cell with CaF2 windows.
What is the ratio of cation to enzyme in the spectroelectrochemical experiments described in the passage?
- A.1:2
- B.2:1
- C.20:1
- D.200:1
Solution: The correct answer is D.
- If the ratio of cation to enzyme was 1:2, the cation concentration needed to be 0.375 mM. Alternatively, the concentration of enzyme could have been 0.300 mM.
- If the ratio of cation to enzyme was 2:1, the cation concentration needed to be 1.50 mM. Alternatively, the concentration of enzyme could have been 0.075 mM.
- If the ratio of cation to enzyme was 20:1, the cation concentration needed to be 15 mM. Alternatively, the concentration of enzyme could have been 7.5 µM (0.0075 mM).
- The ratio can be found by noting that the enzyme concentration was 0.75 mM, while the concentration of cations was 0.150 M = 150 mM. The ratio is therefore 200:1.
The reaction between NADH and ubiquinone is exergonic, but the reaction, when catalyzed by Na+-NQR, does not generate much heat in vivo. What factor accounts for this difference?
The reaction catalyzed by Na+-NQR in vivo:
- A.is more exothermic as a result of the lower activation energy.
- B.occurs sequentially in several small steps.
- C.maintains a large separation between the reacting centers.
- D.is coupled to the movement of a charged particle against a concentration gradient.
- This is impossible. Even if it were true, this would make the heat generation larger, not smaller, for the catalyzed reaction. Catalysis does not change thermodynamics.
- By Hess's Law, the heat of reaction will sum and be the same. The fact that the reaction can be broken down into steps will not change the overall thermodynamics.
- This is also impossible. The reactants ultimately must be close together to react.
- The movement of a charged particle against its concentration gradient is energetically costly. Coupling the two processes: the redox reaction between NADH and ubiquinone and the movement of Na+ up a concentration gradient makes the overall process less exothermic.
- Na+-NQR (sodium-translocating NADH:quinone oxidoreductase) is involved in a process that couples the oxidation of NADH to the translocation of sodium ions (Na+) across a membrane, contributing to the generation of an electrochemical gradient. This is an example of active transport, where the energy from the reaction is used to move sodium ions against their concentration gradient, helping create the gradient that can be used for various cellular processes.

Two open flasks I and II contain different volumes of the same liquid. Suppose that the pressure is measured at a point 10 cm below the surface of the liquid in each container. How will the pressures compare?
- A.The pressures will be equal.
- B.Pressure in flask I will be less.
- C.Pressure in flask II will be less.
- D.The pressures cannot be compared from the information given.
Solution: The correct answer is A.
- The pressure at a point 10 cm below the surface of the liquid is the same in both flasks because the pressure is equal to the liquid density multiplied by the gravitational acceleration multiplied by 10 cm.
- The pressure at a point 10 cm below the surface of the liquid in flask I is the same as the pressure in flask II at 10 cm below the surface because the pressure is equal to the liquid density multiplied by the gravitational acceleration multiplied by 10 cm.
- The pressure at a point 10 cm below the surface of the liquid in flask II is the same as the pressure in flask I at 10 cm below the surface because the pressure is equal to the liquid density multiplied by the gravitational acceleration multiplied by 10 cm.
- The pressures can be compared because both pressures are calculated according to the hydrostatic pressure formula p = ρgd, where ρ is the liquid density, g is the gravitational acceleration, and d is the depth where pressure is measured.
When you have a liquid, the pressure at any point in that liquid depends on how deep you are below the surface. The deeper you go, the more liquid is above you, and the heavier the liquid becomes pressing down on you, so the pressure increases.
Now, when we're talking about the pressure 10 cm below the surface in both flasks, the formula that shows how pressure changes with depth is:
Pressure=Weight of liquid above you\text{Pressure} = \text{Weight of liquid above you}Pressure=Weight of liquid above you
This weight is directly related to the height of the liquid above the point where you're measuring, and not the total amount of liquid in the container.
So, even though the two flasks have different amounts of liquid, the pressure at 10 cm below the surface is only affected by how high the liquid is above that point (which is 10 cm in both cases).
That's why the pressure at that depth will be the same in both flasks. The volume of liquid in each flask doesn’t change the pressure at that specific 10 cm depth, since the formula focuses only on the height of the liquid above that depth.
Key points:
- Pressure depends on the height of the liquid above the point you're measuring.
- Not the total volume or how much liquid is in the flask overall.
- Since both flasks have 10 cm of liquid above the measuring point, the pressure will be the same in both.

What is the molecular formula of the heterocyclic aromatic compound pyrrole?
- A.C2H3N
- B.C4H5N
- C.C6H7N
- D.C8H9N
Solution: The correct answer is B.
- This is the molecular formula of the non-aromatic heterocycle 2H-azirine.
- This is the molecular formula of pyrrole, a five-membered aromatic heterocycle containing one nitrogen atom.
- This is the molecular formula of various forms of azepine, a seven-membered heterocycle, none of which are aromatic.
- There is a cyclohexene-fused pyrrole with this molecular formula, but not pyrrole itself.
Text: They used the fluorescence spectrometer depicted in Figure 2, which employs a 86Kr+ laser that simultaneously emits radiations of wavelengths 407 nm and 605 nm. Inside the laser, the noble gas is contained in a 11^cm3 tube.
Approximately how many moles of Kr+ are contained in the laser tube at 0°C and 1 atm?
- A.3 x 10- 7
- B.2 x 10- 6
- C.4 x 10- 5
- D.5 x 10-4
- 1 cm³ (cubic centimeter) = 1 milliliter (mL)
- 1 mL = 0.001 L (since there are 1000 milliliters in a liter)
Solution: The correct answer is D.
- This number of moles of gas occupies only 0.00672 mL at STP.
- This number of moles of gas occupies only 0.0448 mL at STP.
- This number of moles of gas only occupies 0.90 mL at STP.
- There is 1 mole of gas in a volume of 22.4 L = 2.24 x 104 cm3 at STP; there are approximately 5 x 10-4 moles in 11 cm3.
The radiation of wavelength 605 nm CANNOT be used to produce the fluorescence radiations depicted in Figure 3 because:
- A.the energy of the absorbed radiation must be larger than the energy of the fluorescence radiation.
- B.the energy of the absorbed radiation must be smaller than the energy of the fluorescence radiation.
- C.the 605-nm radiation has more energy than the 407-nm radiation.
- D.the 605-nm radiation is not visible.
Solution: The correct answer is A.
- Fluorescence can occur when the absorbed radiation has a photon energy larger than the photon energy of the radiation emitted through fluorescence. The photon energy is inversely proportional to the radiation wavelength, thus the 605-nm wavelength radiation cannot produce the entire fluorescence radiation spectrum shown in Figure 3 as its photon energy is below that of the fluorescence radiation of wavelength 604 nm.
- The photon energy of the absorbed radiation must exceed the photon energy of the fluorescence radiation because the energy difference cannot be created from nothing, per the energy conservation principles.
- The photon energy is inversely proportional to the radiation wavelength according to the formula Energy = Planck's constant multiplied by the speed of light divided by the wavelength, thus the 605-nm wavelength radiation has less photon energy than the 407 nm wavelength radiation.
- The 605 nm wavelength radiation is visible, but this feature is unrelated to fluorescence.
In a protein, each amino acid residue, except Gly, has a chiral __________
α carbon.

Samples from various time points of the proteolysis of TPMTwt were subjected to SDS-PAGE under reducing conditions. Which figure best depicts the expected appearance of the gel?
(Note: The arrow indicates the movement of the protein through the gel.)
Solution: The correct answer is D.
- This gel depicts protein aggregation, not proteolysis, over time. The molecular weights of the bands are increasing rather than decreasing.
- This gel shows protein aggregation, instead of proteolysis, and does not even decrease the amount of starting protein.
- Although the increase in the number of lower molecular weight bands with time fits proteolysis, the original protein band at the highest molecular weight should diminish over time.
- As befits proteolysis, the number of lower molecular weight bands with time increases and the original protein band at the highest molecular weight diminishes with time.

What structural feature(s) is(are) most important to the functioning of this compound as described in the passage?
- A.Specific configuration of numerous chirality centers
- B.Multiple hydrolysable linkages
- C.Combination of large hydrophobic and hydrophilic regions
- D.Presence of a reducing sugar
Solution: The correct answer is C.
- Chirality is important for specific binding to other compounds. This is not a requirement of a detergent.
- Multiple hydrolysable linkages would facilitate metabolism. Compound 2 was a detergent used to help isolate membrane proteins.
- Compound 2 was used as a detergent. It liberated a protein from a membrane so that it might be isolated. The combination of large hydrophilic and hydrophobic regions allows Compound 2 to function in this capacity.
- The presence of a reducing sugar makes the compound susceptible to oxidation and imparts aqueous compatibility. It does not provide all the necessary components of a functioning detergent
It’s specifically stating extraction from a membrane in the passage, meaning you should think amphipathic molecule. Remember detergents: polar and non polar regions break down a membrane and form pores.
Enantiomers can exhibit a difference in which chemical or physical property?
- A.Density
- B.Boiling point
- C.Smell
- D.IR spectrum
Solution: The correct answer is C.
- Enantiomers will not display different densities.
- The boiling points of enantiomers are identical, and they cannot be separated by distillation.
- Enantiomers have the same physical and chemical properties. They differ only in their three dimensional arrangement of atoms and their interactions with other chiral molecules. They can differ in their smell due to interacting differently with chiral odorant receptors.
- The IR spectra of enantiomers are identical when a normal light source is used. Circularly polarized light will potentially illustrate differences.
Blood flows with a speed of 30 cm/s along a horizontal tube with a cross-section diameter of 1.6 cm. What is the blood flow speed in the part of the same tube that has a diameter of 0.8 cm?
- A.7.5 cm/s
- B.15 cm/s
- C.60 cm/s
- D.120 cm/s
Solution: The correct answer is D.
Continuity equation: A1v1=A2v2
A=pi (d/2)^squared
- A flow speed of 7.5 cm/s corresponds to a diameter of 3.2 cm, not 0.8 cm.
- A flow speed of 15 cm/s corresponds to a diameter of 2.25 cm, not 0.8 cm.
- A flow speed of 60 cm/s corresponds to a diameter of 1.125 cm, not 0.8 cm.
- The flow is characterized by the continuity equation because no amount of blood is lost between the two locations. The continuity equation is 30 cm/s × π × ((1.6 cm)/2)2 = v × π × ((0.8 cm)/2)2. Solving for v yields v = 4 × 30 cm/s = 120 cm/s.

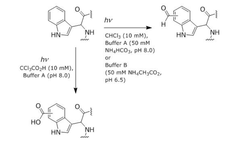
Which classification of amino acids applies to the Trp residues after photochemical modification by CCl3CO2H?
- A.Acidic
- B.Basic
- C.Hydrophobic
- D.Polar neutral
Solution: The correct answer is A.
- The Trp residues after being photochemically modified by CCl3CO2H have a carboxylic acid group attached to the benzene ring.
- The group attached to the Trp residues is acidic, not basic.
- The group attached to the Trp residues is polar and hydrophilic.
- At pH 7, the group attached to the Trp residues would ionize and develop a negative charge.
Which chromatographic technique would most likely separate a mixture of native carbonic anhydrase from carbonic anhydrase photochemically modified by CCl3CO2H?
- A.Anion-exchange chromatography
- B.Cation-exchange chromatography
- C.Gas-liquid chromatography
- D.Size-exclusion chromatography
Solution: The correct answer is A.
- Because the passage states that native carbonic anhydrase has a net charge of -2.9 and the modified enzyme would have greater negative charge, anion-exchange chromatography can separate them as this technique separates proteins with different negative charges.
- The native and modified Enzymes both have net negative charge. In cation-exchange chromatography, both Enzymes would elute together in the void volume.
- Proteins degrade before they would vaporize.
- The molecular weights of the native and modified proteins are too close (< 1 kDa difference) to allow separation by size-exclusion chromatography.
Chromatographic Techniques:
- Anion-exchange chromatography:
- This technique uses a positively charged stationary phase (e.g., a resin with positively charged groups) to attract negatively charged molecules (anions).
- Since modified carbonic anhydrase is likely more negatively charged than the native form, it would interact more strongly with the positively charged stationary phase and elute later.
- Cation-exchange chromatography:
- This technique uses a negatively charged stationary phase (e.g., a resin with negatively charged groups) to attract positively charged molecules (cations).
- In this case, since both forms of carbonic anhydrase are likely to be negatively charged (with the modified version being more negatively charged), this technique wouldn't be ideal for separating them.
Likely Separation:
- The key difference between the native and modified forms of carbonic anhydrase is likely the charge difference. The modified enzyme will be more negatively charged due to the introduction of the carboxyl group from CCl₃CO₂H, and the native enzyme will have a less negative charge.
- Anion-exchange chromatography would likely separate them because the more negatively charged modified enzyme would bind more strongly to the positively charged stationary phase than the native enzyme.
Text: MCS oligomers can be obtained from plants via a lipophilic MCS precursor. This MCS precursor was isolated from plant roots through an extraction that involved mixing an aqueous emulsion with tert-butyl methyl ether ((CH3)3COCH3).
In which phase(s) will the MCS precursor be predominantly found after the extraction step?
The MCS precursor will:
- A.be found in the aqueous layer.
- B.be found in the tert-butyl methyl ether layer.
- C.be distributed equally between the aqueous layer and the tert-butyl methyl ether layer.
- D.form a precipitate between the aqueous and tert-butyl methyl ether layers.
Solution: The correct answer is B.
Explanation:
- The organic layer typically consists of organic solvents (e.g., ether, chloroform, hexane), which are generally hydrophobic. This means that the solvent does not mix well with water and tends to dissolve non-polar or hydrophobic compounds.
- The aqueous layer, on the other hand, consists of water or aqueous solutions, which are hydrophilic and typically dissolve polar or charged compounds.
- According to the passage, the MCS precursor is lipophilic, so it is not water soluble.
- The passage described the MCS precursor as being lipophilic, which means that it would not dissolve as readily in the aqueous layer. Therefore, it should be found in the tert-butyl methyl ether layer, which is hydrophobic.
- According to the passage, the MCS precursor is lipophilic, so it prefers to dissolve in organic solvents.
- The MCS precursor should dissolve in the organic layer.
- The salt bridge refers to an electrostatic interaction between_______________. In this case, the phosphate group on PLP, which is negatively charged, can form a salt bridge with positively charged amino acids.
- The π-stacking interaction occurs______________(like the one found in tyrosine or other aromatic amino acids) and the aromatic ring of PLP.
oppositely charged residues
between an aromatic ring

As the pH of a solution of this amino acid is raised, which group deprotonates first?
- A.I
- B.II
- C.III
- D.IV
Solution: The correct answer is A.
- As the pH is raised, the most acidic group deprotonates first. Of the choices, two are carboxylic acids, one is a hydroxyl group, and one is a protonated amine. The hydroxyl group is least acidic, while the protonated amine is less acidic (pK a ~ 10) than a carboxylic acid group (pK a ~ 5). Of the two carboxylic acid groups, the one next to the chlorine atoms will be more acidic since its conjugate base (an anion) will be stabilized by an inductive effect which dissipates negative charge building up.
- A proton on alcohol is much less acidic than one in a carboxylic acid because the negative charge cannot be delocalized to several electronegative atoms.
- This carboxylic acid proton is less acidic than the one on the left because it is not near two electronegative chlorine atoms.
- Protonated amines are less acidic than carboxylic acids (pK a of 10 versus 5).
-
Electronegative atoms: If the conjugate base has a
highly electronegative atom (like oxygen or nitrogen) that can
better stabilize the negative charge after the proton dissociates,
the proton will be more acidic.
- For example, acids with oxygen (like carboxylic acids, H–COOH) are more acidic than those without oxygen (like methane, CH₄) because the conjugate base (carboxylate anion) can be stabilized by resonance and the electronegativity of oxygen.
-
Resonance: If the negative charge on the conjugate
base can be delocalized (spread out), this further stabilizes it and
makes the proton more acidic.
- For example, in carboxylic acids (R-COOH), the conjugate base (carboxylate anion, R-COO⁻) is stabilized by resonance between the two oxygen atoms.

If the defibrillator described in the passage were fully charged and the entire charge were discharged through a patient in 10 ms, which of the following is closest to the average electrical current that would flow through the paddles?
- A.7.5 A
- B.15 A
- C.22.5 A
- D.30 A
- The full charge of the capacitor is 25 μF × 3000 V = 75 mC. The average discharge current is (75 mC)/(10 ms) = 7.5 A.
- If the average discharge current is 15 A, it implies the full charge of the capacitor should have been 10 ms × 15 A = 150 mC. In fact, the full charge of the capacitor is 25 μF × 3000 V = 75 mC.
- If the average discharge current is 22.5 A, it implies the full charge of the capacitor should have been 10 ms × 22.5 A = 225 mC. In fact, the full charge of the capacitor is 25 μF × 3000 V = 75 mC.
- If the average discharge current is 30 A, it implies the full charge of the capacitor should have been 10 ms × 30 A = 300 mC. In fact, the full charge of the capacitor is 25 μF × 3000 V = 75 mC.
If both the capacitor and the power supply in Figure 1 are adjustable, which of the following changes would result in an increase in the charge on the capacitor?
- A.Decreasing the area of the parallel plates
- B.Decreasing the separation between the parallel plates
- C.Removing the dielectric from the capacitor
- D.Decreasing the voltage of the power supply
Solution: The correct answer is B.
- Because the capacitance is directly proportional to the area of the parallel plates, a decrease in the area corresponds to a decrease in the capacitance. Given that the charge on the capacitor is directly proportional to the capacitance, a decreased capacitance results in a decrease in the charge as long as the power supply voltage is constant.
- Capacitance C is inversely proportional to the separation d between the parallel plates according to the formula C =(ϵ0 ϵr A)/d. A decrease in the separation corresponds to an increase in the capacitance. Given that the charge on the capacitor is directly proportional to the capacitance, an increased capacitance results in an increase in the charge as long as the power supply voltage is constant.
- Capacitance C is directly proportional to the permittivity ϵr > 1 of the dielectric between the parallel plates according to the formula C =(ϵ0 ϵr A)/d. Removing the dielectric essentially means decreasing the permittivity ϵr to 1, which corresponds to a decrease in the capacitance. Given that the charge on the capacitor is directly proportional to the capacitance, a decreased capacitance results in a decrease in the charge as long as the power supply voltage is constant.
- The charge on the capacitor is directly proportional to the capacitance multiplied by the voltage of the power supply. Decreasing the voltage results in a decrease in the charge unless the capacitance is increased independently.
If the 25 μF capacitor in the defibrillator in Figure 1 is replaced with a 30 μF capacitor, what new power supply setting would produce the same amount of charge?
- A.3600 V
- B.3500 V
- C.3000 V
- D.2500 V
Solution: The correct answer is D.
- A power supply setting of 3600 V would produce a charge of 108 mC, not 75 mC.
- A power supply setting of 3500 V would produce a charge of 105 mC, not 75 mC.
- A power supply setting of 3000 V would produce a charge of 90 mC, not 75 mC.
- On the 25 μF capacitor, the power supply stores a charge of 25 μF × 3000 V = 75 mC. On the 30 μF capacitor, the same charge is stored by a power supply that has a voltage of 75 mC/30 μF = 2500 V.
If the energy of a photon is doubled, which of the following properties of the photon will also double?
- A.Amplitude
- B.Wavelength
- C.Frequency
- D.Intensity
Solution: The correct answer is C.
- Amplitude is a characteristic of waves, whereas photons constitute the particle description of light. Therefore, photons cannot be characterized by the property of amplitude.
- The energy of a photon is given by the relationship E = hc/l. If E is doubled, then wavelength l is halved not doubled.
- The energy of a photon is given by the relationship E = hf. If E is doubled, then frequency f is doubled, too, as Planck's constant h does not change.
- Intensity is a characteristic of waves, whereas photons constitute the particle description of light. Therefore, photons cannot be characterized by the property of intensity unless as the number of photons of a certain energy that pass through a surface per unit time.
If the red line in the Balmer series has a wavelength of 656 nm, which of the following is closest to its frequency?
- A.4.6 × 1014 Hz
- B.4.6 × 10−14 Hz
- C.2.1 × 1015 Hz
- D.2.1 × 10−15 Hz
Solution: The correct answer is A.
- For light that travels in vacuum, wavelength and frequency are related according to wavelength × frequency = 3.0 × 108 m/s. Solving for frequency yields (3.0 × 108 m/s)/(656 × 10-9 m) = 4.6 × 1014 Hz.
- A frequency of 4.6 × 10-14 Hz corresponds to a wavelength of 6.56 × 1021 m , not 656 × 10-9 m.
- A frequency of 2.1 × 1015 Hz corresponds to a wavelength of 143 nm, not 656 nm.
- A frequency of 2.1 × 10-15 Hz corresponds to a wavelength of 1.43 × 1023 m, not 656 × 10-9 m.

Which of the following is closest to the wavelength of a photon whose energy is 2 eV?
- A.740 nm
- B.620 nm
- C.450 nm
- D.310 nm
Solution: The correct answer is B.
- A wavelength of 740 nm corresponds most closely to a photon with energy E = 1.66 eV, not 2 eV.
- Using hc = 4.1 × 10–15 eV•s × 3 × 108 m/s = 1230 eV•nm, and λ = hc/E, then E = 2 eV corresponds to λ = (1230 eV•nm)/(2 eV) = 615 nm, which is closest to 620 nm.
- A wavelength of 450 nm corresponds most closely to a photon with energy E = 2.75 eV, not 2 eV.
- A wavelength of 310 nm corresponds most closely to a photon with energy E = 4 eV, not 2 eV.
What is the value of K b for the conjugate base of a weak organic acid that has a pK a of 5?
- A.10−2.5
- B.10−5
- C.10−9
- D.10−10
Solution: The correct answer is C.
- This is the K b for the conjugate base of an acid with a pK a of 11.5.
- This is the K b for the conjugate base of an acid with a pK a of 9.
- Because pK b = 14 - pK a, this is the K b for the conjugate base of an acid with a pK a of 5.
- This is the K b for the conjugate base of an acid with a pK a of 4.

An ester is prepared by the method of direct esterification using an esterase enzyme as a catalyst. Which of the following modifications will NOT appreciably increase the final yield of ester?
- A. Using 2 times as much enzyme
- B.Using 2 moles of RCOOH instead of 1 mole
- C.Using 2 moles of RCH2OH instead of 1 mole
- D.Removing RCOOCH2R from the reaction mixture as it is formed
Solution: The correct answer is A.
- This modification will increase the rate of formation, not the final yield of ester.
- Doubling the concentration of RCOOH will increase the yield of ester by Le Châtelier's principle.
- Doubling the concentration of RCH2OH will increase the yield of ester by Le Châtelier's principle.
- By Le Châtelier's principle, removing the ester product as it forms will drive the reaction to form more ester.

A person pushes on a rolling cart with a force that diminishes with time because the person must walk faster to keep up with the accelerating cart. How much work does the person generate while pushing on the cart?
- A.500 J
- B.1000 J
- C.2000 J
- D.4000 J
Solution: The correct answer is B.
- This quantity corresponds to a calculation error of the area under the force-distance line as (100 N/2) × (20 m/2) = 500 J.
- The work generated by the person while pushing the cart is equal to the area under the force-distance line, according to the definition of work. The area is equal to 1/2 × (100 N - 0 N) × (20 m - 0 m) = (100 N × 20 m)/2 = 1000 J.
- This quantity corresponds to a calculation error of the area under the force-distance line as (100 N × 20 m) = 2000 J.
- This quantity corresponds to a calculation error of the area under the force-distance line as (100 N × 20 m) × 2 = 4000 J.
- Adaptive immunity: Involves__________ both of which are regulated by various miRNAs to control immune responses.
- Innate immunity: Involves the ___________ to pathogens or transplanted tissues, which also involves miRNAs that regulate inflammatory pathways and the activation of immune cells like macrophages and dendritic cells.
T cells (cell-mediated immunity) and B cells (humoral immunity),
initial response

Text:
GI tract bacteria digest dietary fibers and convert them into butyrate, propionate, and acetate. These three molecules modulate the innate immune system response by attenuating the inflammatory response to GI tract commensal bacteria. Furthermore, butyrate is a major source of energy for colonocytes.
The GI tract microbiome of healthy individuals exhibits a predominance of gram-positive bacteria Firmicutes and Bacteroidetes and a reduced amount of Proteobacteria and Actinobacteria.
From Table 1, in which metabolic process are GI tract bacteria directly involved?
- A.Conversion of PS into short chain fatty acids
- B.Absorption of amino acids
- C.Fermentation of dietary fibers into peptides
- D.Absorption of monosaccharides
Solution: The correct answer is A.
- GI tract bacteria convert monosaccharides and polysaccharides into acetate, propionate, and butyrate, which are short chain fatty acids.
- The table does not indicate a direct role for amino acids in metabolic functioning of GI tract bacteria, but rather that such bacteria convert polysaccharides into short chain fatty acids.
- Based on the table, dietary fibers are not converted into peptides, but short chain fatty acids (acetate, propionate, and butyrate).
- Table 1 indicates that GI tract bacteria use monosaccharides as an energy source, but does not indicate whether these bacteria function in monosaccharide absorption.

Based on the passage, the microbiome of CD-affected individuals will result in which physiological change?
- A.Increased polypeptide digestion
- B.Slower dietary fiber absorption
- C.Increased amount of propionate
- D.Decreased immune tolerance
Solution: The correct answer is D.
- There is no information indicating that any of the bacteria listed in Table 1 impact polypeptide digestion.
- Dietary fibers are not absorbed by the human intestine.
- Based on Table 1, the two bacteria that produce propionate, Phascolactobacteria and Odoribacter, are decreased in CD-affected individuals. Thus, the levels of propionate are most likely decreased, rather than increased, in CD-affected individuals.
- As explained in the passage, molecules such as butyrate, acetate, and propionate inhibit the inflammatory response against commensal bacteria of the GI tract. CD is an inflammatory condition, in which Table 1 indicates that many bacteria producing these anti-inflammatory molecules are reduced during CD. This is consistent with the interpretation that inflammation observed during CD is caused by decreased production of propionate, butyrate, and acetate, which decreases immune tolerance of commensal bacteria.
- Leucine contains a ___________, not a beta-branched chain.
- Isoleucine contains a_____________
gamma-branched side chain
beta-branched side chain.
Which membrane transporter is electrogenic and translocates a net charge across the membrane?
- A.Na+− H+ exchanger
- B.Na+−Cl- cotransporter
- C.Na+−glucose cotransporter
- D.GLUT2 facilitative glucose transporter
Solution: The correct answer is C.
- The Na+–H+ exchanger is an antiporter in which the transport of one Na+ is coupled with the transport of one H+ in the opposite direction. This results in no net translocation of charge.
- The Na+–Cl– cotransporter transports one Na+ and one Cl– in the same direction. Therefore, there is no net movement of charge and this is an electroneutral process.
- The Na+–glucose cotransporter transports Na+ cations and glucose into the cell. This process is electrogenic, as it results in the net movement of positively charged molecules into the cell.
- As glucose is not a charged molecule, GLUT2 activity will not be associated with the net movement of charged molecules. Consequently, GLUT2 activity represents an electroneutral transport process.
Interested in developing ways to treat human strokes, researchers are attempting to develop forms of EPO that act on CNS neurons without affecting erythrocyte production in the bone marrow. One benefit of such a form of EPO in stroke treatment would be to:
- A.promote apoptosis of damaged CNS neurons without affecting blood oxygen levels.
- B.limit neuronal cell death without causing an immediate decrease in the oxygen-carrying capacity of the blood.
- C.prevent apoptosis in the CNS without causing a harmful increase in blood viscosity.
- D.promote healing in the CNS without increasing the risk of developing tumors.
Solution: The correct answer is C.
- Apoptosis in the CNS is associated with neuron death, in which this would not be of benefit during stroke treatment.
- Based on the passage, EPO is a molecule that will increase, not decrease, the oxygen-carrying capacity of the blood.
- Preventing apoptosis is the first step to treating the adverse conditions of stroke. However, EPO-dependent stimulation of erythrocyte production results in an increase in blood viscosity. For this reason, a drug that can prevent apoptosis without increasing blood viscosity will be ideal to treat the consequences of stroke.
- Based on the passage, circulating EPO is produced by tumor cells, it does not increase the risk of developing tumors.
Erythropoietin (EPO) is a hormone that your body makes when there’s not enough oxygen in the blood. It tells your bone marrow to make more red blood cells (erythrocytes), which help carry oxygen throughout your body.
When the number of red blood cells increases, the blood becomes thicker because there are more cells in the same amount of fluid. This makes the blood more viscous (or "stickier"). This can be a problem because thicker blood can be harder to pump, which could put extra strain on your heart.
- Many __________ and secreted by bacteria. Production of eukaryotic proteins in bacteria is a process often used by researchers to better understand the function of a protein or to produce the protein in high levels.
- Viruses do _____________. Bacteria do, as well.
eukaryotic proteins are produced
not exclusively contain all cellular machinery necessary to express recombinant proteins

Based on information presented in Table 1, which relationship between pH and charged functional groups is accurate?
- A.At pH 8.50, the ratio of the cationic to anionic functional groups in the NqrD subunit is equal to 1.
- B.At pH 7.00, half of the functional groups in the NqrE subunit are protonated.
- C.At pH 6.30, the net charge of the cationic and anionic functional groups in the NqrA subunit is equal to 1.
- D.At pH 6.00, the majority of the functional groups in the NqrF subunit are protonated.
Solution: The correct answer is A.
- Table 1 shows that the isoelectric point of NqrD is 8.50. The ratio of the cationic (+) to anionic (–) functional groups in a protein at its pI is always equal to one.
- Table 1 shows that the isoelectric point of the NqrE subunit is equal 5.35. At a higher pH, like at pH 7.0, the majority of functional groups in the NqrE subunit will lose their protons and will be deprotonated.
- Table 1 shows that the isoelectric point of NqrA is 6.30. The net charge of functional groups in a protein at its pI is equal to zero, not 1.
- Table 1 shows that the isoelectric point of NqrF is 5.25. At any pH higher than 5.25, the majority of the functional groups in the NqrF subunit will be deprotonated, not protonated.
How does molecules react in conditions where pH is above or below the pI?
- Above pI (in basic conditions): The molecule is negatively charged because acidic groups deprotonate (lose protons).
- Below pI (in acidic conditions): The molecule is positively charged because basic groups protonate (gain protons).
What is the most likely effect of adding a sodium ionophore to a culture of V. cholerae?
- A.Decreased activity of Na+-NQR
- B.Decreased production of ATP
- C.Decreased pH of the periplasm
- D.Decreased consumption of O2
Solution: The correct answer is B.
- A sodium ionophore does not interfere with the function of Na+-NQR, but it degrades the sodium gradient (sodium motive force) that is established by the action of Na+-NQR.
- Ionophores are compounds that bind to ions and facilitate their movements across membranes. A sodium ionophore would collapse the sodium gradient (sodium motive force) that is established by the action of Na+-NQR, resulting in decreased production of ATP.
- V. cholerae uses an electrochemical gradient of Na+, not of protons, to generate ATP. Therefore the pH of the periplasm is not affected.
- Since sodium ionophores degrade the electrochemical gradient required for ATP synthesis, they cause a decrease in ATP levels. To compensate for this event, V. cholerae is likely to increase the flux of electrons to the respiratory chain, which results in increased, not decreased, oxygen consumption.
Which type of reaction has a K eq > 1 and is kinetically fast?
- A.Endergonic with high activation energy level
- B.Endergonic with low activation energy level
- C.Exergonic with high activation energy level
- D.Exergonic with low activation energy level
Solution: The correct answer is D.
- A reaction that has a K eq > 1 is exergonic, not endergonic. Additionally, a high activation energy results in a kinetically slow, and not a fast reaction.
- A reaction that has a K eq > 1 is exergonic, not endergonic.
- A high activation energy results in slow, not fast, reaction kinetics.
- A reaction that has a K eq > 1 is exergonic and a low activation energy results in fast reaction kinetics.
If the small bumps seen when half of the membrane is peeled away were chemically shown to consist of the lipid cholesterol, how would the Fluid Mosaic Model have to be modified?
- A.The proteins would have to be embedded less than halfway through the membrane.
- B.There could be no proteins in the membrane.
- C.The lipids would have to be embedded in the proteins.
- D.It would not necessarily have to be altered, but there would be less evidence supporting it.
Solution: The correct answer is D.
- Not necessarily, as transmembrane proteins could remain embedded within the membrane leaflet that was removed.
- Even if the small bumps were identified as cholesterol, proteins could still be positioned within the membrane leaflet that was removed.
- Because the middle of the bilayer is hydrophobic, the lipids do not need to be embedded in the proteins.
- The Fluid Mosaic Model indicates that the hydrophilic regions of proteins are found on the membrane surfaces, while the hydrophobic regions are buried among phospholipid tails. This arrangement allows proteins to span the membrane. Consistently, the passage mentions that, upon peeling back the top membrane layer, small bumps are observed. This is consistent with the idea that proteins span the membrane. If these bumps were identified as cholesterol, this does not necessarily disprove the model. Instead, it is possible that membrane-spanning proteins remain adhered to the leaflet that has been peeled back.
The information in the passage best supports which hypothesis?
- A.Exercise prevents glucose uptake.
- B.Exercise promotes less effective cellular respiration.
- C.Exocrine secretions of skeletal muscle act on adipose tissue.
- D.Endocrine secretions of adipose tissue act on skeletal muscle.
Solution: The correct answer is B.
- The information in the passage indicates that exercise correlates with increased FNDC5 expression. Additionally, mice overexpressing FNDC5 exhibit lower nonfasting glucose levels, most likely because of higher, not lower, cellular glucose uptake.
- According to the pathway suggested by the information in the passage, exercise ultimately increases UCP1 levels which in turn degrades the proton gradient that drives oxidative phosphorylation. More energy is dissipated as heat and less is used to synthesize ATP.
- The passage notes that irisin is secreted into blood and therefore it would be an endocrine, not an exocrine, secretion of skeletal muscle.
- The passage notes that irisin is a protein formed by cleaving the extracellular domain of FNDC5 which is expressed in skeletal muscles, not adipose tissues.
The viruses that encode either FNDC5 or control protein transfer genetic material via:
- A.transformation.
- B.transduction.
- C.contamination.
- D.conjugation.
Solution: The correct answer is B.
- Transformation is the process that transfers genetic material from the environment into bacteria.
- Transduction is the process by which nucleic acids are transferred from viruses to cells.
- Contamination is the act of making a solution or sample impure.
- Conjugation is the exchange of nucleic acids between bacteria.

Which Roman numeral represents the CNS integration for a pain reflex arc?
- A.I
- B.II
- C.III
- D.IV
Solution: The correct answer is B.
- Roman numeral I represents the dorsal root ganglion.
- Roman numeral II represents an interneuron, which serves as an intercommunication point for the afferent and efferent neurons within the CNS.
- Roman numeral III represents the ventral root.
- Roman numeral IV represents the effector muscle.
In an enzyme-catalyzed reaction where enzyme concentration is held constant and substrate concentration is relatively low, which kinetic parameter will increase with the addition of more substrate?
(Note: Other than substrate concentration, assume no other changes to reaction conditions.)
- A.K M
- B.k cat
- C.V max
- D.V 0
Solution: The correct answer is D.
- K M, the rate constant of a reaction, does not change with changes in substrate concentration.
- K cat is the reaction turnover number and does not change with changes in substrate concentration.
- V max is the maximum velocity of a reaction and is a constant property which does not change with the addition of more substrate.
- V 0 is the initial velocity of an enzymatic reaction. At low concentrations of substrate and constant enzyme concentration, adding more substrate will increase V 0 until the maximal velocity is reached.
Text: Lactose intolerance, also known as lactase deficiency, is a condition that results from insufficient synthesis of the enzyme lactase, which converts lactose into glucose and galactose. Although all healthy newborns produce sufficient levels of lactase, two distinct phenotypes exist in adults: lactase persistence (LP) (includes heterozygotes) and lactase non-persistence (LNP). LP adults continue to produce lactase into adulthood, whereas LNP individuals do not. It has been suggested that the LP phenotype is the result of a mutation event that coincided with the domestication of dairy animals thousands of years ago in areas such as northwestern Europe and within some Afro-Arabian nomadic populations. In Northwestern Europeans, sets of alleles located closely together on the same chromosome (haplotypes) associated with the LP phenotype contain several single nucleotide polymorphisms (SNPs). However, only one appears to be directly responsible for this phenotype; the others are silent. By comparison, several different SNPs appear to be directly responsible for the LP phenotype in Afro-Arabian LP-associated haplotypes.
Based on the information in the passage, the mutation that causes the LP phenotype is most likely located in:
- A.an intron within the lactase gene.
- B.the coding sequence of the lactase gene.
- C.an enhancer sequence of the lactase gene.
- D.the stop codon at the end of the lactase gene.
Solution: The correct answer is C.
- Although introns might have regulatory functions, mutations to promoter and enhancer regions most specifically alter gene expression.
- A mutation in the coding region is most likely associated with a mutated enzyme, which is not the case with the LP. Instead, lactase expression is altered during LP.
- The enhancer is a DNA region that is able to bind transcriptional activators in order to increase the expression of a particular gene. Since LP is caused by continuous lactase synthesis, this is the region most likely targeted by the mutation. Specifically, the mutation makes it easier for transcriptional activators to bind an enhancer sequence.
- A mutation affecting the STOP codon would result in a mutated enzyme, which is not the case in LP.
Which cells express lactase?
- A.Enterocytes of the duodenal villi
- B.Epithelial cells of the colon lining
- C.Parietal cells of the stomach lining
- D.Bile-producing hepatocytes of the liver
Solution: The correct answer is A.
- Enterocytes are the intestinal cells that produce Enzymes that digest disaccharides. This includes lactase.
- Colonocytes do not produce digestive enzymes. Lactose digestion by the body does not occur in the colon, though bacteria in the colon may break unusual sugars (oligosaccharides) down.
- Parietal cells of the stomach produce HCl, they do not produce digestive enzymes.
- Hepatocytes do not produce digestive enzymes.

The SNP resulted from what type of mutation?
- A.Purine to purine
- B.Purine to pyrimidine
- C.Pyrimidine to purine
- D.Pyrimidine to pyrimidine
Solution: The correct answer is D.
- The genomic radiograph indicates an SNP containing both cytosine and thymine. These nucleobases are pyrimidines, not purines.
- The radiograph shows an SNP containing cytosine and thymine at the same position. Both of these are pyrimidines.
- Based on the radiograph, cytosine and thymine are the two nucleobases that occupy the same position within the SNP. These nucleobases are pyrimidines.
- The radiograph indicates an SNP containing both a cytosine and thymine nucleotide, instead of just thymine. Since both nucleobases are pyrimidines, this indicates that the SNP resulted from the mutation of a pyrimidine to another pyrimidine.
What is the differences between cDNA and genomic DNA?
The key differences between cDNA (complementary DNA) and genomic DNA are as follows:
1. Source:
- cDNA: Is synthesized from mRNA (messenger RNA) through a process called reverse transcription. It represents only the expressed genes in the cell (i.e., the genes that are actively being transcribed).
- Genomic DNA: Refers to the entire DNA in an organism, including both coding (exons) and non-coding regions (introns, regulatory sequences, etc.). It is found in the nucleus (in eukaryotic cells) and contains the full genetic blueprint of an organism.
2. Structure:
- cDNA: Only contains the exons (coding regions) of the gene because it is derived from processed mRNA. It lacks introns (non-coding regions).
- Genomic DNA: Contains both exons and introns, along with all regulatory sequences, promoters, and non-coding regions.
3. Purpose and Use:
- cDNA: Often used in gene expression studies, cloning, and in cases where researchers are interested in studying the expressed part of the genome (i.e., the parts of the genome that get transcribed into RNA and then translated into proteins). It helps in studying gene function and protein synthesis.
- Genomic DNA: Represents the entire genetic information of an organism and is typically used in genome mapping, genetic analysis, sequencing, and inheritance studies.
4. Presence of Introns:
- cDNA: Does not contain introns because it is synthesized from mature mRNA that has already undergone splicing to remove the introns.
- Genomic DNA: Contains both exons and introns. Introns are non-coding regions that are transcribed into RNA but are later removed during RNA splicing.
5. Length and Size:
- cDNA: Typically shorter than genomic DNA because it only represents the parts of the genome that are transcribed into mRNA (i.e., the coding sequence).
- Genomic DNA: Longer and contains the entire genetic code of the organism, including both coding and non-coding regions.
6. Production:
- cDNA: Produced from mRNA by reverse transcription, which involves the enzyme reverse transcriptase to convert RNA into DNA.
- Genomic DNA: Extracted directly from the organism’s cells or tissues and represents the full DNA content.
Consider an experiment that consists of two ionic solutions separated by a membrane that contains a ligand-gated potassium channel. The lack of current generation in response to addition of ligand is explained by:
- lack of potassium in either solution.
- the presence of potassium in only one solution.
- equal concentrations of potassium in the two solutions.
- A.I only
- B.I and II only
- C.I and III only
- D.II and III only
Solution: The correct answer is C.
- If there are equal concentrations of potassium in the two ionic solutions, it follows that there is no net movement of ions across the channel and thus no current generation.
- The presence of potassium in only one solution results in its movement to the other side, thus generating a current.
- Lack of current means no net movement of ions, which only happens when the concentration of ions is the same on both sides of the membrane or there are no ions present that the channel is specific for (K +).
- If only one of the solutions contains potassium, the ion will move to the other solution to create a concentration equilibrium, thus generating a current.
A particular diploid organism is heterozygous in each of 3 unlinked genes. Considering only these 3 genes, how many different types of gametes can this organism produce?
- A.3
- B.4
- C.6
- D.8
Solution: The correct answer is D.
- Gametes are haploid and will contain a combination of the unlinked three genes. Since the organism contains two different alleles within each gene, the number of distinct gametes that could be produced is 8, not 3.
- There would be four distinct gametes that could be produced if there were two, not three, unlinked genes with a heterozygous genotype.
- There are 8, not 6, possible gametes that can be formed from a diploid organism that is heterozygous at three unlinked genes.
- There are 8 distinct gametes that can be formed from an diploid organism that is heterozygous at three unlinked genes. Each gene (A, B, and C) will have two alleles (1 and 2) which can be termed: A1, A2, B1, B2, C1, and C2. The resulting gamete combinations will be: A1, B1, C1; A1, B2, C1; A1, B2, C2; A1, B1, C2; A2, B1, C1; A2, B2, C1; A2, B2, C2; A2, B1, C2.
Which brain region will be LEAST activated when participants are completing the tasks in the study?
- A.Parietal lobe
- B.Hippocampus
- C.Prefrontal cortex
- D.Amygdala
Solution: The correct answer is A.
- The primary function of the parietal lobe is the integration of sensory information. This brain region is less likely to be involved in the task as compared to others.
- The hippocampus is involved in memory encoding, which is necessary for the recall of the critical incident. Therefore, this structure is likely to be involved in the task.
- The prefrontal cortex is involved in executive functioning and decision making, which is likely to be involved in answering the assessments in the tasks, and is thus incorrect.
- The amygdala is involved in emotional encoding, which is likely to be involved in recalling the critical incident.
Which statement is NOT a plausible application of psychodynamic theory to explain psychological responses to upward comparison?
- A.The superego demands that the individual should either match or surpass the partner on the dimension of comparison.
- B.The ego fails to satisfy the demands of the superego, and the individual experiences anxiety.
- C.The id attempts to use the pleasure principle to resolve the subconscious conflict caused by the superego.
- D.The ego uses rationalization by suggesting that the dimension of comparison is unimportant.
Solution: The correct answer is C.
- According to psychodynamic theory, the superego is the structure of personality which houses an individual's conscience, developed via the internalization of parental and societal expectations and values. The superego demands that one perform to their highest possible standard, which makes this statement a plausible application of psychodynamic theory to explain psychological responses to upward comparison.
- According to psychodynamic theory, the ego is the structure of personality responsible for balancing the conflicting demands of the id and the superego. When these demands are not met, anxiety is experienced. This statement is a plausible application of psychodynamic theory to explain psychological responses to upward comparison.
- While the id does operate according to the pleasure principle, according to psychodynamic theory, it is the responsibility of the ego and not the id to resolve subconscious conflict caused by the superego. Thus, this statement is not a plausible application of psychodynamic theory to explain psychological responses to upward comparison.
- Rationalization is a defense mechanism, and according to psychodynamic theory, defense mechanisms are used to reduce anxiety stemming from unconscious conflicts. This statement is a plausible application of psychodynamic theory to explain psychological responses to upward comparison.
Weber's characteristics of an ideal bureaucracy suggest that most formal organizations will:
- A.train employees to conduct a variety of tasks.
- B.select employees based on technical qualifications.
- C.require employees to seek consensus in decisions.
- D.evaluate employees based on individualized criteria.
Solution: The correct answer is B.
- According to Weber's conceptualization of ideal bureaucracy, a formal organization requires specialization in a limited number of tasks, rather than completing a variety of tasks.
- Employment in a formal organization is based on technical qualifications; therefore, this option is consistent with the characteristics of an ideal bureaucracy.
- Decisions in ideal bureaucracies are based on an organizational hierarchy instead of consensus among employees.
- Evaluation of performance and skills in ideal bureaucracies are not based on individualized criteria, but on standardized rules and procedures.
Which statement best describes the sociological conceptualization of race and ethnicity?
Racial and ethnic identities are:
- A.consistent across time periods and geography
- B.composed of mutually exclusive categories.
- C.based primarily on physical characteristics.
- D.institutionalized in major social structures.
Solution: The correct answer is D.
- Race and ethnicity are concepts that change over time and location.
- An individual might have multiple overlapping racial and ethnic backgrounds that are not mutually exclusive.
- Both race and ethnicity encompass cultural and social categories that change over time and location; therefore, they are not stable categories primarily based on physical characteristics.
- Race and ethnicity are institutionalized in social structures. Neither race nor ethnicity is simply an individual characteristic. Instead, they are tied to social structures beyond an individual's control and become institutionalized.
Which conclusion demonstrates a fundamental attribution error when interpreting the results of the study?
- A.Dispositional attributions of others' behavior are weaker when attitude ratings are influenced by the presence of others than when alone.
- B.Dispositional attributions of others' behavior are stronger when attitude ratings are influenced by the presence of others than when alone.
- C.Situational attributions of others' behavior are weaker when attitude ratings are influenced when alone than when in the presence of others.
- D.Situational attributions of others' behavior are stronger when attitude ratings are influenced by the presence of others than when alone.
Solution: The correct answer is B.
- Fundamental attribution error refers to the tendency to attribute people's behavior to internal, dispositional traits, rather than situational factors. Weak dispositional attributions, as described in this option, are not representative of the fundamental attribution error.
- Fundamental attribution error refers to the tendency to attribute people's behavior to dispositional traits, even when situational explanations are available. A strong tendency for making dispositional attributions in one of the study conditions demonstrates the fundamental attribution error.
- Situational attributions are not representative of the fundamental attribution error. Therefore, this option does not provide definitive information regarding the fundamental attribution error.
- When participants make situational attributions regarding others' behavior, this suggests that they are not influenced by the fundamental attribution error.
What is the difference between cultural transmission vs. diffusion?
Summary of Differences:
- Cultural Transmission is the passing down of culture within a society or group, ensuring continuity of cultural practices and traditions.
- Cultural Diffusion involves the spread and mixing of cultural elements between different societies or groups, leading to cultural exchange and change.
What is fundamental attribution error?
An example of fundamental attribution error is when you see someone cut in line at the grocery store, and you immediately think, "That person is rude or selfish." In this case, you're attributing their behavior to their character (internal traits) rather than considering external factors that could explain their actions, such as being in a hurry because of an emergency or not noticing the line.
The fundamental attribution error refers to the tendency to overestimate the influence of someone's personality or character on their behavior, while underestimating the role of situational factors that might be influencing their actions.
Another Example:
If someone fails to return your call or message, you might think, "They're ignoring me, they don't care," assuming it's their personality (e.g., they're inconsiderate). However, you might not consider that they could be busy, dealing with personal issues, or simply forgot (external factors).
This bias leads to making judgments about others' behaviors based on internal traits, instead of considering the larger context that could be influencing their actions.
What is social facilitation?
Social facilitation occurs when the presence of an audience improves performance.
Social inhibition occurs when the presence of an audience hinders performance.
Based on the elaboration likelihood model, which type of processing was most likely induced by the administrator when interacting with the participants?
- A.High elaboration processing
- B.Central route processing
- C.Careful processing
- D.Peripheral route processing
Solution: The correct answer is D.
- The elaboration likelihood model focuses on the role of central and peripheral characteristics of a communication in changing individuals' attitudes. High elaboration processing is likely to involve processing through the central characteristics of a message, which refer to its informational content and the quality of its arguments. These are not the cues presented by the administrator that shape participants' attitudes toward them.
- Central route processing occurs when the central characteristics of a message, such as its informational content and the quality of its arguments, are used to form an attitude. The attitude formation in the passage is based on the behavioral cues presented by the administrator, which are peripheral characteristics.
- Careful processing of information is more likely to attune participants to the central characteristics in a communication. The attitude formation in the passage is most likely determined by the peripheral characteristics.
- Peripheral characteristics of a communication refer to the message characteristics that are not central to the information and arguments presented in the message, such as the emotional appeals made to the audience or characteristics of the individual presenting the message. Peripheral route processing occurs when peripheral characteristics drive an individual's processing and attitude formation in a given social setting. In the passage example, the administrator uses peripheral cues (their behavior) to affect participants' attitudes toward them.
What is the elaboration likelihood model?
In summary, the Elaboration Likelihood Model suggests that people process persuasive messages in two ways: through careful, thoughtful analysis (central route) or through more automatic, surface-level cues (peripheral route). The route people take depends on their motivation and ability to process the information.
What is locus of control? What are the two types?
- Locus of control refers to the types of attributions individuals make to explain their outcomes. Individuals with an external locus of control believe that forces outside of their control primarily contribute to their outcomes. This is most relevant to the student attributing their success to luck (an external force).
A woman loses her job, finds that she is unable to pay her bills, and accumulates debt. She must sell her home and move into an apartment. This woman has experienced which type of social mobility?
- A.Horizontal mobility
- B.Vertical mobility
- C.Intergenerational mobility
- D.Structural mobility
Solution: The correct answer is B.
- Horizontal mobility would represent an individual's change of role within the same social class. Because the individual described in the prompt experiences a decline in socioeconomic status, the example does not represent horizontal mobility.
- Vertical mobility indicates a change in someone's socioeconomic status. This option is the correct answer because the individual experiences vertical mobility, by moving into a lower socioeconomic status.
- Intergenerational mobility refers to generational change in socioeconomic status across different generations. This is not discussed in the prompt.
- Structural mobility refers to social mobility as a result of macro-social changes, generally impacting a significant part of the population. The individual described in the prompt experiences mobility at the individual level and not at the structural level.
What is the difference between horizontal and vertical mobility?
Summary of Differences:
-
Horizontal Mobility: Movement within the same
social class or status. No change in position on the social
hierarchy.
- Example: A person switching jobs within the same field at the same level.
-
Vertical Mobility: Movement between different
social levels or statuses. This can be upward (improving social
status) or downward (declining in social status).
- Example: A person moving from a lower-income job to a high-income position (upward) or a person experiencing job loss and economic hardship (downward).
Medicalization refers to the recategorization of a condition as a medical problem that requires diagnosis and treatment by medical experts. Alcoholism provides a classic case of medicalization, as alcohol abuse has transitioned from what was once ________________
considered a problem of individual moral character to being considered a treatable medical condition today.
______________ refers to an individual basing their sense of self on how they think others perceive them. This tendency is associated with one's self-concept, rather than attraction to potential romantic partners.
Looking-glass self
______________ refers to the preference for familiar stimuli over novel stimuli. When individuals develop a romantic attraction to people they see frequently, this may be due to the mere exposure effect.
Mere exposure effect
_________ describes how people react to social constraints to achieving goals.
Strain theory
It explains how individuals or groups may experience strain or frustration when they are unable to achieve culturally approved goals through legitimate means. According to strain theory, the pressure or "strain" that results from these blocked opportunities can lead to deviance, as people adapt to their situation in different ways.
-
- Conformity: Individuals continue to pursue socially approved goals using accepted means, even when they face barriers.
- Innovation: Individuals accept the goals of society (e.g., wealth or success) but use illegitimate means (like crime or fraud) to achieve them.
- Ritualism: Individuals abandon the goals of success but continue to strictly adhere to the accepted means, even if they are no longer achieving the original goals. This can be seen in people who follow rules and routines without hope of success.
- Retreatism: Individuals reject both societal goals and means. They "drop out" of society’s expectations entirely, often engaging in substance abuse or other escapist behaviors.
- Rebellion: Individuals reject both societal goals and means, and seek to replace them with alternative systems of values and goals. Rebels may challenge the existing social order through protest or activism
Imagine a young person from a low-income neighborhood who is taught that success and happiness are achieved through a good job and wealth. However, due to limited access to quality education and employment opportunities, they cannot achieve these goals through traditional means. The strain created by this gap between societal expectations and their reality might lead them to resort to innovation, such as engaging in illegal activities (e.g., selling drugs) to gain financial success.
________ specifically focuses on how deviant behaviors in the past have long-term stigmatizing impacts on individuals.
Labeling theory
Labeling theory suggests that when society labels someone as deviant, it can influence their behavior and identity. People may start to see themselves as the label they’ve been given, leading to more deviant actions. For example, if a teenager is labeled a "troublemaker" after being caught shoplifting, they might begin to act out more, fulfilling the label. This process can turn an initial minor act of deviance into a long-term pattern of behavior, driven by society’s response to the individual.
- Primary Deviance: A high school student skips class a few times or gets caught smoking a cigarette behind the school. This might be a one-time or isolated incident that doesn't lead to a permanent label or major consequences.
- Secondary Deviance: If that same student is labeled a "troublemaker" by teachers and peers, they might begin to act out more frequently, internalizing the label of "bad kid." As a result, they might get into further trouble, like skipping school regularly or engaging in more disruptive behaviors, and the deviant identity becomes a self-fulfilling prophecy.
In subsequent research, the study is expanded to examine how high-SES African American adolescents adapt to predominantly white neighborhoods. Which concept would be LEAST applicable to this follow-up study?
- A.Front stage self
- B.Intersectionality
- C.Social role conflict
- D.Demographic transition
Solution: The correct answer is D.
- Front stage self refers to an individual's impression management that is consistent with the expectations of a particular social role. This concept would be applicable to how an individual adapts to their social environment when they interact with others in that environment.
- Intersectionality (Intersectional approach) indicates that the different aspects of someone’s social background (e.g., race, ethnicity, age, gender, and class) might concomitantly bestow privileges or disadvantages on an individual. The question describes the intersection of racial and class backgrounds; therefore, intersectionality would apply to the study.
- Social role conflict indicates the conflicting demands of two different social roles an individual carries. Role conflict would be applicable to the study if the study found that an individual experienced a role conflict between their social role associated with their family background and their role as a member of the community.
- Demographic transition refers to the association between the level of socioeconomic development and the balance between fertility and mortality rates in a society. Because this approach focuses on the changes at the societal level, it would be least applicable to the follow-up study which requires a micro-level approach. Demographic transition refers to the shift in a country's population structure as it develops economically and socially. It describes the change from high birth and death rates to low birth and death rates over time, typically following a pattern that happens in stages. This transition is closely tied to changes in a society’s economic development, healthcare, education, and overall standard of living.
The researchers who conducted Study 1 were interested in the individual differences between the participants in terms of how they update their beliefs. The participants' scores on which variable would be most likely to predict how they update their beliefs?
- A.Optimism
- B.Self-esteem
- C.Impression management
- D.Self-efficacy
Solution: The correct answer is A.
- Findings from Study 1 demonstrate that participants are more likely to update their beliefs when the information is positive, which indicates an optimistic bias. Individuals higher in trait optimism may be more likely to show this tendency.
- Self-esteem is a person's global evaluation of self-worth. This is not relevant to making evaluations about the likelihood of negative events occurring.
- Impression management is the process by which an individual attempts to manage how they are perceived by others. This is not relevant to making evaluations about the likelihood of negative events occurring.
- Self-efficacy is one’s belief about one’s personal ability to perform behaviors that should lead to expected outcomes. This is not relevant to making evaluations about the likelihood of negative events occurring.
______________ is a tendency to think of things based on their usual functions. It is a barrier to problem solving rather than an approach to it.
Functional fixedness
In operant conditioning, partial reinforcement, rather than continuous reinforcement, leads to a response that is:
- A.slower to acquire and more resistant to extinction.
- B.faster to acquire and less resistant to extinction.
- C.faster to acquire and more resistant to extinction.
- D.slower to acquire and less resistant to extinction.
Solution: The correct answer is A.
- Continuous reinforcement refers to reinforcing every response emitted by an individual. Partial reinforcement occurs when only some of the responses emitted by an individual are reinforced. Continuous reinforcement is associated with a fast rate of acquisition, but quicker extinction. Partial reinforcement, on the other hand, is associated with slower acquisition and slower extinction.
- Compared to continuous reinforcement, partial reinforcement results in slower acquisition and greater resistance to extinction.
- Compared to continuous reinforcement, partial reinforcement results in slower acquisition.
- Compared to continuous reinforcement, partial reinforcement results in greater resistance to extinction
Which structural feature does NOT characterize modern economic systems?
- A.Division of labor
- B.Craft apprenticeship
- C.Occupational specialization
- D.Structural interdependence
Solution: The correct answer is B.
- Division of labor refers to how different socioeconomic classes complete different economic tasks that are interdependent. Division of labor is one of the major characteristics of modern economic systems.
- Craft apprenticeship indicates a lengthy training under an individual who is considered to have mastered the knowledge and the skills in a specific craft. In this relationship, the apprentice learns everything related to the craft from the experienced craftsperson. Therefore, craft apprenticeship requires a highly individualized relationship between the experienced craftsperson and the apprentice. In modern economic systems, some occupations, such as artisanal and small-scale products and services, still have vestiges of a craft apprenticeship; however, this stage is no longer a characteristic of modern economic systems which require formal education and training for employment.
- In modern economic systems, professions require specialization where employees are trained to accomplish certain tasks in a complex economic system.
- Modern economic systems are structurally interdependent to each other because the complexity of economic activities in these systems cannot be sustained only with the social and material resources in a single economy.
The categorization aspect of the cognitive functioning assessment involves which type of memory?
- A.Sensory memory
- B.Short-term memory
- C.Episodic memory
- D.Semantic memory
- The passage states that, "To assess cognitive functioning, [participants] were presented with a list of fifteen items categorizable as animals, clothing, and furniture. After participating in a 2-minute distraction task, they were asked to recall as many of the items as possible and categorize them." Sensory memory is the system of memory which preserves information in its original sensory form, typically only for a fraction of a second. This is not the type of memory involved in recalling previously learned information.
- Information is only maintained in short-term memory for approximately 20 seconds, unless it is actively rehearsed. Given the study included a 2-minute distraction task, the information being recalled would not be in short-term memory.
- Episodic memory is long-term memory for personally experienced events. This is not the memory system used to recall and categorize a list of items.
- Semantic memory is memory for facts and knowledge. This is the memory system used for a categorization task which requires participants to use pre-existing knowledge to sort the items.
Based on the passage, participation in which study is most likely to be associated with a decrease in hippocampal volume in rats?
A study on:
- A.the extinction of conditioned responses
- B.learned helplessness and avoidance learning
- C.the effectiveness of stimulants as reinforcers
- D.instinctive drift and classical conditioning
Solution: The correct answer is B.
- The passage states that, "Studies on animals have shown that chronic increases in stress-related hormones are associated with reduced dendritic spines, decreased long-term potentiation, and reduced neurogenesis in the hippocampus. Studies on humans show that people who have experienced posttraumatic stress disorder have reduced hippocampal volume." Extinction of conditioned responses does not require exposure to a stressor and thus is not relevant to the passage discussion of changes to hippocampal volume.
- Avoidance learning occurs when the individual responds to prevent the presentation of an aversive stimulus, while learned helplessness is a behavioral and physiological state that occurs as a result of exposure to uncontrollable aversive consequences. The inescapable aversive stimulus is a chronic stressor which would be predicted to be associated with decreased hippocampal volume.
- Stimulants are psychoactive substances which increase central nervous system activity. As they are not stressors, passage information does not support them being associated with a decrease in hippocampal volume.
- Instinctive drift refers to the interference of innate, species-specific behaviors with continued performance of a learned response. As this is not a stressor, it is not relevant to the passage discussion of decreased hippocampal volume.
What is the difference between informative vs normative social influence?
- Informational social influence occurs when individuals conform to others' behavior because they are in an ambiguous situation for which they do not have a script. This is not relevant to seeking social acceptance from a peer group.
- Normative social influence refers to individuals acting in ways that comply with the norms of their social groups. This is most relevant to the description of novice users who view drug use as a means of gaining social acceptance from a peer group.
Participants' responses to the self-statements on the inventory described in the passage could be affected by each of the following confounds EXCEPT:
- A.Hawthorne effect.
- B.demand characteristics.
- C.self-serving bias.
- D.confirmation bias.
Solution: The correct answer is D.
- The Hawthorne effect refers to the change in the participants’ behavior when they know their behavior is being observed, including via self-report. This may affect participants' responses to the self-statements on the inventory.
- Demand characteristics occur if the research design provides cues to the participants regarding the study hypothesis and causes them to respond in a specific manner. This may affect participants' responses to the self-statements on the inventory.
- Self-serving bias refers to the tendency to attribute one’s successes to internal, stable traits, and failures to situational factors. This may affect participants' responses to the self-statements on the inventory.
- Confirmation bias refers to the tendency to put more weight on information that confirms one’s preexisting attitudes. This would not affect participants' responses to the self-statements on the inventory.