What did Ian McHarg do to become known as the Grandfather of GIS?
Pioneered the concept of ecological planning and was fundamental in forming the basic concepts used in GIS
What is sieve mapping?
Process of adding transparent layers to a map such as roads, land use, boundaries, water, elevation, etc... (think High River flood map)
What did Roger Tomlinson do to become known as the Father of GIS?
Created the Canadian Geographic System which used a layered approach to mapping. Considered the first operational GIS, it stored geospatial data for the Canada Land Inventory
In 1964 SYMAP, one of the first computer mapping softwares was made by who?
Howard Fisher
In 1969, Jack and Laura Dangermond founded which institute that went on to found the first commercial GIS product.
ESRI
What was the first commercial GIS product?
ARC
How is volunteered geographic information acquired?
Phones, surveys, georeferenced images or tags, etc... If it knows where you are or where you're going it's VGI, can be intentional or unintentional
What are the five steps to the geographic approach
ask, acquire, examine, analyze, act
What is metadata
descriptive info about a data file
What is a geodatabase
a single folder that can hold numerous files with almost unlimited space
What is a feature class
A single data layer (point, line or polygon)
What is a feature dataset?

A grouping of multiple feature classes as a more effective way of storing and sharing data
When sharing packages from ArcGIS Pro you have three options. What are the differences between sharing a layer, map or project package?
Layer: one layer, includes layer's properties and data
Map: Shares map including properties and data for its layers
Project: entire project including properties, data toolboxes, styles, models and more
When sharing web content from ArcGIS Pro you can do it as a web layer or a web map. What is the positive of sharing data as web content as opposed to packages?
The data can be used in other apps (StoryMaps, Dashboards, Survey123...)
What does discrete object view use to represent the world?
Points, lines and polygons
How does continuous field view differ from discrete object view?
There are no hard boundaries (think temp, elevation...) thus continuous or along a continuum.
How does a raster data model represent the world?
With equally sized cells arranged in rows and columns
Between vector data and raster data which...
- is more prone to generalization?
- is effective for continous data?
- is more asthetically pleasing?
- can have blocky images?
- is more ideal for mathematical modelling?
- has accurate geographic locations without generalization?
- Rasters
- Rasters
- Vectors
- Rasters
- Rasters
- Vectors
In ArcGIS tables without spatial associations are called what?
Attribute tables
To join attribute tables what must they have in common?
A common field
How is a relate similar to a join? How is it different?
It requires a common field between tables but does not attach or move data
When are spatial joins used?
when layers do not have a common attribute field
In ArcGIS Pro what is an attribute?
Non-spatial data associated with a spatial location
Database queries use a specific syntax called...?
Structured Query Language (SQL)
What is a compound query?
A query used to make selections based on multiple
criteria.
What are the 4 logical operators used to make compound queries?
and, or, not, xor
If you want to select for attributes that meet both criteria A and B which logical operator would you use?
and
If you want to select for attributes that meet criteria A, B or both which logical operator would you use?
Or
If you have selected attributes with either A or B but not both you have used which logical operator?
XOR
If you have selected all attributes that do not meet criteria B which logical operator have you used?
Not
When making a spatial query (select by location) what is the difference between "within" and "contains"
Within=is (at least) partially inside of the defined search area
Contains=surrounds or holds (at least partially) the specified feature
ex. Alberta is within Canada therefor Canada contains Alberta
ex. Lethbridge is contained by Alberta therefor Lethbridge is within Alberta
According to spatial relationships Alberta is not considered completely within Canada. Why?
Its border touches The States.
Does the United States completely contain Kansas? Does it contain or completely contain Texas?
Completely contains Kansas, contains Texas (not completely contains) because it borders Mexico.
What is digitizing?
Process of creating points, lines, or polygons which represent features from a map or image.
What is the 0.5 mm rule of digitization?
For every additional 50,000 in the scale ratio there can only be maximum 0.5 mm or error.
ex. 0.5 mm on a 1:50,000 map is ± 25 m, 1 mm 1:50,000 map is ± 50 m...
What are the two types of digitization? Which is mostly obsolete now?
Heads down and heads up, heads down is mostly obsolete
Heads _________ digitizing needed a Digitizing tablet and a Hardcopy map while heads ___________ digitizing needs a computer and Satellite images, air photos, or scanned maps
Down, up
What is a sliver polygon?
Unwanted small polygons created when there is a gap or overlay between digitized polygons
How can you avoid creating sliver polygons?
By using the snapping tool
What is georeferencing?
The process of aligning an unreferenced dataset to one that has a spatial reference system.
What are the locations that are identifiable and have known
coordinates used to tie the unreferenced dataset to one with
known coordinates?
Control points
Which two are good control points:
Road intersections, boulders, tops of buildings, trees, shorelines?
Road intersections and boulders
Why are shorelines bad control points?
They erode and shift with time
There are three transformations that can happen depending on the amount of ground control points used: first, second and third order affines. How many ground control points (GCPs) do they each require minimum?
first-order affine=3
second-order affine=6
third-order affine=10
What does each transformation do? (hint first order does 3)
First-order= shift, scale, rotate
Second-order= bend
Third-order= twist
When a transformation is applied the residual error is calculated. What is this an assessment of?
The transformation accuracy
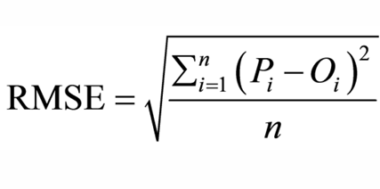
What is Root Mean Squared Error?

the square root of the mean value of all the squared errors (residuals).
How many GCPs are needed to calculate the RMSE?
4
Do you want your RMSE to be high or low?
Low
How does a Forward residual show error compared to a Inverse residual
Shows the error in the same units as the data frame vs measuring the
overall accuracy by
pixels
What is resampling?
When each cell is goven a new value based on its location following a transformation
What are the three common methods of resampling?
Nearest neighbor, Bilinear interpolation, Cubic convolution
Nearest neighbour corrects images based on what?
The nearest pixel
Bilinear interpolation corrects images based on what?
a weighted average of four pixels in the original grid nearest the new pixel
Cubic convolution corrects images based on what?
A weighted average of 16 pixels from the original grid that surrounds the new output pixel.
Of the three resampling methods which one produces a blocky appearance?
Nearest neighbour
What does spatial analysis describe?
How features are spatially related to one another
Thiessen polygons are a representation of proximity in spatial analysis. What do they show?

Area is divided into closest proximities to selected points
What is a buffer?

A spatial proximity around a point, line or polygon
Do buffers use Manhattan or Euclidean distance?
Euclidean
Spatial analysis using Manhattan distance is called what?
Network Analysis
When using Near features nothing is changed visually but the data is still stored where?
As a new field in the attribute table
Kernel Density (KDE) calculates what?
The density of point features around each output raster cell
What do you move across the data using KDE and what does it count?
a window, it counts the points within the window to calculate density
Each cell within a raster can represent how many points?
Just one
What is a vertical datum? What is it determined by?
A baseline used for measuring elevation determined by mean sea level curtesy of the geoid
What is elevation represented by on topographic maps?
Contour lines
What is LiDAR? (Light detection and Ranging)
A modelling method where laser pulses are shot to the ground and their return time is measured
What are digital elevation models (DEMs)?
Representations of the surface of the Earth
What are triangulated Irregular Networks (TINs)?
A vector based approach to creating Digital Elevation models where points are connected with non-overlapping triangles
Are DEMs or TINs better at...
- processing faster
- displaying linear features
- Varying the density of points according to terrain
- DEMs
- TINs
- TINs
Are DEMs or TINs worse at...
- Vertices storing x, y, z coordinates
- complex topography
- Redundant data in low-relief areas
- TINs
- DEMs
- DEMs
What are digital surface models (DSMs) ? What do they look like?

A measurement of ground elevation heights as well as the objects on the ground. Look like a thin sheet draped over the surface
What is a surface drape?
An image overlayed (or draped) onto a DEM
What makes rasters ideal for math?
Each cell has only one value
What are predictive surfaces?
Models where known measurements of locations are used to predict values in location that were not measured
Are predictive surfaces used for discrete or continuous data?
Continuous
Predictive surfaces can be used to interpolate. What is interpolation?
Interpolation is the process of predicting values between known points
Some predictive surfaces can be used to extrapolate. What is extrapolation?
Extrapolation is predicting values outside of known sample points
Exact interpolation creates a surface that _________
____________
all known points
passes through
Approximate interpolation creates a surface that may _______ from known values
vary
(Local/Global) methods use all the data in the study area while (Local/Global) methods use spatially defined data subsets.
Global, local
Name the four predictive surfaces we covered in class
Inverse Distance Weighting (IDW), Natural Neighbor, Spline, Trend
What is Tobler's first law of geography?
“Everything is related to everything else, but near things are more related than distant things.” Waldo R. Tobler (1969)
Which predictive surface will use the nearest input samples to the grid cell (location on a raster) you've chosen and weights them based on proportionate areas (Thiessen polygons) overlapping the grid cell area?

Natural Neighbor
Which predictive surface uses a weighted combination of sample points with power controls that change their significance based on their distances from other points?
Inverse Distance Weighting
Which predictive surface minimizes curvature to create a smooth surface and that exceeds the minimum and maximum values when used for exact interpolation?
Spline
What are the two types of spline, which has a smoother surface?
Regularized and Tension, Regularized has a smoother surface
Both spline methods exceed the min/max values but which is exact and which is approximate?

Regularized is exact, tension is approximate
Trend is a global polynomial interpolation method used to capture coarse-scale patterns. Using first-order polynomials gives you a linear surface. How many bends will appear if you use a second-order polynomial? A Third-order polynomial?
one, two, pattern continues....

Which predictive surfaces do not extrapolate?
IDW and Natural neighbour
Which predictive surfaces are approximate?
Tension spline and trend