Which of the following has eight valence electrons?
A)
Ti4+
B) Kr
C) Cl-
D) Na+
E) all of the above
E
Which of the following does not have eight valence electrons?
A)
Ca+
B) Rb+
C) Xe
D) Br-
E) All of the above have
eight valence electrons.
A
Lattice energy is ________.
A) the energy required to convert a
mole of ionic solid into its constituent ions in the gas phase
B)
the energy given off when gaseous ions combine to form one mole of an
ionic solid
C) the energy required to produce one mole of an
ionic compound from its constituent elements in their standard
states
D) the sum of ionization energies of the components in an
ionic solid
E) the sum of electron affinities of the components
in an ionic solid
A
In ionic bond formation, the lattice energy of ions ________ as the
magnitude of the ion charges ________ and the radii ________.
A)
increases, decrease, increase
B) increases, increase,
increase
C) decreases, increase, increase
D) increases,
increase, decrease
E) increases, decrease, decrease
D

The diagram below is the Born-Huber cycle for the formation of crystalline potassium fluoride.
5) Which energy change corresponds to the electron affinity of
fluorine?
A) 2
B) 5
C) 4
D) 1
E) 6
C

Which energy change corresponds to the first ionization energy of
potassium?
A) 2
B) 5
C) 4
D) 3
E) 6
D
Using the Born-Haber cycle, the ΔH°f of KBr is equal to
________.
A) ΔH°f [K (g)] + ΔH°f [Br (g)] + I1(K) + E(Br) +
ΔHlattice
B) ΔH°f [K (g)] - ΔH°f [Br (g)] - I1(K) - E(Br) -
ΔHlattice
C) ΔH°f [K (g)] - ΔH°f [Br (g)] + I1(K) - E(Br) +
ΔHlattice
D) ΔH°f [K (g)] + ΔH°f [Br (g)] - I1 - E(Br) +
ΔHlattice
E) ΔH°f [K (g)] + ΔH°f [Br (g)] + I1(K) + E(Br) - ΔHlattice
E
The type of compound that is most likely to contain a covalent bond
is ________.
A) one that is composed of a metal from the far left
of the periodic table and a nonmetal from the far right of the
periodic table
B) a solid metal
C) one that is composed of
only nonmetals
D) held together by the electrostatic forces
between oppositely charged ions
E) There is no general rule to
predict covalency in bonds.
C
In which of the molecules below is the carbon-carbon distance the
shortest?
A) H2C=CH2
B) H-C≡C-H
C) H3C-CH3
D)
H2C=C=CH2
E) H3C-CH2-CH3
B
Of the molecules below, the bond in ________ is the most
polar.
A) HBr
B) HI
C) HCl
D) HF
E) H2
D
Which of the following has the bonds correctly arranged in order of
increasing polarity?
A) Be—F, Mg—F, N—F, O—F
B) O—F, N—F,
Be—F, Mg—F
C) O—F, Be—F, Mg—F, N—F
D) N—F, Be—F, Mg—F,
O—F
E) Mg—F, Be—F, N—F, O—F
B
Which of the following bonds would be considered non-polar
covalent?
A) N-H
B) C-H
C) O-H
D) C-Cl
E) C-O
B
The Lewis structure of N2H2 shows ________.
A) a
nitrogen-nitrogen triple bond
B) a nitrogen-nitrogen single
bond
C) each nitrogen has one nonbonding electron pair
D)
each nitrogen has two nonbonding electron pairs
E) each hydrogen
has one nonbonding electron pair
C

The Lewis structure of the CO32- ion is ________.
A
How many electrons are in the Lewis structure of a nitrite ion
(NO2-)?
A) 18
B) 17
C) 16
D) 23
E) 24
A
Resonance structures differ by ________.
A) number and placement
of electrons
B) number of electrons only
C) placement of
atoms only
D) number of atoms only
E) placement of electrons only
E
The oxidation number of iron in Fe2O3 is ________.
A) -2
B)
+1
C) +3
D) +2
E) -3
C
To convert from one resonance structure to another, ________.
A)
only atoms can be moved
B) electrons and atoms can both be
moved
C) only electrons can be moved
D) neither electrons
nor atoms can be moved
E) electrons must be added
C
For ________ forms of a molecule or ion, the observed structure is an
average of the ________ forms.
A) resonance, covalent
B)
resonance, resonance
C) ionic, resonance
D) resonance,
ionic
E) resonance, metallic
B
(i) NO2- (ii) NO3- (iii) SO3 2- (iv) SO4 2- (v) BrO3-
There can be two equivalent best resonance structures of
________.
A) (i)
B) (ii)
C) (iii)
D) (iv)
E) (v)
A
(i) NO2- (ii) NO3- (iii) SO3 2- (iv) SO4 2- (v) BrO3-
There can be three equivalent best resonance structures of
________.
A) (ii), (iii), and (v)
B) (i) and (ii)
C)
(iii) and (v)
D) (iii), (iv), and (v)
E) all
A
A valid Lewis structure of ________ cannot be drawn without violating
the octet rule.
A) NF3
B) IF3
C) PF3
D)
SbF3
E) SO42-
B
Based on the octet rule, boron will most likely form a ________
ion.
A) B3-
B) B+
C) B3+
D) B2+
E) B2-
C
Which of the following does not have eight valence electrons?
A)
Cl-
B) Xe
C) Ti+4
D) Rb+
E) Sr+
E
Which of the following Lewis structures would be an expansion to the
octet rule?
A) SiF4
B) CF4
C) CCl4
D)
PO43-
E) NF3
D
The central atom in ________ does not violate the octet rule.
A)
SF4
B) KrF2
C) CF4
D) XeF4
E) ICl4-
C
Which of the following Lewis structures would be an expansion to the
octet rule?
A) PH3
B) PCl3
C) CCl4
D) CO2
E) SO3
E
A valid Lewis structure of ________ cannot be drawn without violating
the octet rule.
A) NI3
B) SO2
C) ICl5
D)
SiF4
E) CO2
C
Which of the following Lewis structures would be an incomplete
octet?
A) NF3
B) SO2
C) BCl3
D) CF4
E) SO32-
C
Why don't we draw double bonds between the Be atom and the Cl atoms
in BeCl2?
A) That would give positive formal charges to the
chlorine atoms and a negative formal charge to the beryllium
atom.
B) There aren't enough electrons.
C) That would result
in more than eight electrons around beryllium.
D) That would
result in more than eight electrons around each chlorine atom.
E)
That would result in the formal charges not adding up to zero.
A
Which of the following atoms may have an expansion to the
octet?
A) P
B) C
C) H
D) O
E) B
A
Bond enthalpy is ________.
A) always positive
B) always
negative
C) sometimes positive, sometimes negative
D) always
zero
E) unpredictable
A
Given that the average bond energies for C-H and C-Br bonds are 413
and 276 kJ/mol, respectively, the heat of atomization of bromoform
(CHBr3) is ________ kJ/mol.
A) 1241
B) 689
C)
-689
D) 1378
E) -1378
A
Of the bonds C-C, C=C, and C≡C, the C-C bond is ________.
A)
strongest/shortest
B) strongest/longest
C)
weakest/longest
D) weakest/shortest
E) intermediate in both
strength and length
C
) Of the bonds C-N, C=N, and C≡N, the C-N bond is ________.
A)
strongest/shortest
B) strongest/longest
C)
weakest/shortest
D) weakest/longest
E) intermediate in both
strength and length
D
As the number of covalent bonds between two atoms increases, the
distance between the atoms ________ and the strength of the bond
between them ________.
A) increases, increases
B) decreases,
decreases
C) increases, decreases
D) decreases,
increases
E) is unpredictable, is unpredictable
D
Of the possible bonds between carbon atoms (single, double, and
triple), ________.
A) a triple bond is longer than a single
bond
B) a double bond is stronger than a triple bond
C) a
single bond is stronger than a triple bond
D) a double bond is
longer than a triple bond
E) a single bond is stronger than a
double bond
D
Most explosives are compounds that decompose rapidly to produce
________ products and a great deal of ________.
A) gaseous,
gases
B) liquid, heat
C) soluble, heat
D) solid,
gas
E) gaseous, heat
E
Dynamite consists of nitroglycerine mixed with diatomaceous earth or
cellulose. What is another name for dynamite?
A) KBr
B)
KOH
C) TNT
D) C-4
E) CFC
C
________ is an explosive made of nitroglycerine and an absorbent such
as diatomaceous earth.
A) KOH
B) TNT
C) C-4
D)
KBr
E) CFC
B
Based on the octet rule, magnesium most likely forms a ________
ion.
A) Mg2+
B) Mg2-
C) Mg6-
D) Mg6+
E) Mg-
A
Based on the octet rule, phosphorus most likely forms a ________
ion.
A) P3+
B) P3-
C) P5+
D) P5-
E) P+
B
Based on the octet rule, aluminum most likely forms an ________
ion.
A) Al3+
B) Al4+
C) Al4-
D) Al+
E) Al-
A
Based on the octet rule, iodine most likely forms an ________
ion.
A) I2+
B) I4+
C) I4-
D) I+
E) I-
E
The electron configuration of the phosphide ion (P3-) is
________.
A) [Ne]3s2
B) [Ne]3s23p1
C)
[Ne]3s23p3
D) [Ne]3p2
E) [Ne]3s23p6
E
The electron configuration of the sulfide ion (S2-) is
________.
A) [Ne]3s2
B) [Ne]3s23p1
C)
[Ne]3s23p4
D) [Ne]3p2
E) [Ne]3s23p6
E
The halogens, alkali metals, and alkaline earth metals have ________
valence electrons, respectively.
A) 7, 4, and 6
B) 1, 5, and
7
C) 8, 2, and 3
D) 7, 1, and 2
E) 2, 7, and 4
D
The only noble gas without eight valence electrons is
________.
A) Ar
B) Ne
C) He
D) Kr
E) All
noble gases have eight valence electrons.
C
Which of the following would have to lose two electrons in order to
achieve a noble gas electron configuration?
O Sr Na Se Br
A) O, Se
B) Sr
C) Na
D) Br
E) Sr, O, Se
B
Which of the following would have to lose three electrons in order to
achieve a noble gas electron configuration?
Si Mg Al Cl P
A) Si, P
B) Al
C) P
D) Cl
E) Mg, Al, P
B
Which of the following would have to gain two electrons in order to
achieve a noble gas electron configuration?
O Sr Na Se Br
A) Br
B) Sr
C) Na
D) O, Se
E) Sr, O, Se
D
For a given arrangement of ions, the lattice energy increases as
ionic radius ________ and as ionic charge ________.
A) decreases,
increases
B) increases, decreases
C) increases,
increases
D) decreases, decreases
E) This cannot be predicted.
A
For a given arrangement of ions, the lattice energy decreases as
ionic radius ________ and as ionic charge ________.
A) decreases,
increases
B) increases, decreases
C) increases,
increases
D) decreases, decreases
E) This cannot be predicted.
B
The electron configuration of the S2- ion is ________.
A)
[Ar]3s23p6
B) [Ar]3s23p2
C) [Ne]3s23p2
D)
[Ne]3s23p6
E) [Kr]3s22p6
D
The electron configuration of the P3- ion is ________.
A)
[Ar]3s23p6
B) [Ar]3s23p2
C) [Ne]3s23p6
D)
[Ne]3s23p2
E) [Kr]3s22p6
C
What species has the electron configuration [Ar]3d2?
A)
Mn2+
B) Cr2+
C) V3+
D) Fe3+
E) K+
C
What species has the electron configuration [Ar]3d4?
A)
Mn2+
B) Cr2+
C) V3+
D) Fe3+
E) K+
B
What is the electron configuration for the Co2+ ion?
A)
[Ar]4s13d6
B) [Ar]3d7
C) [Ar]3d5
D) [Ar]4s23d9
E) [Ne]3s23p10
B
What is the electron configuration for the Fe3+ ion?
A)
[Ar]4s13d6
B) [Ar]4s03d7
C) [Ar]4s03d5
D)
[Ar]4s23d9
E) [Ne]3s23p10
C
What is the electron configuration for the Cu2+ ion?
A)
[Ar]4s13d10
B) [Ar]4s03d10
C) [Ar]4s03d9
D)
[Ar]4s23d9
E) [Ar]4s03d11
C
The formula of palladium (IV) sulfide is ________.
A)
Pd2S4
B) PdS4
C) Pd4S
D) PdS2
E) Pd2S2
D
Elements from opposite sides of the periodic table tend to form
________.
A) covalent compounds
B) ionic compounds
C)
compounds that are gaseous at room temperature
D) homonuclear
diatomic compounds
E) covalent compounds that are gaseous at room temperature
B
Determining lattice energy from Born-Haber cycle data requires the
use of ________.
A) the octet rule
B) Coulomb's law
C)
Periodic law
D) Hess's law
E) Avogadro's number
D
A ________ covalent bond between the same two atoms is the
longest.
A) single
B) double
C) triple
D)
strong
E) They are all the same length.
A
How many hydrogen atoms must bond to silicon to give it an octet of
valence electrons?
A) 1
B) 2
C) 3
D) 4
E) 5
D
A double bond consists of ________ pairs of electrons shared between
two atoms.
A) 1
B) 2
C) 3
D) 4
E) 6
B
A triple bond consists of ________ pairs of electrons shared between
two atoms.
A) 1
B) 2
C) 3
D) 4
E) 6
C
What is the maximum number of double bonds that a hydrogen atom can
form?
A) 0
B) 1
C) 2
D) 3
E) 4
A
What is the maximum number of double bonds that a carbon atom can
form?
A) 4
B) 1
C) 0
D) 2
E) 3
D
What is the maximum number of triple bonds that a carbon atom can
form?
A) 4
B) 1
C) 0
D) 2
E) 3
B

In the molecule below, which atom has the largest partial negative charge?
A) Cl
B) F
C) Br
D) I
E) C
B
The ability of an atom in a molecule to attract electrons is best
quantified by the ________.
A) paramagnetism
B)
diamagnetism
C) electronegativity
D) electron charge-to-mass
ratio
E) first ionization potential
C
Given the electronegativities below, which covalent single bond is
most polar?
Element: H C N O
Electronegativity: 2.1 2.5 3.0 3.5
A) C—H
B) N—H
C) O—H
D) O—C
E) O—N
C
Electronegativity ________ from left to right within a period and
________ from top to bottom within a group.
A) decreases,
increases
B) increases, increases
C) increases,
decreases
D) stays the same, increases
E) increases, stays
the same
C
Electropositivity ________ from left to right within a period and
________ from top to bottom within a group.
A) decreases,
increases
B) increases, increases
C) increases,
decreases
D) stays the same, increases
E) increases, stays
the same
A
A nonpolar bond will form between two ________ atoms of ________
electronegativity.
A) different, opposite
B) identical,
different
C) different, different
D) similar,
different
E) identical, equal
E
The ion ICl4- has ________ valence electrons.
A) 34
B)
35
C) 36
D) 28
E) 8
C
The ion NO- has ________ valence electrons.
A) 15
B)
14
C) 16
D) 10
E) 12
E
The ion PO43- has ________ valence electrons.
A) 14
B)
24
C) 27
D) 29
E) 32
E
The Lewis structure of AsH3 shows ________ nonbonding electron
pair(s) on As.
A) 0
B) 1
C) 2
D) 3
E) This
cannot be determined from the data given.
B
The Lewis structure of PF3 shows that the central phosphorus atom has
________ nonbonding and ________ bonding electron pair(s).
A) 2,
2
B) 1, 3
C) 3, 1
D) 1, 2
E) 3, 3
B
The Lewis structure of HCN (H bonded to C) shows that ________ has
________ nonbonding electron pair(s).
A) C, 1
B) N,
1
C) H, 1
D) N, 2
E) C, 2
B

The formal charge on carbon in the molecule below is ________.
A) 0
B) +1
C) +2
D) +3
E) -1
A

The formal charge on nitrogen in NO3- is ________, where the Lewis structure of the ion is:
A) -1
B) 0
C) +1
D) +2
E) -2
C

The formal charge on sulfur in SO42- is ________, where the Lewis structure of the ion is:
A) -2
B) 0
C) +2
D) +4
E) -4
B
In the Lewis structure of ClF, the formal charge on Cl is ________,
and the formal charge on F is ________.
A) -1, -1
B) 0,
0
C) 0, -1
D) +1, -1
E) -1, +1
B
In the Lewis structure of HCO3-, the formal charge on H is ________,
and the formal charge on C is ________.
A) -1, -1
B) 0,
0
C) 0, -1
D) +1, -1
E) -1, +1
B

In the resonance form of ozone shown below, the formal charge on the central oxygen atom is ________.
A) 0
B) +1
C) -1
D) +2
E) -2
B
How many equivalent resonance forms can be drawn for CO32-? (Carbon
is the central atom.)
A) 1
B) 2
C) 3
D) 4
E) 0
C
How many equivalent resonance forms can be drawn for the nitrate
ion?
A) 0
B) 2
C) 3
D) 4
E) 1
C
How many equivalent resonance structures can be drawn for the
molecule of SO3 without having to violate the octet rule on the sulfur
atom?
A) 5
B) 2
C) 1
D) 4
E) 3
E
How many different types of resonance structures can be drawn for the
ion SO32-?
A) 1
B) 2
C) 3
D) 4
E) 5
C

Using the table of average bond energies below, the ΔH for the reaction is ________ kJ.
Bond: C≡C C-C H-I C-I C-H
D (kJ/mol): 839 348 299 240 413
A) +160
B) -160
C) -217
D) -63
E) +63
C
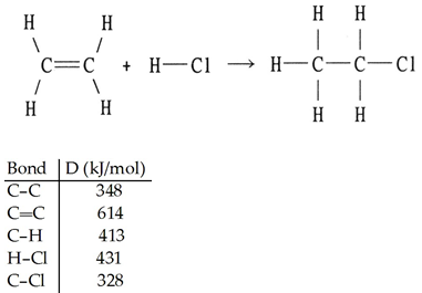
Using the table of average bond energies below, the ΔH for the reaction is ________ kJ.
H-C≡C-H (g) + H-Cl (g) → H2C=CHCl (g)
Bond: C≡C C=C H-Cl C-Cl
C-H
D (kJ/mol): 839 614 431 328 413
A) +741
B) -85
C) -839
D) -741
E) +85
B
Using the table of average bond energies below, the △H for the reaction is ________ kJ.
H3C-O-H (g) → C≡O (g) + 2H2 (g)
Bond: C-O C=O C≡O C-H H-H
O-H
D (kJ/mol): 358 799 1072 413 436 463
A) +276
B) -276
C) +116
D) +735
E) -116
C

Using the table of bond dissociation energies, the ΔH for the following gas-phase reaction is ________ kJ.
A) -44
B) 38
C) 304
D) 2134
E) -38
A

Using the table of bond dissociation energies, the ΔH for the reverse of following gas-phase reaction is ________ kJ.
A) +57
B) +291
C) 2017
D) -57
E) -291
A

Using the table of bond dissociation energies, the ΔH for the
following reaction is ________ kJ.
2HCl (g) + F2 (g) → 2HF (g) +
Cl2 (g)
A) -359
B) -223
C) 359
D) 223
E) 208
A
There are ________ paired and ________ unpaired electrons in the
Lewis symbol for a fluorine atom.
A) 4, 2
B) 4, 1
C) 6,
1
D) 0, 5
E) 2, 5
C
The ________ ion has a noble gas electron configuration.
A) Be2+
B) Li2+
C) Li
D) Mg2-
E) Al2+
A
The ________ ion has a noble gas electron configuration.
A) Cl-
B) F2-
C) F
D) S2+
E) O-
A
The ________ ion has eight valence electrons.
A) Sc3+
B)
Ti3+
C) V3+
D) Cr3+
E) Mn3+
A
There are ________ unpaired electrons in the Lewis symbol for an
oxygen atom .
A) 0
B) 1
C) 2
D) 4
E) 3
C
What is the principal quantum number of the last shell for the
element barium?
A) 5
B) 4
C) 3
D) 6
E) 2
D
The oxide of which of the following metals should have the greatest
lattice energy?
A) calcium
B) strontium
C)
magnesium
D) beryllium
E) barium
D
The ________ ion is represented by the electron configuration
[Ar]3d2.
A) Cr4+
B) V4+
C) Ti4+
D) Mn4+
E) Sc4+
A
Which of the following species does the noble gas electron
configuration [Kr]4d10 represent?
A) Cd
B) Cd+
C) Ag+
D) Ag2+
E) Sr2+
C
Which of the following noble gas electron configurations represents
the Ru+ cation?
A) [Kr]5s24d5
B) [Kr]5s24d7
C)
[Kr]4d5
D) [Ar]4s13d6
E) [Kr]5s14d6
E
Ni2+ ions are represented by the electron configuration
________.
A) [Ar]3d8
B) [Ar]3d10
C) [Ar]3d6
D)
[Ar]4s23d6
E) [Kr]4d8
A
How many single covalent bonds must a chlorine atom form to have a
complete octet in its valence shell?
A) 0
B) 1
C)
2
D) 3
E) 4
B
The most electronegative atom of the ones listed below is
________.
A) B
B) Al
C) Ga
D) In
E) Tl
A
Of the atoms below, ________ is the most electronegative.
A)
Ba
B) Sr
C) Ca
D) Mg
E) Be
E
Of the atoms below, ________ is the most electronegative.
A)
C
B) Si
C) Ge
D) B
E) Al
A
Of the atoms below, ________ is the least electronegative.
A)
B
B) F
C) C
D) N
E) O
A
Of the bonds below, ________ is the least polar.
A) C-O
B)
N-O
C) C-F
D) S-O
E) K-Br
B
Which two bonds are most similar in polarity?
A) O-F and
Cl-F
B) B-F and Cl-F
C) Al-Cl and I-Br
D) I-Br and
Si-Cl
E) C-Cl and Be-Cl
A
There are ________ valence electrons in the Lewis structure of
CH3Cl.
A) 14
B) 16
C) 18
D) 20
E) 22
A
How many valence electrons are in the Lewis structure of
CH3OCH3.?
A) 16
B) 18
C) 20
D) 24
E) 22
C
In the Lewis symbol for a nitrogen atom, there are ________ paired
and ________ unpaired electrons.
A) two, three
B) one,
three
C) three, two
D) zero, five
E) two, two
A
The oxidation number of phosphorus in PF5 is ________.
A)
+5
B) +3
C) +1
D) -5
E) 0
A
The central atom in ________ violates the octet rule.
A) PF5
B) SF2
C) Cl2
D) Br2CO
E) FCN
A
Of the following, ________ cannot accommodate more than an octet of
electrons.
A) Ni
B) Sc
C) Be
D) Os
E) Sb
C
How many covalent bonds are in the Lewis Structure of
CH3CHCl2.?
A) 6
B) 8
C) 7
D) 5
E) 4
C

The electron configuration that corresponds to the Lewis symbol, [see img] is ________.
[Ne]3s23p6
Write the balanced chemical equation for the reaction for which △H°rxn is the lattice energy for sodium chloride.
NaCl (s) → Na+ (g) + Cl- (g)
Using the noble gas shorthand notation, write the electron configuration for Fe2+.
[Ar]3d6
Give the electron configuration of Zn2+.
[Ar]3d10
Which halogen, bromine or iodine, will form the more polar bond with phosphorus?
bromine
Draw the Lewis structure of ICl2+.

) If more than one Lewis structure can be drawn then the molecule or ion is said to have ________ forms.
resonance
How many resonance forms exist for benzene?
two
If the bonds in the reactants of a reaction are weaker than the bonds in the product, the reaction is ________.
exothermic
Which two elements in period 2 form compounds that can violate the octet rule?
boron and beryllium
Polyatomic ions with an even number of electrons will follow the ________ rule.
octet
The strength of a ________ bond is measured by its bond enthalpy.
covalent
An exothermic reaction should have ________ chemical bonds and decompose to a molecule with ________ bonds.
weak, strong
Calculate the bond energy of C—F given that the heat of atomization of CHFClBr is 1502 kJ/mol, and that the bond energies of C—H, C—Br, and C—Cl are 413, 276, and 328 kJ/mol, respectively.


The reaction below is used to produce methanol:
CO (g) + 2H2 (g) → CH3OH (l) △Hrxn = -128 kJ
(a) Calculate the C—H bond energy given the following data: [see img]
(b) The tabulated value of the (C-H) bond energy is 413 kJ/mol. Explain why there is a difference between the number you have calculated in (a) and the tabulated value.
(a)
△Hrxn = D(C≡O) + 2 D(H-H) - [3 D(C-H) + D(C-O) +
D(O-H)]
3 D(C-H) = -△Hrxn + D(C≡O) + 2 D(H-H) - D(C-O) -
D(O-H)
D(C-H) = (128 + 1072 + 2(436) - 358 - 463)/3 = 417
D(C-H) = 417 kJ/mol
(b)
Tabulated values, like those in Table 8.4, are averaged
from many bond energies measured for C—H bonds in many different molecules.

From the information given below, calculate the heat of combustion of methane. Start by writing the balanced equation.
CH4 + 2O2 → CO2 + 2H2O
ΔHcombustion = (4 mol C—H)(DC—H) + (2 mol
O O)(DO O)
- [(2 mol C O)(DC O) - (4 mol O—H)(DO—H)]
= [(4
× 413 + 2 × 495) - (2 × 799 + 4 × 463)] kJ
ΔHcombustion = -808 kJ
Atoms surrounded by eight valence electrons tend to lose electrons.
false
The greater the lattice energy, the greater the charges on the participatory ions and the smaller their radii.
true
Most transition metals do not form ions with a noble gas configuration.
true
When a metal gains an electron, the process is endothermic.
false
Electron affinity is a measure of how strongly an atom can attract additional electrons.
true
As electronegativity difference increases, bond length will decrease.
true
In some molecules and polyatomic ions, the sum of the valence electrons is odd and as a result the octet rule fails.
true
A positive change in bond enthalpy is required to break a bond.
true