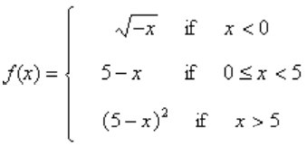
If f(x) = 3x + 1nx, find f-1(3)
1
Solve each equation for x
a) 1nx = 4
b)eex = 2
x = e4, x = ln(ln 2)
Simplify the expression
sin (2cos-14x)
8x√1-16x2
Fill in the blanks
Let f(x) = 5 + x2 + tan(πx/2), where -1 < x < 1
5,3
Determine whether f is even, odd, or neither
f(x) = 8x2/x4 + 1
even
Find the range of the function
h(x) = √4 - x2
0 ≤ h(x) ≤ 2

The graphs of f(x) and g(x)are given.
a) For what values of x
is f(x) - g(x)?
b) Find the values of f(-2) and g(4) .
a) -2, 10
b) f(-2) = 6, g(4) = 2
A spherical balloon with radius r inches has volume 4/3 πr.
Find
a function that represents the amount of air required to inflate the
balloon from a radius of r inches to a radius of r + 1 inches.
4/3 π(3r2 + 3r + 1)
It makes sense that the larger the area of a region, the larger the
number of species that inhabit the region. Many ecologists have
modeled the species-area relation with a power function and, in
particular, the number of species S of bats living in caves in central
Mexico has been related to the surface area A measured in
m2 of the caves by the equation S = 0.7A03
(a) The cave called mission impossible near puebla, mexico, has
suface area of A = 90m2. How many species of bats would
expect to find in that cave?
(b) If you discover that 5 species
of bats live in cave estimate the area of the cave
a) 3 species
b) 702m2

The relationship between the Fahrenheit and Celsius temperature scales is given by the linear function.
F = 9/5 C + 32
Complete the table and find the slope.
(10,50)(-18,0);slope = 2
Plot the graph of the function in (a) the standard viewing window and (b) the indicated window
f(x) = x√7-x4, [-3, 3] X [-5,5]

Plot the graph of the function f in an appropriate viewing window.
f(x) = 2x3 - 5x2 + 4x + 27

Find the points of intersection of the graphs of the functions. Express your answers accurate to five decimal places.
f(x) = 0.3x2 - 1.1x - 3.5;
g(x) = -0.2x2 + 0.4x + 6.9
(-3.30104, 3.40021), (6.30104, 1.47979)

Determine whether f is one-to-one.
Yes

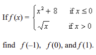
f(-4) = 19, f(0) = 3, f(1) = 1

Refer to the graph of the function f in the following figure.
a. Find f (3).
b. Find the value of x for which (i)
f(x) = 1 and (ii) f(x) = 0.
c. Find the domain and range of f
a. 0
b. (i) 4 (ii) 3, 5
c. D: [3,6], R: [-3,1]
Let f(x) = x2 -6x + 7 and g(x) = √x+3, Find (g ⚬ f)(9)
√37
Find f ⚬ g ⚬ h if
f(x) = √x, g(x) = 7x + 4, and h(x) x2 - 4
√7x2-24
Let f(x) = x2 - 18x + 75 and g(x) = √x+7. Find (f ⚬ g)(74)(g ⚬ g)(74)
-6
Find the function g such that h(x) = (g ⚬ f)(x)
h(x) = sin5x and f(x) = sin x
g(x) = x5
Find all solutions of the equation correct to two decimal places.
√x = x3 - 4
1.75
Solve each equation for x
a) ln x = 6
b) eex = 2
x = e6, x = ln(ln 2)
Find the exact value of the expression.
tan(arcsin 1/2}
√3/3
Find the range of the function
h(x) = √25-x2
0≤h(x)≤5
Express the function in the form of f ⚬ g ⚬ h
H(x) = 3 - 6x3
h(x) = x3, g(x) = 6x, f(x) = 3 - x
Plot the graph of the function f in an appropriate viewing window.
f (x) = 5x4 – 3x3 + 3x2 – x + 26

Find the points of intersection of the graphs of the functions.
Express your answers accurate to five decimal places.
f(x) =
0.3x2 – 1.2x – 3.4; g(x) = –0.2x2 + 0.2x + 6.3
(–3.22169, 3.57981), (6.02169, 0.25219)

Determine whether f is one-to-one.
No

The graph of f is given. Sketch the graph of f-1 on the same set of axes.

Find the inverse of f. Then sketch the graphs of f and f-1 on the same set of axes.
f(x) = cos-1(x/2), -2≤x≤2

f-1(x) = 2cos x, 0 ≤ x ≤ π

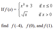
f(-1) = 9, f(0) = 8, f(1) = 1
Refer to the graph of the function f in the following figure.
a. Find f(0).
b. Find the value of x for which (i) f(x)
= 1and (ii) f(x) = 0 .
c. Find the domain and range of f.
a. 0
b. (i) 1 (ii) 0, 2
c. D: [0, 3], R: [–3, 1]
Determine whether the function is even, odd, or neither.
f(x) = 2x2 + 9x
Neither

The following figure shows a portion of the graph of a function f defined on the interval [-1,1]. Sketch the complete graph of f if it is known f is odd.


By cutting away identical squares from each corner of a rectangular piece of cardboard and folding up the resulting flaps, an open box can be made. If the cardboard is 13 in. long and 9 in. wide and the square cutaways have dimensions of x in. by x in., find a function that gives the volume of the resulting box.
V = 4x3 - 44x2 + 117x

Use the vertical line test to determine whether the curve is the graph of a function of x.
Yes
Let f(x) = x2 - 18x + 80 and g(x) = √x+2. Find (g ⚬ f)(17)
√65
Find f ⚬ g ⚬ h if
f(x) = x-1/x+1, g(x) = 4√x, and h(x) = x + 1

Let f(x) = x2 - 14x + 38 and g(x) = √x+12. Find (f ⚬ f)(10)(g ⚬ g)(13)
70
Find the function g such that h(x) = (g ⚬ f)(x).
h(x) = 1/6x-5 and f(x) = 6x-5
g(x) = 1/x
Find the points of intersection of the graphs of the functions.
Express your answers accurate to five decimal places.
f (x) =
0.5x3 – 1.8x2 + 2.2x – 4; = 2.8x – 4.
a. (–0.55126, –5.84352),
(3.87001, 6.53604)
b.
(–0.55126, –1.54352)
(0.28124, 10.83604)
(3.87001,
0.78748)
c. (–0.55126, –1.54352)
(3.87001,
0.78748)
d. (–0.55126, –5.84352),
(0.28124, –3.51252)
(3.87001, 6.53604
d
Starting with the graph of y = ex, find the equation of the graph that results from reflecting about the line y = 3.
a. y = -ex
b. y = -ex + 6
c.
y = -e-3x + 6
d. y = e-x +6
e. y = -ex+6
b

Use the Law of Exponents to rewrite and simplify the expression.
a

Starting with the graph of y = ex, write the equation of the graph that results from shifting 5 units right.
c
Suppose that the graph of y = log3x is drawn on a
coordinate grid where the unit of measurement is an inch. How many
miles to the right of the origin do we have to move before the height
of the curve reaches 2 ft? Rounded to the nearest mile.
a. 754.9
mi
b. 4,457,536.9 mi
c. 53,490,543 mi
d.
53,490,442.5 mi
e. 53,490,343 mi
b
Find the exact value of the given expression.
tan–1
1
a. 2π
b. π/4
c. 4/π
d.4π
b

Use the laws of logarithms to expand the expression.
b
Simplify the expression.
e3ln6
a. 9
b. 18
c. 216
d. 729
c
Find a formula for the inverse of the function.
y = ln(x + 6)
a. y = ex - 6
b. y = ex + 6
c.
y = -6ex
d. y = 6ex
e. y = ex
+ 6
a
Find the exact value of the expression.
log5100 + log525 - 2log52
a. 7
b. 8
c. 6
d. 4
e. 5
d

The graphs of f(x) and g(x) are given. For what values of x is f(x) = g(x)?
e
Which of the following graphs is neither even nor odd?
a. f(x)
= 4x2/x4+1
b. f(x) = 8x3 +
10x2 + 1
c. f(x) = x3 - 9x
b
A rectangle has perimeter 14m. Express the area of the rectangle as a
function A(l) of the length of one of its sides.
a. A(l) = 7l -
l2
b. A(l) = l - 7l2
c. A(l) = 14l
- l2
d. A(l) = 14l + l2
e. A(l) =
7l + l2
a

What is the equation of this graph?
a. y = x8
b. y = x4
c. y =
x2
d. y = 3√x
e.y = x7
e

Find the domain
d

Find the range of the function
e
The relationship between the Fahrenheit and Celsius temperature scales is given by the linear function.
F = 9/5 C + 32
What is the F-intercept and what does it represent
a. 9/5, Fahrenheit temperature corresponding to 0°C
b.
9/5, Celsius temperature corresponding to 32°C
c. 32, Celsius
temperature corresponding to 0°F
d. 0, Fahrenheit temperature
corresponding to 32°C
e. 32, Fahrenheit temperature corresponding
to 0°C
e
If f(x) = x + 5 and h(x) = 4x - 10, find a function g such that g ⚬ f
= h.
a. g(x) = 4x + 30
b. g(x) = 4x
c. g(x) = x -
30
d. g(x) = 4x - 30
e. g(x) = x + 30
d

The graph of the function f follows. Choose the graph of y = f(|x|)
d

Which of the following graphs is the graph of the function?
f(x) = sin |2x|
a. Graph 2
b. Graph 1
c. Graph 3
a
Find all solutions of the equation correct to two decimal places.
x3 - 9x2 - 100 = 0
a. x = 10
b. x = 0, x = 9.05
c. x = 0, x = 4.01, x =
9.05
d. x = -4.00, x = 9.05
e. x = 4.00, x = 9.05
a

Use the Law of Exponents to rewrite and simplify the expression.
b
Starting with the graph of y = ex, write the equation of
the graph that results from shifting 3 units right.
a. y =
3ex - 3
b. y = ex + 3
c. y =
ex + 3
d. y = ex - 3
e. y =
ex - 3
e

Find the inverse function of f(x) = x+1/4x+1
e
Find f-1(a) for the function f and the real number a.
f(x) = x3 + x - 3; a = -1
a. 2
b. 1
c. 3
d. 0
b

Find the inverse of f. Then sketch the graphs of f and f-1 on the same set of axes.
f(x) = √4-x2, x ≥ 0
a

Find the exact value of the given expression
a. -1/2
b. 0
c. -√3/2
d. 1
b
Simplify the expression.
e2ln6
a. 12
b. 36
c. 8
d. 64
c

A box with an open top is to be constructed from a rectangular piece of card board with dimensions b = 9 in. by a = 24 in. by cutting out equal squares of side x at each corner and then folding up the sides as in the figure.
Express the volume V of the box as a function of x.
a.
V(x) = 4x3 + 66x2 + 216x
b. V(x) =
4x3 + 33x2 + 196x
c. V(x) = 4x3
- 66x2 + 216x
d. V(x) = 4x3 -
33x2 + 196x
e. V(x) = 4x3 - 66x2
+ 216x
b
A rectangle has perimeter 22m. Express the area of the rectangle as a
function A(l) of the length l of one of its sides.
a. A(l) = 11l
+ l2
b. A(l) = 22l - l2
c. A(l) =
22l + l2
d. A(l) = 11l - l2
e. A(l)
= l - 11l2
d
If f(x) = 4x2 + 2, find and simplify f(1+h)-f(1)/h , where
h ≠ 0.
a. 4h
b. 2 + 4h2
c. 4 +
8h
d.8 + 4h
d

Find the domain and sketch the graph of the function. What is its range?
c

The graph of the function f is given. State the value of f(0).
a. f(0) = -10
b. f(0) = 5
c. f(0) = 10
d. f(0) =
-5
e. f(0) = 0
d

What is the equation of this graph?
a. y = ∛x
b. y =
x2
c. y = x7
d. y = x10
e. y = x8
c
The relationship between the Fahrenheit and Celsius temperature scales is given by the linear function.
F = 9/5 C + 32
What is the F-intercept and what does it represent?
a.
9/5, Fahrenheit temperature corresponding to 0° C
b. 9/5,
Celsius temperature corresponding to 32° C
c. 32, Celsius
temperature corresponding to 0° F
d. 0, Fahrenheit temperature
corresponding to 32°
Ce. 32, Fahrenheit temperature
corresponding to 0° C
e

Graph the function by hand, not by plotting points, but by starting with the graph of one of the standard functions and then applying the appropriate transformations.
y = 1 + 2x - x2
b
Suppose that the graph f is given. Describe how the graph of the
function y = f(x - 3) - 3 can be obtained from the graph of f.
a. Shift the graph 3 units to the right and 3 units down.
b. Shift the graph 3 units to the right and 3 units up.
c.
Shift the graph 3 units to the left and 3 units down.
d. Shift
the graph 3 units to the left and 3 units up.
e. None of these
a

Which of the following graphs is the graph of the function?
f(x) = sin |3x|
a. Graph 3
b. Graph 1
c. Graph 2
c

Find the function f/g and its domain if f(x) = x/x-7 and g(x) = x/x+7.
a
The graph of the function f(x) = x2 - 9x + 5 has been
compressed horizontally by a factor of 2. Find the function for the
transformed graph.
a. g(x) = 4x2 - 18x + 5
b.
g(x) = x2-9x+5/2
c. g(x) = 2x2 - 18x +
10
d. g(x) = x2-18x+20/4
a

Sandy wishes to have a rectangular garden in her backyard. She has 40
ft of fencing with which to enclose her garden. Letting x denote the
width of the garden, find a function f in the variable x that gives
the area of the garden. Select the correct answer.
a.
b.
c.
d.
b
An open rectangular box with volume 2m3 has a square base. Express the surface area of the box as a function S(x) of the length x of a side of the base.
S(x) = x2 + 8/x
Determine whether f is even, odd, or neither. Select the correct answer.
f(x) = 4x2/x4+5
a. neither
b. odd
c. even
c
The monthly cost of driving a car depends on the number of miles driven. Julia found that in October it cost her $200 to drive 300mi and in July it cost her $350 to drive 600mi. Express the monthly cost C as a function of the distance driven d assuming that a linear relationship gives a suitable model.
C = 0.5d + 50
If f(x) = x + 5 and h(x) = 4x - 10, find a function g such that g ⚬ f = h.
g(x) = 4x - 30

The graph of the function f follows. Choose the graph of y = f(|x|)
d
Sketch the graph of y = -1 - cos x over one period.

Find the function f g and its domain if f(x) = √x+7 and g(x) = √x-7 .
√x2-49
If a ball is thrown into the air with a velocity of 58ft/s, its height (in feet) after t seconds is given by
H = 58t - 9t2
Find the velocity when t = 9. Select the correct answer.
a. -101ft/s
b. -104ft/s
c. -106ft/s
d.
-103ft/s
e. -99ft/s
b
The position of a car is given by the values in the following table.
t (seconds) 0, 1, 2, 3, 4
s (meters) 0, 21.9, 25.8, 69.2, 92.2
Find the average velocity for the time period beginning when t = 2 and lasting 2 seconds.
33.2 ft/s
Find the value of limx→0+ f(x). Select the correct answer.
f(x) = 1/1+61/x
a. 0
b. -0.7
c. -0.7
d. -0.6
e. 0.16
a
Find the vertical asymptotes of the function.
y = 8x2+1/9x-8x2
none of these
Find the limit limk→3 (h4 - 3h3 - 4h + 5)
-7
Find the limit limx→1 x2+x-2/x-1, if it exists.
Select the correct answer.
a. 1
b. 3
c. 2
d.
Does not exist
b
Evaluate the limit, if it exists.
limk→0 (x-h)6-x6/h
-6x5
Find the limit.
limx→2- x2-2x/x2-4x+4
-∞

Determine where f is discontinuous.
0 and 5
If f and g are continuous functions with f(9) = 6 and limx→9 [2f(x) - g(x)] = 9, find g(9).
a. g(9) = 21
b. g(9) = 15
c. g(9) = 12
d. g(9) =
24
e. g(9) = 3
e
How would you define f(7) in order to make f continuous at 7?
f(x) = x2-2x-3/x-7
f(7) = 12

Use the graph to determine where the function is discontinuous.
a. At 0
b. On the interval (0, 1)
c. At ±2.5
d.
At 1
c

Plot the graph of the function f in an appropriate viewing window. Select the correct answer.
f(x) - x2/x2+8
a
Plot the graph of the function f in an appropriate viewing window.
f(x) = x + 0.02 sin 40x


Use the Law of Exponents to rewrite and simplify the expression.
a3/10b1/20
Starting with the graph of y = ex, find the equation of
the graph that results from reflecting about the line y = 3. Select
the correct answer.
a. y = -ex
b. y = ex
+ 6
c. y = -e-3x + 6
d. y = e-x
+ 6
e. y = -ex+ 6
b
Use the Law of Exponents to rewrite and simplify the expression.
x4nx5n+1/xn-5
x8n + 6
Starting with the graph of y = ex, write the equation of
the graph that results from shifting 5 units right. Select the correct
answer.
a. y = ex + 5
b. y = ex -
5
c. y = ex - 5
d. y = ex +
5
e.y = 5ex - 5
c

Find the inverse of f. Then sketch the graphs of f and f-1
on the same set of axes.
Select the correct answer.
f(x) = √4-x2, x ≥ 0
d
Solve the equation.
4ex + 5 = 2
x = ln 1/2 - 5
When a camera flash goes off, the batteries immediately begin to recharge the flash's capacitor, which stores electric charge given by
Q(t) = Q0(1 - e-tla)
(The maximum charge capacity is Q0 and t is measured in seconds.) How long does it take to recharge the capacitor to 90% of capacity if a = 3?
-3ln(1/10) seconds
If f(x) = x2 - x + 6, evaluate the difference quotient f(a+h)-f(a)/h.
Select the correct answer.
a.
b.
c.
d.
h
e. none of these
e
A rectangle has perimeter 14m. Express the area of the rectangle as a function A(l) of the length l of one of its sides.
A(l) = 7l - l2

The graph shown gives the weight of a certain person as a function of age. Find the age at which the person started an exercise program.
30

What is the equation of this graph?
y = x7
The relationship between the Fahrenheit and Celsius temperature scales is given by the linear function.
F = 9/5 C + 32
What is the F-intercept and what does it represent?
32, Fahrenheit temperature corresponding to 0°C
Classify the function as a Polynomial function, a Rational function, an algebraic function, or other.
f(x) = -8x-7 - x-5 - 7
Select the correct answer.
a. Other
b.
Algebraic
c. Rational
d. Polynomial
c

Use the table to evaluate the expression (f ⚬ g)(6).
2

f(x)

Which of the following is the equation for the function g(x)? Select
the correct answer.
a. g(x) = 4f(x)
b. g(x) = f(x) -
4
c. g(x) = -f(x + 4)
d. g(x) = f(x)/4
e. g(x) = -f(x)
+ 4
d
The graph of the function f(x) = x2 - 11x + 7 has been stretched horizontally by a factor of 2. Find the function for the transformed graph.
g(x) = x2-22x+28/4
Plot the graph of the function f in an appropriate viewing window.
f(x) = x3/x3+5

Plot the graph of the function f in an appropriate viewing window.
f(x) = x + 0.05sin50x

Starting with the graph of y = ex, find the equation of
the graph that results from reflecting about the line y = 1. Select
the correct answer.
a. y = e-x + 2
b. y =
-e-lx + 2
c. y = -ex
d. y =
-ex + 2
e. y = -ex + 2
d
Use the Law of Exponents to rewrite and simplify the expression.
x4nx5n+1/xn-3
x8n + 4
If a bacteria population starts with 100 bacteria and doubles every three hours, then the number of bacteria after t hours is
n = f(t) = 100(2t/3)
When will the population reach 55,000? Round the answer to the
nearest tenth.
Select the correct answer.
a. 22.3 hours
b. 27.3 hours
c. 32.3 hours
d. 37.3 hours
e.
17.3 hours
b
Find f-1(a) for the function f and the real number a.
Select the correct answer.
f(x) = x3 + x - 1; a = -3
a. –2
b. –1
c. 1
d. 0
b
Find the exact value of the given expression.
sin-1 1/2
π/6
Use the laws of logarithms to expand the expression.
ln(x+4/x-5)1/2
1/2 ln (x + 4) - 1/2 ln (x - 5)
Simplify the expression. Select the correct answer.
e2ln5
a. 25
b. 32
c. 7
d. 10
a
If f(x) = x2 - x + 6, evaluate the difference quotient f(a+h)-f(a)/h.
none of these
A rectangle has perimeter 12m. Express the area of the rectangle as a
function A(l) of the length l of one of its sides. Select the correct
answer.
a. A(l) = l -6l2
b. A(l) = 12l -
l2
c. A(l) = 6l - l2
d. A(l) = 6l +
l2
e. A(l) = 12l + l2
c
Find the domain of the function f(x) = x/-5sinx+7
(-∞, ∞)

The graph shown gives the weight of a certain person as a function of
age. Find the age at which the person started an exercise program.
Select the correct answer.
a. 20
b. 35
c. 54
d. 30
e. 38
d
An open rectangular box with volume 6m3 has a square base. Express the surface area of the box as a function S(x) of the length x of a side of the base.
S(x) = x2 + 24/x
Determine whether f is even, odd, or neither. Select the correct answer.
f(x) = 6x2/x4+3
a. neither
b. even
c. odd
b
Find the range of the function.
y = 4 + cos x
[3,5]
If f(x) = x + 5 and h(x) = 4x - 10, find a function g such that g ⚬ f = h.
g(x) = 4x - 30

The graph of the function follows. Choose the graph of y = |f(x)|
c
Suppose that the graph of is given f is given. Describe how the graph of the function y = f(x - 3) - 3 can be obtained from the graph of f. Select the correct answer.
a. Shift the graph 3 units to the right and 3 units down.
b.
Shift the graph 3 units to the right and 3 units up.
c. Shift
the graph 3 units to the left and 3 units up.
d. Shift the graph
3 units to the left and 3 units down.
e. None of these
a

Which of the following graphs is the graph of the function?
f(x) = sin|2x|
graph 2
Plot the graph of the function f in an appropriate viewing window.
f(x) = x4/x4+2

Find the points of intersection of the graphs of the functions. Express your answers accurate to five decimal places. Select the correct answer.
f (x) = 0.5x3 – 1.8x2 + 2.2x – 4; g(x) = 2.8x – 4.3
a. (–0.55126, –5.84352),
(3.87001, 6.53604)
b.
(–0.55126, –1.54352)
(0.28124, 10.83604)
(3.87001,
0.78748)
c. (–0.55126, –1.54352)
(3.87001,
0.78748)
d. (–0.55126, –5.84352),
(0.28124, –3.51252)
(3.87001, 6.53604)
d

The function f(x) = √4+cx2 is graphed below.
c > 0
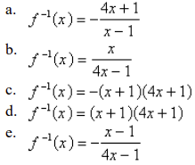
Find the inverse function of f(x) = x+1/3x+1
f-1(x) = - x-1/3x-1
Determine whether the function is one-to-one.
f(x) = √4-x2
a. Yes
b. No
b
Find the exact value of the given expression.
tan-1 1
π/4
Use the laws of logarithms to expand the expression.
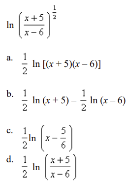
ln(x+5/x-6)1/2
1/2ln(x + 5) - 1/2ln(x - 6)
Simplify the expression. Select the correct answer.
e3ln6
a. 9
b. 18
c. 216
d. 729
c
Solve the equation
4ex + 5 = 2
x = ln 1/2 - 5

A box with an open top is to be constructed from a rectangular piece of card board with dimensions b = 4 in. by a = 28 in. by cutting out equal squares of side at each corner and then folding up the sides as in the figure.
Express the volume V of the box as a function of x.
V(x) = 4x4 -64x2 + 112x
Find an expression for the function y = f(x) whose graph is the
bottom half of the parabola x + (6 - y)2 = 0. Select the
correct answer.
a. y = 6 - √-x
b. y = 36 - √-x
c. y =
6 + √x
d. y = 36 - x2
e. y = 6 - x2
a
Find the domain of the function.
f(x) = 7x+1/x2
(-∞,0)∪(0,∞)

Find the domain and sketch the graph of the function. What is its range?

D: (-∞,∞)
R: (-∞,∞)
Find the domain. Select the correct answer.
g(u) = √u - √3-u
a. (0,3)
b. (-∞,0]
c. (-3,∞]
d. [0,3]
e.[0,∞)
d
Graph the function by hand, not by plotting points, but by starting with the graph of one of the standard functions and then applying the appropriate transformations.
y = 4 + 2x - x2


The graph of the function follows. Choose the graph of y = 1/2f(x - 1)
a
Sketch the graph of y = -1-cosx over one period.

Find the function f ⚬ g and its domain if f(x) = x-1/x and g(x) = x/x+3.
-3/x
D = (-∞,-3)∪(-3,0)∪(0,∞)
The graph of the function f(x) = x2 - 11x + 7 has been
stretched horizontally by a factor of 2. Find the function for the
transformed graph. Select the correct answer.
a. g(x) =
x2-11x+7/2
b. g(x) = 2x2 - 22x +
14
c. g(x) = x2-22x+28/4
d. g(x) = 4x2
- 22x + 7
c