1) Which of the following compounds is NOT an enzyme?
A) dehydrogenase
B) cellulase
C) coenzyme A
D) β-galactosidase
E) sucrase
C) coenzyme A

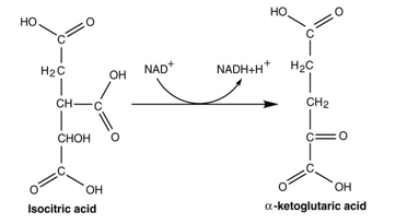
2) Figure 5.1
Which compound is being reduced in the reaction shown in Figure 5.1?
A) isocitric acid and α-ketoglutaric acid
B) α-ketoglutaric acid and NAD+
C) NAD+
D) NADH
E) NADH and isocitric acid
C) NAD+
4) Which of the following statements about anaerobic respiration is FALSE?
A) It yields lower amounts of ATP when compared to aerobic respiration.
B) The complete Kreb's cycle is utilized.
C) It involves the reduction of an organic final electron acceptor.
D) It generates ATP.
E) It requires cytochromes.
C) It involves the reduction of an organic final electron acceptor.
6) What is the fate of pyruvic acid in an organism that uses aerobic respiration?
A) It is reduced to lactic acid.
B) It reacts with oxaloacetate to form citrate.
C) It is oxidized in the electron transport chain.
D) It is catabolized in glycolysis.
E) It is converted into acetyl CoA.
E) It is converted into acetyl CoA.

How would a noncompetitive inhibitor interfere with a reaction involving the enzyme shown in Figure 5.3?
A) It would bind to a.
B) It would bind to b.
C) It would bind to c.
D) It would bind to d.
E) The answer cannot be determined based on the information provided.
B) It would bind to b.

How is ATP generated in the reaction shown in Figure 5.4?
A) glycolysis
B) fermentation
C) photophosphorylation
D) oxidative phosphorylation
E) substrate-level phosphorylation
E) substrate-level phosphorylation
9) Fatty acids are oxidized in
A) the Krebs cycle.
B) the electron transport chain.
C) glycolysis.
D) the pentose phosphate pathway.
E) the Entner-Doudoroff pathway.
A) the Krebs cycle.

Which of the graphs in Figure 5.5 best illustrates the activity of an enzyme that is saturated with substrate?
A) a
B) b
C) c
D) d
E) e
C) c
11) Which of the following is the best definition of oxidative phosphorylation?
A) Electrons are passed through a series of carriers to O2.
B) A proton gradient allows hydrogen ions to flow back into the cells through transmembrane protein channels, releasing energy that is used to generate ATP.
C) ATP is directly transferred from a substrate to ADP.
D) Electrons are passed through a series of carriers to an organic compound.
B) A proton gradient allows hydrogen ions to flow back into the cells through transmembrane protein channels, releasing energy that is used to generate ATP.
12) Which of the following statements about substrate-level phosphorylation is FALSE?
A) It involves the direct transfer of a high-energy phosphate group from an intermediate metabolic compound to ADP.
B) No final electron acceptor is required.
C) It occurs in glycolysis.
D) The oxidation of intermediate metabolic compounds releases energy that is used to generate ATP.
E) It occurs to a lesser degree in the Krebs cycle than in glycolysis.
D) The oxidation of intermediate metabolic compounds releases energy that is used to generate ATP.
13) Which of the following statements about photophosphorylation is FALSE?
A) Light liberates an electron from chlorophyll.
B) The oxidation of carrier molecules releases energy.
C) Energy from oxidation reactions is used to generate ATP from ADP.
D) It requires CO2.
E) It occurs in photosynthesizing cells.
D) It requires CO2.
14) A strictly fermentative bacterium produces energy
A) by glycolysis only.
B) by aerobic respiration only.
C) by fermentation or aerobic respiration.
D) only in the absence of oxygen.
E) only in the presence of oxygen.
A) by glycolysis only.`
15) The advantage of the pentose phosphate pathway is that it produces all of the following EXCEPT
A) precursors for nucleic acids.
B) precursors for the synthesis of glucose.
C) three ATPs.
D) NADPH.
E) precursors for the synthesis of amino acids.
C) three ATPs.
16) Which biochemical process is NOT used during glycolysis?
A) substrate-level phosphorylation
B) oxidation-reduction
C) carbohydrate catabolism
D) beta oxidation
E) enzymatic reactions
D) beta oxidation
18) Which of the following is the best definition of fermentation?
A) the partial reduction of glucose to pyruvic acid
B) the partial oxidation of glucose with organic molecules serving as electron acceptors
C) the complete catabolism of glucose to CO2and H2O
D) the production of energy by oxidative-level phosphorylation
E) the production of energy by both substrate and oxidative phosphorylation
B) the partial oxidation of glucose with organic molecules serving as electron acceptors
21) In green and purple bacteria, electrons to reduce CO2 can come from
A) CO2.
B) H2
C) C6H12O6.
D) H2
E) chlorophyll.
D) H2
26) Cyanobacteria are a type of
A) chemoautotroph.
B) chemoheterotroph.
C) photoautotroph.
D) photoheterotroph.
C) photoautotroph.
29) Which of the following statements regarding metabolism is FALSE?
A) Heat may be released in both anabolic and catabolic reactions.
B) ATP is formed in catabolic reactions.
C) ADP is formed in anabolic reactions.
D) Anabolic reactions are degradative.
D) Anabolic reactions are degradative.

30) Which of the following is TRUE about this reaction?
A) This process requires O2.
B) This process occurs anaerobically.
C) This process requires the entire electron transport system.
D) This process requires light.
E) This process requires O2and the electron transport system.
Answer: B
B) This process occurs anaerobically.
32) Assume you are working for a chemical company and are responsible for growing a yeast culture that produces ethanol. The yeasts are growing well on the maltose medium but are not producing alcohol. What is the most likely explanation?
A) The maltose is toxic.
B) O2is in the medium.
C) Not enough protein is provided.
D) The temperature is too low.
E) The temperature is too high.
B) O2 is in the medium.

The rates of O2 and glucose consumption by a bacterial culture are shown in Figure 5.6. Assume a bacterial culture was grown in a glucose medium without O2. Then O2 was added at the time marked X. The data indicate that
A) these bacteria don't use O2.
B) these bacteria get more energy anaerobically.
C) aerobic metabolism is more efficient than fermentation.
D) these bacteria cannot grow anaerobically.
C) aerobic metabolism is more efficient than fermentation.
36) Which of the following statements regarding the glycolysis pathway is FALSE?
A) Two pyruvate molecules are generated.
B) Four ATP molecules are generated via substrate-level phosphorylation.
C) Two NADH molecules are generated.
D) One molecule of ATP is expended.
E) Two molecules of water are generated.
D) One molecule of ATP is expended.

The graph at the left in Figure 5.7 shows the reaction rate for an enzyme at its optimum temperature. Which graph shows enzyme activity at a higher temperature?
A) a
B) b
C) c
D) d
B) b