1) When Thomas Hunt Morgan crossed his red-eyed F1 generation flies to each other, the F2 generation included both red- and white-eyed flies. Remarkably, all the white-eyed flies were male. What was the explanation for this result?
A) The gene involved is on the Y chromosome.
B) The gene
involved is on the X chromosome.
C) The gene involved is on an autosome, but only in males.
D) Other male-specific factors influence eye color in flies.
Answer: B
2) Which of the following is the meaning of the chromosome theory of
inheritance as expressed in the early twentieth century?
A)
Individuals inherit particular chromosomes attached to genes.
B)
Mendelian genes are at specific loci on the chromosome and, in turn,
segregate during meiosis.
C) No more than a single pair of chromosomes can be found in a healthy normal cell.
D) Natural selection acts on certain chromosome arrays rather than on genes.
Answer: B
3) Males are more often affected by sex-linked traits than females
because _____.
A) male hormones such as testosterone often alter
the effects of mutations on the X chromosome
B) female hormones such as estrogen often compensate for the
effects of mutations on the X chromosome
C) X chromosomes in
males generally have more mutations than X chromosomes in
females
D) males are hemizygous for the X chromosome
Answer: D
4) SRY is best described as _____.
A) a gene present on the X
chromosome that triggers female development
B) an autosomal gene
that is required for the expression of genes on the Y chromosome
C) a gene region present on the Y chromosome that triggers male
development
D) an autosomal gene that is required for the
expression of genes on the X chromosome
Answer: C
5) In cats, black fur color is caused by an X-linked allele; the
other allele at this locus causes orange color. The heterozygote is
tortoiseshell. What kinds of offspring would you expect from the cross
of a black female and an orange male?
A) tortoiseshell females;
tortoiseshell males
B) black females; orange males
C) tortoiseshell females;
black males
D) orange females; black males
Answer: C
6) Red-green color blindness is a sex-linked recessive trait in humans. Two people with normal color vision have a color-blind son. What are the genotypes of the parents?
A) XnXn and XnY
B) XNXN and XnY
C) XNXN and XNY
D) XNXn and XNY
Answer: D
7) Cinnabar eyes is a sex-linked, recessive characteristic in fruit flies. If a female having cinnabar eyes is crossed with a wild-type male, what percentage of the F1 males will have cinnabar eyes?
A) 0%
B) 25%
C) 50%
D) 100%
Answer: D
8) Normally, only female cats have the tortoiseshell phenotype because _____.
A) a male inherits only one allele of the X-linked gene controlling hair color
B) the Y chromosome has a gene blocking orange coloration
C) only males can have Barr bodies
D) multiple crossovers on the Y chromosome prevent orange pigment production
Answer: A
9) In birds, sex is determined by a ZW chromosome scheme. Males are ZZ and females are ZW. A recessive lethal allele that causes death of the embryo is sometimes present on the Z chromosome in pigeons. What would be the sex ratio in the offspring of a cross between a male that is heterozygous for the lethal allele and a normal female?
A) 2:1 male to female
B) 1:2 male to female
C) 1:1 male to female
D) 3:1 male to female
Answer: A
10) Sex determination in mammals is due to the SRY gene. Which of the
following could allow a person with an XX karyotype to develop a male
phenotype?
A) the loss of the SRY gene from an autosome
B)
translocation of SRY to a X chromosome
C) a person with an extra autosomal chromosome
D) a person
with one normal and one shortened (deleted) X
Answer: B
11) In humans, clear gender differentiation occurs, not at
fertilization, but after the second month of gestation. What is the
first event of this differentiation?
A) formation of
testosterone in male embryos
B) formation of estrogens in female embryos
C) activation of SRY in male embryos and masculinization of the gonads
D) activation of SRY in females and feminization of the gonads
Answer: C
12) Duchenne muscular dystrophy is a serious condition caused by a recessive allele of a gene on the human X chromosome. The patients have muscles that weaken over time because they have absent or decreased dystrophin, a muscle protein. They rarely live past their twenties. How likely is it for a woman to have this condition?
A) Women can never have this condition.
B) One-fourth of the
daughters of an affected man would have this condition.
C)
One-half of the daughters of an affected father and a carrier mother
could have this condition.
D) Only if a woman is XXX could she have this condition.
Answer: C
13) All female mammals have one active X chromosome per cell instead
of two. What causes this?
A) activation of the XIST gene on the
X chromosome that will become the Barr body
B) activation of the
BARR gene on one X chromosome, which then becomes inactive
C) inactivation of the XIST gene on the X chromosome derived from the male parent D) attachment of methyl (CH3) groups to the X chromosome that will remain active
Answer: A
14) A man who is an achondroplastic dwarf with normal vision marries a color-blind woman of normal height. The man's father was six feet tall, and both the woman's parents were of average height. Achondroplastic dwarfism is autosomal dominant, and red-green color blindness is X- linked recessive. How many of their daughters might be expected to be color-blind dwarfs?
A) none
B) half
C) one out of four
D) three out
of four
Answer: A
15) A man who is an achondroplastic dwarf with normal vision marries a color-blind woman of normal height. The man's father was six feet tall, and both the woman's parents were of average height. Achondroplastic dwarfism is autosomal dominant, and red-green color blindness is X- linked recessive. What proportion of their sons would be color-blind and of normal height?
A) none
B) half
C) one out of four
D) all
Answer: B
16) Pseudohypertrophic muscular dystrophy is a human disorder that causes gradual deterioration of the muscles. Only boys are affected, and they are always born to phenotypically normal parents. Due to the severity of the disease, the boys die in their teens. Is this disorder likely to be caused by a dominant or recessive allele? Is its inheritance sex-linked or autosomal?
A) dominant, sex-linked
B) recessive, autosomal
C)
recessive, sex-linked
D) incomplete dominant, sex-linked
Answer: C
17) In birds, sex is determined by a ZW chromosome scheme that is much like the typical XY scheme seen in humans and many other organisms, except that the system is reversed: Males are ZZ (similar to XX in humans) and females are ZW (similar to XY in humans). A lethal recessive allele that causes death of the embryo occurs on the Z chromosome in pigeons. What would be the sex ratio in the offspring of a cross between a male heterozygous for the lethal allele and a normal female?
A) 1:1 male to female
B) 3:1 male to female
C) 1:2 male to female
D) 2:1 male to female
Answer: D
18) A recessive allele on the X chromosome is responsible for
red-green color blindness in humans. A woman with normal vision whose
father is color blind marries a color-blind male. What is the
probability that this couple's first son will be color blind?
A) 1/4
B) 1/2
C) 2/3
D) 3/4
Answer: B
19) A man who carries an allele of an X-linked gene will pass it on to _____.
A) all of his daughters
B) half of his daughters
C) all
of his sons
D) all of his children
Answer: A
20) Glucose-6-phosphate dehydrogenase deficiency (G6PD) is inherited
as a recessive allele of an X-linked gene in humans. A woman whose
father suffered from G6PD marries a normal man. (a) What proportion of
their sons is expected to be G6PD?
(b) If the husband was not
normal but was G6PD deficient, would you change your answer in part
(a)?
A) (a) 100%; (b) no
B) (a) 1/2; (b) yes
C) (a)
1/2; (b) no
D) (a) zero; (b) no
Answer: C

21) In a Drosophila experiment, a cross was made between homozygous wild-type females and yellow-bodied males. All of the resulting F1s were phenotypically wild type. However, adult flies of the F2 generation (resulting from matings of the F1s) had the characteristics shown in the figure above. Consider the following questions:
(a) Is the mutant allele for yellow body recessive or dominant? (b) Is the yellow locus autosomal (not X-linked) or X-linked?
A) (a) recessive; (b) X-linked
B) (a) recessive; (b) not X-linked
C) (a) dominant; (b) X-linked
D) (a) dominant; (b) not X-linked
Answer: A

22) Sturtevant provided genetic evidence for the existence of four
pairs of chromosomes in Drosophila in which of these ways?
A)
There are four major functional classes of genes in Drosophila.
B) Drosophila genes cluster into four distinct groups of linked genes.
C) The overall number of genes in Drosophila is a multiple of four.
D) Drosophila genes have, on average, four different alleles.
Answer: B
23) Which of the following statements is true of linkage?
A)
The closer two genes are on a chromosome, the lower the probability
that a crossover will occur between them.
B) The observed
frequency of recombination of two genes that are far apart from each
other has a maximum value of 100%.
C) All of the traits that
Mendel studied—seed color, pod shape, flower color, and others—are due
to genes linked on the same chromosome.
D) Linked genes are
found on different chromosomes.
Answer: A
24) How would one explain a testcross involving F1 dihybrid flies in which more parental-type offspring than recombinant-type offspring are produced?
A) The two genes are closely linked on the same chromosome.
B) The two genes are linked but on different chromosomes.
C)
Recombination did not occur in the cell during meiosis.
D) Both
of the characters are controlled by more than one gene.
Answer: A
25) What does a frequency of recombination of 50% indicate?
A)
The two genes are likely to be located on different chromosomes.
B) All of the offspring have combinations of traits that match one of
the two parents.
C) The genes are located on sex chromosomes.
D) Abnormal
meiosis has occurred.
Answer: A
26) What is the definition of one map unit?
A) the physical
distance between two linked genes
B) a 1% frequency of
recombination between two genes
C) 1 nanometer of distance
between two genes
D) the recombination frequency between two
genes assorting independently
Answer: B
27) Recombination between linked genes comes about for what reason?
A) Nonrecombinant chromosomes break and then rejoin with one another.
B) Independent assortment sometimes fails.
C) Linked genes
travel together at anaphase.
D) Crossovers between these genes
result in chromosomal exchange.
Answer: D
28) What is an adaptive advantage of recombination between linked genes?
A) Recombination is required for independent assortment.
B)
Recombination must occur or genes will not assort independently.
C) New allele combinations are acted upon by natural selection.
D) The forces on the cell during meiosis II results in recombination.
Answer: C
29) Map units on a linkage map cannot be relied upon to calculate
physical distances on a chromosome for which of the following
reasons?
A) The frequency of crossing over varies along the
length of the chromosome.
B) The relationship between
recombination frequency and map units is different in every individual.
C) Physical distances between genes change during the course of the cell cycle. D) The gene order on the chromosomes is slightly different in every individual.
Answer: A

30) Between which two genes would you expect the highest frequency of recombination?
A) A and W
B) E and G
C) A and E
D) A and G
Answer: D

31) In a series of mapping experiments, the recombination frequencies
for four different linked genes of Drosophila were determined as shown
in the figure above. What is the order of these genes on a chromosome
map?
A) rb-cn-vg-b
B) cn-rb-b-vg
C) b-rb-cn-vg
D) vg-cn-b-rb
Answer: C
37) What is the reason that closely linked genes are typically inherited together?
A) They are located close together on the same chromosome.
B)
The number of genes in a cell is greater than the number of chromosomes.
C) Alleles are paired together during meiosis.
D) Genes align that way during metaphase I of meiosis.
Answer: A
38) A homozygous tomato plant with red fruit and yellow flowers was crossed with a homozygous tomato plant with golden fruit and white flowers. The F1 all had red fruit and yellow flowers. The F1 were testcrossed by crossing them to homozygous recessive individuals and the following offspring were obtained:
Red fruit and yellow flowers—41 Red fruit and white flowers—7 Golden fruit and yellow flowers—8 Golden fruit and white flowers—44
How many map units separate these genes?
A) 17.6
B) 15
C) 17.1
D) 18.1
Answer: B
39) In Drosophila melanogaster, vestigial wings are caused by a recessive allele of a gene that is linked to a gene with a recessive allele that causes black body color. Morgan crossed black- bodied, normal-winged females and gray-bodied, vestigial-winged males. The F1 were all gray bodied, normal winged. The F1 females were crossed to homozygous recessive males to produce testcross progeny. Morgan calculated the map distance to be 17 map units. Which of the following is correct about the testcross progeny?
A) black-bodied, normal-winged flies = 17% of the total
B)
black-bodied, normal-winged flies PLUS gray-bodied, vestigial-winged
flies = 17% of the total
C) gray-bodied, normal-winged flies
PLUS black-bodied, vestigial-winged flies = 17% of the total
D)
black-bodied, vestigial-winged flies = 17% of the total
Answer: C
40) If cell X enters meiosis, and nondisjunction of one chromosome
occurs in one of its daughter cells during meiosis II, what will be
the result at the completion of meiosis?
A) All the gametes
descended from cell X will be diploid.
B) Half of the gametes
descended from cell X will be n + 1, and half will be n - 1.
C) 1/4 of the gametes descended from cell X will be n + 1, 1/4 will be n - 1, and 1/2 will be n.
D) Two of the four gametes descended from cell X will be haploid, and two will be diploid.
Answer: C
41) One possible result of chromosomal breakage is for a fragment to
join a nonhomologous chromosome. What is this alteration called?
A) deletion
B) inversion
C) translocation
D) duplication
Answer: C
42) A nonreciprocal crossover causes which of the following products?
A) deletion only
B) duplication only
C) nondisjunction
D) deletion and duplication
Answer: D
43) Of the following human aneuploidies, which is the one that
generally has the most severe impact on the health of the
individual?
A) 47, trisomy 21
B) 47, XXY
C) 47, XXX
D) 45, X
Answer: A
44) A phenotypically normal prospective couple seeks genetic
counseling because the man knows that he has a translocation of a
portion of his chromosome 4 that has been exchanged with a portion of
his chromosome 12. Although his translocation is balanced, he and his
wife want to know the probability that his sperm will be abnormal.
What is your prognosis regarding his sperm?
A) 1/4 will carry
the two normal chromosomes, 4 and 12, 1/4 will have only the two
translocation chromosomes and no normal chromosomes 4 and 12, and 1/2
will have both normal and translocated chromosomes.
B) All will
carry the same translocation as the father.
C) None will carry
the translocation.
D) 1/2 will be normal and the rest will have
the father's translocation.
Answer: A
45) Abnormal chromosomes are frequently found in malignant tumors.
Errors such as translocations may place a gene in close proximity to
different control regions. Which of the following might then occur to
make the cancer worse?
A) an increase in nondisjunction
B) expression of inappropriate gene products
C) a decrease in mitotic frequency
D) failure of the cancer
cells to multiply
Answer: B
46) A couple has a child with Down syndrome. The mother is 39 years
old at the time of delivery. Which of the following is the most
probable cause of the child's condition?
A) The woman inherited
this tendency from her parents.
B) The mother had a chromosomal duplication.
C) One member of the couple underwent nondisjunction in somatic cell production. D) The mother most likely underwent nondisjunction during gamete production.
Answer: D
47) What is a syndrome?
A) a characteristic facial
appearance
B) a trait that leads to cancer at some stage in
life
C) a group of traits typically found in conjunction with a
particular chromosomal aberration or gene mutation
D) a specific
characteristic that appears in conjunction with one specific aneuploidy
Answer: C
48) Which of the following is known as a Philadelphia
chromosome?
A) a human chromosome 22 that has had a specific
translocation
B) a human chromosome 9 that is found only in one
type of cancer
C) an animal chromosome found primarily in the
mid-Atlantic area of the United States
D) a chromosome found only in mitochondria
Answer: A
49) Which of the following is generally true of aneuploidies in
newborns?
A) A monosomy is more frequent than a trisomy.
B) Monosomy X is the only viable monosomy known to occur in
humans.
C) Human aneuploidy usually conveys an adaptive
advantage in humans.
D) An aneuploidy resulting in the deletion
of a chromosome segment is less serious than a duplication.
Answer: B
50) A woman is found to have forty-seven chromosomes, including three
X chromosomes. Which of the following describes her expected
phenotype?
A) a female with masculine characteristics such as
facial hair
B) an apparent male who is sterile
C) healthy female of slightly above-average height
D) a sterile female
Answer: C
51) Which of the following is an example of monosomy?
A) Turner's syndrome
B) Klinefelter's syndrome
C) Down syndrome
D) trisomy X
Answer: A
52) Genomic imprinting is generally due to the addition of methyl
(-CH3) groups to C nucleotides and chemical histone changes to silence
a given gene. If this depends on the sex of the parent who transmits
the gene, which of the following must be true?
A) Genes required
for early development stages must not be imprinted.
B)
Methylation of this kind must occur more in males than in
females.
C) Methylation must be reversible in ovarian and
testicular cells.
D) The imprints are transmitted only to
gamete-producing cells.
Answer: C
53) Correns found that the inheritance of variegated color on the
leaves of certain plants was determined only by the maternal parent.
What phenomenon explains this pattern?
A) ribosome
structure
B) chloroplast inheritance
C) genomic imprinting
D) sex-linkage
Answer: B
54) Mitochondrial DNA is primarily involved in coding for proteins
needed for protein complexes of the electron transport chain and ATP
synthase. Therefore, mutations in mitochondrial genes would most
affect _____.
A) DNA synthesis in cells of the immune system
B) the movement of oxygen into erythrocytes
C) generation of ATP in muscle cells
D) the storage of urine
in the urinary bladder
Answer: C

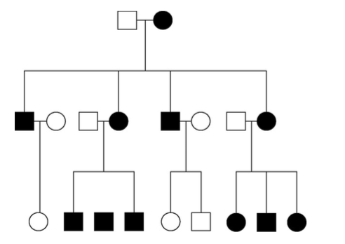
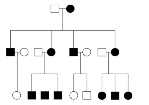
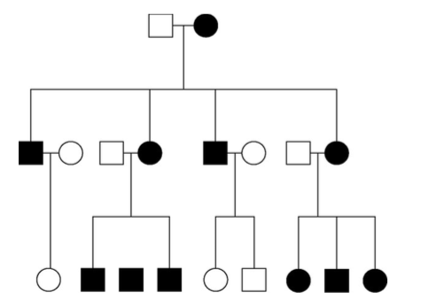
55) The pedigree in the figure above shows the transmission of a
trait in a particular family. Based on this pattern of transmission,
the trait is most likely _____.
A) mitochondrial
B)
sex-linked dominant
C) sex-linked recessive
D) autosomal dominant
Answer: A

56) A certain kind of snail can have a right-handed direction of shell coiling (DD or Dd) or left- handed coiling (dd). However, if direction of coiling is due to a protein deposited by the mother in the egg cytoplasm, then a Dd egg-producing snail and a dd sperm-producing snail will have offspring of which genotype(s) and phenotype(s)?
A) 1/2 Dd:1/2 dd; all right-coiling
B) all Dd; all
right-coiling
C) 1/2 Dd:1/2 dd; half right-coiling and half left-coiling
D) all Dd; half right-coiling and half left-coiling
Answer: A

57) During meiosis, a defect occurs in a cell that results in the failure of microtubules, spindle fibers, to bind at the kinetochores, a protein structure on chromatids where the spindle fibers attach during cell division to pull sister chromatids apart. Which of the following is the most likely result of such a defect?
A) New microtubules with more effective binding capabilities to
kinetochores will be synthesized to compensate for the defect.
B) Excessive cell divisions will occur resulting in cancerous tumors
and an increase in the chromosome numbers known as polyploidy.
C) The defect will be bypassed in order to and ensure normal
chromosome distribution in the new cells.
D) The resulting cells
will not receive the correct number of chromosomes in the gametes, a
condition known as aneuploidy.
Answer: D

58) Inheritance patterns cannot always be explained by Mendel’s
models of inheritance. If a pair of homologous chromosomes fails to
separate during meiosis I, select the choice
that shows the
chromosome number of the four resulting gametes with respect to the
normal haploid number (n)?
A) n+1; n+1; n-1; n-1
B) n+1; n-1; n; n
C) n+1; n-1; n-1; n-1
D) n+1; n+1; n; n
Answer: A