When the body's blood glucose level rises, the pancreas secretes insulin and, as a result, the blood glucose level declines. When the blood glucose level is low, the pancreas secretes glucagon and, as a result, the blood glucose level rises. Such regulation of the blood glucose level is the result of
a) protein-protein interactions.
b) negative feedback.
c) catalytic feedback.
d) bioinformatic regulation.
e) positive feedback.
B
Which of the following is (are) true of natural selection?
a) It requires genetic variation.
b) It involves differential reproductive success.
c) It requires genetic variation, results in descent with modification, and involves differential reproductive success.
d) It results in descent with modification.
e) It results in descent with modification and involves differential reproductive succes
C
Why is it important that an experiment include a control group?
a) A control group assures that an experiment will be repeatable.
b) Without a control group, there is no basis for knowing if a particular result is due to the variable being tested.
c) The control group is the group that the researcher is in control of, the group in which the researcher predetermines the results.
d) The control group provides a reserve of experimental subjects.
e) A control group is required for the development of an "If…then" statement.
B
What factors are most important in determining which elements are most common in living matter?
a) the relative abundances of the elements in Earth's crust and atmosphere
b) the chemical stability of the elements
c) the reactivity of the elements with water
d) both the relative abundances of the elements and the emergent properties of the compounds made from these elements
e) the emergent properties of the simple compounds made from these elements
D
The organic molecules in living organisms have a measurably lower ratio of carbon-13/carbon-12, two stable isotopes of carbon that comprise approximately 1.1% and 98.9% of atmospheric carbon, respectively. What is a reasonable explanation for this phenomenon?
a) Carbon dioxide molecules with carbon-13 stay in the upper atmosphere and are less available to terrestrial plants and algae.
b) Carbon-13 has a different valence electron configuration and is therefore less chemically reactive than carbon-12.
c) Carbon dioxide molecules containing carbon-13 are heavier and sink into the ocean depths, making them less available to living organisms.
d) Oxygen atoms preferentially react with carbon-13, thereby enriching the atmosphere with carbon dioxide molecules containing carbon-13 atoms.
e) Photosynthesis preferentially uses carbon dioxide molecules with carbon-12, and the lower carbon-13/carbon-12 ratio propagates through the food chain.
E

The illustration shows a representation of formic acid. A formic acid molecule
a) consists of largely nonpolar covalent bonds.
b) is held together by hydrogen bonds.
c) has a tetrahedral configuration of hybrid electron orbitals for the carbon atom.
d) will form hydrogen bonds with water molecules.
e) has a tetrahedral shape and will form hydrogen bonds with water molecules
D
The reactivity of an atom arises from
a) the existence of unpaired electrons in the valence shell.
b) the energy difference between the s and p orbitals.
c) the average distance of the outermost electron shell from the nucleus.
d) the sum of the potential energies of all the electron shells.
e) the potential energy of the valence shell.
A
The partial negative charge in a molecule of water occurs because
a) the electrons shared between the oxygen and hydrogen atoms spend more time around the oxygen atom nucleus than around the hydrogen atom nucleus.
b) the oxygen atom has two pairs of electrons in its valence shell that are not neutralized by hydrogen atoms.
c) one of the hydrogen atoms donates an electron to the oxygen atom.
d) the oxygen atom forms hybrid orbitals that distribute electrons unequally around the oxygen nucleus.
e) the oxygen atom acquires an additional electron.
A
The nutritional information on a cereal box shows that one serving of a dry cereal has 200 kilocalories. If one were to burn one serving of the cereal, the amount of heat given off would be sufficient to raise the temperature of 20 kg of water how many degrees Celsius?
a) 0.2°C
b) 10.0°C
c) 2.0°C
d) 1.0°C
e) 20.0°C
B
If the pH of a solution is decreased from 9 to 8, it means that the 10) ______
a) concentration of H+ has increased tenfold (10X) compared to what it was at pH 9.
b) concentration of H+ has increased tenfold (10X) and the concentration of OH- has decreased to one-tenth (1/10) what they were at pH 9.
c) concentration of OH- has decreased to one-tenth (1/10) what it was at pH 9.
d) concentration of OH- has increased tenfold (10X) compared to what it was at pH 9.
e) concentration of H+ has decreased to one-tenth (1/10) what it was at pH 9.
B
One of the buffers that contribute to pH stability in human blood is carbonic acid (H2CO3). Carbonic acid is a weak acid that dissociates into a bicarbonate ion (HCO3-) and a hydrogen ion (H+) -- H2CO3 ↔ HCO3- + H+
If the pH of the blood drops, one would expect
a) a decrease in the concentration of H2CO3 and an increase in the concentration of HCO3-.
b) the concentration of bicarbonate ion (HCO3-) to increase.
c) the HCO3- to act as an acid and remove excess H+ with the formation of H2CO3.
d) the concentration of hydroxide ion (OH-) to increase.
e) the HCO3- to act as a base and remove excess H+ with the formation of H2CO3
E
Increased atmospheric CO2 concentrations willl make seawater more acidic. How would acidification of seawater affect marine organisms?
a) Acidification would decrease dissolved carbonate concentrations and hinder growth of corals and shell-building animals.
b) Acidification would increase dissolved carbonate concentrations and promote faster growth of corals and shell-building animals.
c) Acidification would increase dissolved bicarbonate concentrations, and cause increased calcification of corals and shellfish.
d) Acidification would decrease dissolved carbonate concentrations and promote faster growth of corals and shell-building animals.
e) Acidification would increase dissolved carbonate concentrations and hinder growth of corals and shell-building animals.
A
Many mammals control their body temperature by sweating. Which property of water is most directly responsible for the ability of sweat to lower body temperature?
a) water's ability to dissolve molecules in the air
b) water's high surface tension
c) the absorption of heat by the breaking of hydrogen bonds
d) the release of heat by the formation of hydrogen bonds
e) water's change in density when it condenses
C

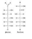
The figure shows the structures of glucose and fructose. These two molecules differ in the
a) number of oxygen atoms joined to carbon atoms by double covalent bonds.
b) number of carbon, hydrogen, and oxygen atoms.
c) number of carbon, hydrogen, and oxygen atoms; the types of carbon, hydrogen, and
oxygen atoms; and the arrangement of carbon, hydrogen, and oxygen atoms.
d) types of carbon, hydrogen, and oxygen atoms.
e) arrangement of carbon, hydrogen, and oxygen atoms
E
Research indicates that ibuprofen, a drug used to relieve inflammation and pain, is a mixture of two enantiomers; that is, molecules that
a) are mirror images of one another.
b) differ in the location of their double bonds.
c) have identical chemical formulas but differ in the branching of their carbon skeletons.
d) differ in the arrangement of atoms around their double bonds.
e) exist in either linear chain or ring forms.
A
Molecules with which functional groups may form polymers via dehydration reactions?
a) hydroxyl groups
b) either hydroxyl or carboxyl groups
c) carboxyl groups
d) either carbonyl or carboxyl groups
e) carbonyl groups
B

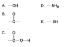
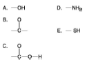
Which functional group(s) shown is (are) present in all amino acids?
a) A and B
b) B and D
c) C only
d) D only
e) C and D
E

Which of the groups is a functional group that helps stabilize proteins by forming covalent cross-links within or between protein molecules?
a) A
b) B
c) C
d) D
e) E
E
The enzyme amylase can break glycosidic linkages between glucose monomers only if the monomers are the α form. Which of the following could amylase break down?
a) cellulose
b) chitin
c) glycogen and chitin only
d) glycogen
e) glycogen, cellulose, and chitin
D
Humans can digest starch but not cellulose because
a) the monomer of starch is glucose, while the monomer of cellulose is glucose with a nitrogen-containing group.
b) humans have enzymes that can hydrolyze the α glycosidic linkages of starch but not the β glycosidic linkages of cellulose.
c) humans have enzymes that can hydrolyze the β glycosidic linkages of starch but not the α glycosidic linkages of cellulose.
d) humans harbor starch-digesting bacteria in the digestive tract.
e) the monomer of starch is glucose, while the monomer of cellulose is galactose.
B
The label on a container of margarine lists "hydrogenated vegetable oil" as the major ingredient. What is the result of adding hydrogens to vegetable oil?
a) The hydrogenated vegetable oil stays solid at room temperature.
b) The hydrogenated vegetable oil has a lower melting point.
c) The hydrogenated vegetable oil has more "kinks" in the fatty acid chains.
d) The hydrogenated vegetable oil is less likely to clog arteries.
e) The hydrogenated vegetable oil has fewer trans fatty acids.
A
Polysaccharides, triacylglycerides, and proteins are similar in that they
a) are synthesized as a result of peptide bond formation between monomers.
b) all contain nitrogen in their monomer building blocks.
c) are synthesized from subunits by dehydration reactions.
d) are synthesized from monomers by the process of hydrolysis.
e) are decomposed into their subunits by dehydration reactions
C
Which level of protein structure do the α helix and the β pleated sheet represent?
a) tertiary
b) quaternary
c) primary, secondary, tertiary, and quaternary
d) secondary
e) primary
D
If a DNA sample were composed of 10% thymine, what would be the percentage of guanine?
a) 20
b) 40
c) 80
d) 10
e) impossible to tell from the information given
B
What maintains the secondary structure of a protein?
a) hydrophobic interactions
b) hydrogen bonds between the R groups
c) peptide bonds
d) disulfide bonds
e) hydrogen bonds between the amino group of one peptide bond and the carboxyl group of another peptide bond
E
The R group or side chain of the amino acid serine is –CH2–OH. The R group or side chain of the amino acid leucine is –CH2–CH–(CH3)2. Where would you expect to find these amino acids in a globular protein in aqueous solution?
a) Serine would be in the interior, and leucine would be on the exterior of the globular protein.
b) Both serine and leucine would be in the interior and on the exterior of the globular protein.
c) Both serine and leucine would be on the exterior of the globular protein.
d) Leucine would be in the interior, and serine would be on the exterior of the globular protein.
e) Both serine and leucine would be in the interior of the globular protein.
D
Normal hemoglobin is a tetramer, consisting of two molecules of β hemoglobin and two molecules of α hemoglobin. In sickle-cell disease, as a result of a single amino acid change, the mutant hemoglobin tetramers associate with each other and assemble into large fibers. Based on this information alone, we can conclude that sickle-cell hemoglobin exhibits
a) altered primary structure.
b) altered secondary structure.
c) altered quaternary structure.
d) altered tertiary structure.
e) altered primary structure and altered quaternary structure; the secondary and tertiary structures may or may not be altered.
E
Approximately 32 different monomeric carbohydrate subunits are found in various natural polysaccharides. Proteins are composed of 20 different amino acids. DNA and RNA are each synthesized from four nucleotides.
Among these biological polymers, which has the least structural variety?
a) DNA
b) proteins
c) RNA
d) polysaccharides
A
Approximately 32 different monomeric carbohydrate subunits are found in various natural polysaccharides. Proteins are composed of 20 different amino acids. DNA and RNA are each synthesized from four nucleotides.
Which class of biological polymer has the greatest functional variety?
a) DNA
b) proteins
c) polysaccharides
d) RNA
B
About 25 of the 92 natural elements are known to be essential to life. Which four of these 25 elements make up approximately 96% of living matter?
A) oxygen, hydrogen, calcium, nitrogen
B) carbon, hydrogen, nitrogen, oxygen
C) carbon, oxygen, phosphorus, hydrogen
D) carbon, sodium, hydrogen, nitrogen
E) carbon, oxygen, nitrogen, calcium
B
The reactivity of an atom arises from
A) the existence of unpaired electrons in the valence shell.
B) the average distance of the outermost electron shell from the nucleus.
C) the sum of the potential energies of all the electron shells.
D) the potential energy of the valence shell.
E) the energy difference between the s and p orbitals.
A
What is the difference between covalent bonds and ionic bonds?
A) Covalent bonds involve the transfer of electrons between atoms; ionic bonds involve the sharing of electrons between atoms
B) Covalent bonds involve the sharing of electrons between atoms; ionic bonds involve the electrical attraction between atoms.
C) Covalent bonds are formed between atoms to form molecules; ionic bonds are formed between atoms to form compounds.
D) Covalent bonds involve the sharing of pairs of electrons between atoms; ionic bonds involve the sharing of single electrons between atoms.
E) Covalent bonds involve the sharing of electrons between atoms; ionic bonds involve the sharing of protons between atoms.
B
Which of the following correctly describes chemical equilibrium?
A) Forward and reverse reactions have stopped so that the concentration of the reactants equals the concentration of the products.
B) Forward and reverse reactions continue with no effect on the concentrations of the reactants and products.
C) There are equal concentrations of reactants and products, and the reactions have stopped.
D) Concentrations of products are higher than the concentrations of the reactants.
E) Reactions stop only when all reactants have been converted to products.
B
A group of molecular biologists is trying to synthesize a new artificial compound to mimic the effects of a known hormone that influences sexual behavior. They have turned to you for advice. Which of the following compounds is most likely to mimic the effects of the hormone?
A) a compound with the same molecular mass as the hormone
B) a compound with the same number of carbon atoms as the hormone
C) a compound with the same number of hydrogen and nitrogen atoms as the hormone
D) a compound with the same three-dimensional shape as part of the hormone
E) a compound with the same number of orbital electrons as the hormone
D
One of the buffers that contribute to pH stability in human blood is carbonic acid (H2CO3). Carbonic acid is a weak acid that dissociates into a bicarbonate ion (HCO3-) and a hydrogen ion (H+). Thus,
H2CO3 ↔ HCO3- + H+
If the pH of the blood drops, one would expect
A) an increase in the concentration of H2CO3 and an decrease in the concentration of HCO3-.
B) the concentration of hydroxide ion (OH-) to increase.
C) a decrease in the concentration of H2CO3 and an increase in the concentration of HCO3-.
D) the HCO3- to act as an acid and remove excess H+ with the formation of H2CO3.
E) the concentration of bicarbonate ion (HCO3-) to increase.
A
Many mammals control their body temperature by sweating. Which property of water is most directly responsible for the ability of sweat to lower body temperature?
A) water's change in density when it condenses
B) water's high surface tension
C) water's ability to dissolve molecules in the air
D) the release of heat by the formation of hydrogen bonds
E) the absorption of heat by the breaking of hydrogen bonds
E
The complexity and variety of organic molecules is due to
A) the fact that they can be synthesized only in living organisms.
B) the variety of rare elements in organic molecules.
C) their tremendously large sizes.
D) their interaction with water.
E) the chemical versatility of carbon atoms.
E
Testosterone and estradiol are male and female sex hormones, respectively, in many vertebrates. In what way(s) do these molecules differ from each other?
A) Testosterone and estradiol are cis-trans isomers but have the same molecular formula.
B) Testosterone and estradiol have different functional groups attached to the same carbon skeleton.
C) Testosterone and estradiol are enantiomers of the same organic molecule.
D) Testosterone and estradiol have distinctly different chemical structures, with one including four fused rings of carbon atoms, while the other has three rings.
E) Testosterone and estradiol are structural isomers but have the same molecular formula.
B
D- and L-dopa, shown below, are examples of pharmaceutical drugs that occur as enantiomers, or molecules that
A) are cis-trans isomers.
B) have identical three-dimensional shapes.
C) are mirror images of one another and have the same biological activity.
D) are mirror images of one another.
E) are structural isomers.
D
Which of the following best summarizes the relationship between dehydration reactions and hydrolysis?
A) Dehydration reactions assemble polymers, and hydrolysis reactions break down polymers.
B) Dehydration reactions eliminate water from lipid membranes, and hydrolysis makes lipid membranes water permeable.
C) Dehydration reactions ionize water molecules and add hydroxyl groups to polymers; hydrolysis reactions release hydroxyl groups from polymers.
D) Dehydration reactions can occur only after hydrolysis.
E) Hydrolysis creates monomers, and dehydration reactions break down polymers
A
Which modifications of fatty acids will best keep triglycerides solid at warmer temperatures?
A) adding hydrogens to the fatty acids
B) adding cis double bonds and trans double bonds to the fatty acids
C) adding hydrogens and trans double bonds to the fatty acids
D) creating trans double bonds to the fatty acids
E) creating cis double bonds to the fatty acids
C
Polysaccharides, triacylglycerides, and proteins are similar in that they
A) are synthesized from monomers by the process of hydrolysis.
B) all contain nitrogen in their monomer building blocks.
C) are decomposed into their subunits by dehydration reactions.
D) are synthesized from subunits by dehydration reactions.
E) are synthesized as a result of peptide bond formation between monomers.
D
Changing a single amino acid in a protein consisting of 325 amino acids would
A) always alter the primary structure of the protein, sometimes alter the tertiary structure of the protein, and affect its biological activity.
B) always alter the biological activity or function of the protein.
C) always alter the primary structure of the protein and disrupt its biological activity.
D) cause the tertiary structure of the protein to unfold.
E) alter the primary structure of the protein, but not its tertiary structure or function.
A
Which of the following is a major cause of the size limits for certain types of cells?
A) the difference in plasma membranes between prokaryotes and eukaryotes
B) evolutionary progression in cell size; more primitive cells have smaller sizes
C) rigid cell walls that limit cell size expansion
D) limitation on the strength and integrity of the plasma membrane as cell size increases
E) the need for a surface area of sufficient area to support the cell's metabolic needs
E
The evolution of eukaryotic cells most likely involved
A) acquisition of an endomembrane system, and subsequent evolution of mitochondria from a portion of the Golgi.
B) an endosymbiotic fungal cell evolved into the nucleus.
C) anaerobic archaea taking up residence inside a larger bacterial host cell to escape toxic oxygen–the anaerobic bacterium evolved into chloroplasts.
D) endosymbiosis of an aerobic bacterium in a larger host cell–the endosymbiont evolved into mitochondria.
D
Which of the following statements concerning bacteria and archaea cells is correct?
A) Archaea cells contain small membrane-enclosed organelles; bacteria do not.
B) Archaea cells contain a membrane-bound nucleus; bacteria do not.
C) DNA is present in both archaea cells and bacteria cells.
D) DNA is present in the mitochondria of both bacteria and archaea cells.
C
Large numbers of ribosomes are present in cells that specialize in producing which of the following molecules?
A) proteins
B) glycogen
C) lipids
D) cellulose
E) nucleic acids
A
Autophagy removes old damaged organelles like mitochondria. Decreased autophagy results in degeneration and inflammation and may result in the “symptoms” of aging. Which of the following choices is most directly involved in the process of autophagy?
A) smooth ER
B) peroxisomes
C) rough ER
D) Golgi apparatus
E) lysosomes
E
Tay-Sachs disease is a human genetic abnormality that results in cells accumulating and becoming clogged with very large and complex lipids. Which cellular organelle must be involved in this condition?
A) the lysosome
B) mitochondria
C) membrane-bound ribosomes
D) the Golgi apparatus
E) the endoplasmic reticulum
A
The chemical reactions involved in respiration are virtually identical between prokaryotic and eukaryotic cells. In eukaryotic cells, ATP is synthesized primarily on the inner membrane of the mitochondria. In light of the endosymbiont theory for the evolutionary origin of mitochondria, where is most ATP synthesis likely to occur in prokaryotic cells?
A) on the inner nuclear envelope
B) on the plasma membrane
C) on the endoplasmic reticulum
D) on the inner mitochondrial membrane
E) in the cytoplasm
B
Cyanide binds with at least one molecule involved in producing ATP. If a cell is exposed to cyanide, most of the cyanide will be found within the
A) lysosomes.
B) ribosomes.
C) peroxisomes.
D) endoplasmic reticulum.
E) mitochondria.
E
Prokaryotic and eukaryotic cells generally have which of the following features in common?
A) a cell wall made of cellulose
B) ribosomes
C) flagella or cilia that contain microtubules
D) linear chromosomes made of DNA and protein
E) a membrane-bounded nucleus
B
In animal metabolism, most of the monomers released by digestion of food macromolecules are metabolized to provide energy. Only a small portion of these monomers are used for synthesis of new macromolecules. The net result is that
A. water is generated by animal metabolism.
B. the water consumed is exactly balanced by the water generated, to maintain homeostasis.
C. water is consumed during homeostasis, but water is generated during periods of growth.
D. water is generated during homeostasis, but water is consumed during periods of growth.
E. water is consumed by animal metabolism.
E
If you use dehydration reactions to combine 3 glucose (C6H12O6) monomers into 1 molecule, what would be the molecular formula of that molecule?
A. C18H36O18
B. C18H12O6
C. C6H10O5
D. C18H32O16
E. C16H32O16
D
Why are human enzymes that digest starch unable to digest cellulose?
A. Cellulose has beta-glycosidic linkages; starch-digesting enzymes cleave only alpha-glycosidic linkages.
B. Cellulose is made of amino-containing sugars that cannot be metabolized.
C. Cellulose contains L-glucose instead of D-glucose; starch-digesting enzymes are specific for polymers of D-glucose.
D. Cellulose has beta-galactoside linkages that only bacterial beta-galactosidases can cleave.
E. Cellulose fibers are covalently cross-linked; starch-digesting enzymes cannot cleave these cross-links.
A
Enzymes responsible for biosynthesis of membrane lipids are located in what part of an animal cell?
A) nucleus
B) endoplasmic reticulum
C) lysosomes
D) Golgi
E) plasma membrane
B
What proteins are not made at the rough ER?
A) proteins that enter the nucleus and bind there with the DNA as part of the chromatin
B) insulin (a secreted protein hormone)
C) digestive enzymes of the gut
D) antibodies in the blood
E) collagen (an extracellular matrix protein)
A
Which of the following is (are) true of natural selection?
A) It requires genetic variation.
B) It involves differential reproductive success.
C) It results in descent with modification.
D) All of the above are true of natural selection
D
Why is it important that an experiment include a control group?
A) A control group assures that an experiment will be repeatable.
B) The control group is the group that the researcher is in control of, the group in which the researcher predetermines the results.
C) Without a control group, there is no basis for knowing if a particular result is due to the variable being tested.
D) The control group provides a reserve of experimental subjects.
E) A control group is required for the development of an "If…then" statement
C
Ultraviolet (UV) light is harmful to living organisms because it causes changes (i.e., mutations) in the DNA sequence that can cause skin cancer. The pigment melanin absorbs the energy of UV light and shields cells from the radiation’s harmful effects. People vary in their skin tone due to differences in the distribution, quantity, size, and type of melanin found in their skin cells. It was originally thought that darker skin evolved to protect against the harmful effects of UV light. In particular, individuals who lacked optimal pigmentation for tropical latitudes had a greater risk of skin cancer and death. Which statement argues against skin cancer as a selective force for dark skin color?
A) Dark skinned individuals are also found in temperate latitudes.
B) Light skinned individuals are better able to survive skin cancer.
C) UV in the tropics is less intense than at the poles.
D) Skin cancer occurs most frequently in individuals 45 or older, and doesn’t affect reproductive output.
D
In a hypothetical world, every 50 years people over 6 feet tall are eliminated from the population before they reproduce. Based on your knowledge of natural selection, you would predict that the average height of the human population will
A) remain unchanged.
B) gradually increase.
C) rapidly increase.
D) gradually decline.
E) rapidly decline
D
Trace elements are those required by an organism in only minute quantities. Which of the following is a trace element that is required by humans and other vertebrates?
A) sodium
B) calcium
C) nitrogen
D) phosphorus
E) iodine
E

Which of the following statements is true regarding the molecule illustrated?
A) Molecules of this type are usually liquid at room temperature.
B) A diet rich in this molecule may contribute to atherosclerosis.
C) It is a saturated fatty acid.
D) It is a saturated fatty acid and a diet rich in this molecule may
contribute to atherosclerosis.
E) It is a saturated fatty acid, a diet rich in this molecule may contribute to atherosclerosis, and molecules of this type are usually liquid at room temperature.
D
What is the most likely pathway taken by a newly synthesized protein that will be secreted by a cell?
A) ER → Golgi → nucleus
B) Golgi →ER →lysosome
C) nucleus →ER →Golgi
D) ER →Golgi →vesicles that fuse with plasma membrane
E) ER →lysosomes →vesicles that fuse with plasma membrane
D
Misfolding of polypeptides is a serious problem in cells. Which of the following diseases are associated with an accumulation of misfolded polypeptides?
A) Alzheimer's Disease
B) Diabetes mellitus
C) Parkinson's Disease
D) Both Alzheimer's and Parkinson's Disease
D
Which of these is an example of inductive reasoning?
A) If two species are members of the same genus, they are more alike than each of them could be to a different genus.
B) Hundreds of individuals of a species have been observed and all are photosynthetic; therefore, the species is photosynthetic.
C) These organisms live in sunny regions. Therefore, they are using photosynthesis.
D) If protists are all single-celled, then they are incapable of aggregating.
B
The experimental approach taken in current biological investigations presumes that
A) living organisms are composed of the same elements present in nonliving things, plus a few special trace elements found only in living organisms or their products
B) living organisms can be understood in terms of the same physical and chemical laws that can be used to explain all natural phenomena
C) simple organic compounds can be synthesized in the laboratory from inorganic precursors, but complex organic compounds like carbohydrates and proteins can be synthesized only by living organisms
D) a life force ultimately controls the activities of living organisms and this life force cannot be studied by physical or chemical methods
B
Asbestos is a material that was once used extensively in construction. One risk from working in a building that contains asbestos is the development of asbestosis caused by the inhalation of asbestos fibers. Cells will phagocytize asbestos, but are not able to degrade it. As a result, asbestos fibers accumulate in
A) nucleus
B) lysosomes
C) ribosomes
D) mitochondria
B
The function of a protein is dependent upon the shape into which the chain of amino acids folds. Many non-covalent interactions are responsible for maintaining the protein's shape. Assume you have isolated a protein from an organism in its proper shape, and you have treated it with an enzyme that selectively targets and breaks only the peptide bonds in the proteins. Would the protein retain its shape under these conditions?
A) Yes; once the shape of a protein is formed, the peptide bonds are unnecessary.
B) Yes; the non-covalent interactions are stronger than the peptide bonds.
C) Yes; but the shape would be affected to a greater extent by changes in temperature.
D) No; while the non-covalent bonds determine the shape of a protein, the peptide bonds are required to hold the amino acids together.
D

The following data are the results of a study in patients who have previously survived a heart attack on the effect of compliance (taking the cholesterol lowering drug daily as prescribed) on 5 year mortality (patients dying of a heart attack within 5 years of the first one). Does the cholesterol lowering drug have an effect on preventing these patients from having a fatal heart attack within 5 years of the first?
A) The drug lowers the 5 yr mortality rate in compliant subjects, but not in non-compliant subjects.
B) The drug has no effect compared to control in both compliant and non-compliant subjects.
C) The drug seems to have no effect on reducing 5 yr % mortality compared to controls in compliant subjects but slightly reduces mortality in non-compliant subjects
C
The liver is involved in detoxification of many poisons and drugs. Which of the following structures is primarily involved in this process and therefore abundant in liver cells?
A) smooth ER
B) transport vesicles
C) rough ER
D) Golgi apparatus
E) nuclear envelope
A
According to the fluid mosaic model of cell membranes, which of the following is a true statement about membrane phospholipids?
A) They frequently flip-flop from one side of the membrane to the other.
B) They have hydrophilic tails in the interior of the membrane.
C) They are free to depart from the membrane and dissolve in the surrounding solution.
D) They can move laterally along the plane of the membrane.
E) They occur in an uninterrupted bilayer, with membrane proteins restricted to the surface of the membrane.
D
An animal cell lacking oligosaccharides on the external surface of its plasma membrane would likely be impaired in which function?
A) maintaining fluidity of the phospholipid bilayer
B) transporting ions against an electrochemical gradient
C) establishing the diffusion barrier to charged molecules
D) cell-cell recognition
E) attaching to the cytoskeleton
D
Which of the following is a characteristic feature of a carrier protein in a plasma membrane?
A) It exhibits a specificity for a particular type of molecule.
B) It works against diffusion.
C) It is a peripheral membrane protein.
D) It has few, if any, hydrophobic amino acids.
E) It requires the expenditure of cellular energy to function.
A
Which of the following is most likely true of a protein that cotransports glucose and sodium ions into the intestinal cells of an animal?
A) Glucose entering the cell along its concentration gradient provides energy for uptake of sodium ions against the electrochemical gradient.
B) The sodium ions are moving down their electrochemical gradient while glucose is moving up.
C) A substance that blocks sodium ions from binding to the cotransport protein will also block the transport of glucose.
D) The cotransporter can also transport potassium ions.
E) Sodium ions can move down their electrochemical gradient through the cotransporter whether or not glucose is present outside the cell.
C
Recall the case of Sally Clark, the British woman who had two infants die shortly after birth and was convicted of killing her children. While there was no forensic evidence of trauma or lack of care, she was convicted by a jury based on the testimony of Sir Roy Meadows, a pediatrician and expert witness. Meadows argued that based on statistics from the Confidential Enquiry for Stillbirths and Deaths in Infancy, an authoritative study of SIDS in England, the chances of a random baby dying of SIDS in England was 1 in 1301. If the child is from an affluent, well educated, non-smoking family, the odds fall to 1 in 8500. Based on this, Meadows reasoned that the chance of two children from the same family dying of SIDS was ~1 in 73 million (8500-2). Why was this a misuse of statistics?
A) Meadows viewed the deaths as independent events and did not consider the role genetic or environmental factors may have had.
B) The jury equated the probability of two deaths (1 in 73 million) with the probability that Sally Clark was innocent.
C) According to the data, the probability that Sally Clark killed her two sons was more unlikely than the infants dying from SIDS.
D) All these reasons point to a misuse of statistics in the Sally Clark case.
D
Which of the following statements best summarizes the differences between DNA and RNA?
A) DNA nucleotides contain deoxyribose sugar, RNA contains ribose.
B) DNA is single stranded, RNA is doubled stranded.
C) DNA contains the base uracil, whereas RNA contains the base thymine.
D) RNA encodes hereditary information, DNA does not.
A
What is the structural feature that allows DNA to replicate?
A) complementary pairing of the nitrogenous bases
B) sugar-phosphate backbone
C) disulfide bonding (bridging) of the two helixes
D) twisting of the molecule to form an α helix
E) three-component structure of the nucleotides
A
On food packages, to what does the term insoluble fiber refer?
A) polypeptides
B) starch
C) cellulose
D) amylopectin
E) glucose
C
There are 20 different amino acids. What makes one amino acid different from another?
A) different side chains (R groups) attached to an α carbon
B) different side chains (R groups) attached to a carboxyl carbon
C) different side chains (R groups) attached to the amino groups
D) different structural and optical isomers
E) different asymmetric carbons
A
Cystic fibrosis is a genetic disease in humans in which the CFTR protein, which functions as a chloride ion channel, is missing or nonfunctional in cell membranes. If the sodium ion concentration outside the cell increases, and the CFTR channel is open, in what direction will chloride ions and water move across the cell membrane?
A) Chloride ions will move out of the cell, and water will move into the cell.
B) Chloride ions will move into the cell, and water will move out of the cell.
C) Both chloride ions and water will move out of the cell.
D) Both chloride ions and water will move into the cell.
E) The movement of chloride ions and water molecules will not be affected by changes in sodium ion concentration outside the cell.
C
An animal cell lacking oligosaccharides on the external surface of its plasma membrane would likely be impaired in which function?
A) attaching to the cytoskeleton
B) establishing the diffusion barrier to charged molecules
C) maintaining fluidity of the phospholipid bilayer
D) cell-cell recognition
E) transporting ions against an electrochemical gradient
D
Why are lipids and proteins free to move laterally in membranes?
A) Lipids and proteins repulse each other in the membrane.
B) The interior of the membrane is filled with liquid water.
C) Hydrophilic portions of the lipids are in the interior of the membrane.
D) Molecules such as cellulose can pull them in various directions.
E) There are only weak hydrophobic interactions in the interior of the membrane
B
Glucose diffuses slowly through artificial phospholipid bilayers. The cells lining the small intestine, however, rapidly move large quantities of glucose from the glucose-rich food into their glucose-poor cytoplasm. Using this information, which transport mechanism is most probably functioning in the intestinal cells?
A) active transport pumps
B) facilitated diffusion
C) phagocytosis
D) simple diffusion
E) exocytosis
B
Which of the following is most likely true of a protein that cotransports glucose and sodium ions into the intestinal cells of an animal?
A) The cotransporter can also transport potassium ions.
B) A substance that blocks sodium ions from binding to the cotransport protein will also block the transport of glucose.
C) The sodium ions are moving down their electrochemical gradient while glucose is moving up.
D) Sodium ions can move down their electrochemical gradient through the cotransporter whether or not glucose is present outside the cell.
E) Glucose entering the cell along its concentration gradient provides energy for uptake of sodium ions against the electrochemical gradient.
B

Based on the figure, which of these experimental treatments would increase the rate of sucrose transport into the cell?
A) decreasing extracellular sucrose concentration
B) decreasing extracellular pH
C) adding an inhibitor that blocks the regeneration of ATP
D) adding a substance that makes the membrane more permeable to hydrogen ions
E) decreasing cytoplasmic pH
B
A number of systems for pumping ions across membranes are powered by ATP. Such ATP-powered pumps are often called ATPases although they don't often hydrolyze ATP unless they are simultaneously transporting ions. Because small increases in calcium ions in the cytosol can trigger a number of different intracellular reactions, cells keep the cytosolic calcium concentration quite low under normal conditions, using ATP-powered calcium pumps. For example, muscle cells transport calcium from the cytosol into the membranous system called the sarcoplasmic reticulum (SR). If a resting muscle cell's cytosol has a free calcium ion concentration of 10-7 while the concentration in the SR is 10-2, then how is the ATPase acting?
A) ATPase activity must be transferring Pi to the SR to enable this to occur.
B) ATPase activity must be pumping calcium from the cytosol to the SR against the concentration gradient.
C) ATPase activity must be opening a channel for the calcium ions to diffuse back into the SR along the concentration gradient.
D) ATPase activity must be routing calcium ions from the SR to the cytosol, and then to the cell's environment.
E) ATPase activity must be powering an inflow of calcium from the outside of the cell into the SR.
B
During a laboratory experiment, you discover that an enzyme-catalyzed reaction has a ΔG of -20 kcal/mol. If you double the amount of enzyme in the reaction, what will be the ΔG for the new reaction?
A) -40 kcal/mol
B) +40 kcal/mol
C) +20 kcal/mol
D) -20 kcal/mol
E) 0 kcal/mol
D
Increasing the substrate concentration in an enzymatic reaction could overcome which of the following?
A) insufficient cofactors
B) allosteric inhibition
C) saturation of the enzyme activity
D) denaturization of the enzyme
E) competitive inhibition
E
Protein kinases are enzymes that catalyze phosphorylation of target proteins at specific sites, whereas protein phosphatases catalyze removal of phosphate(s) from phosphorylated proteins. Phosphorylation and dephosphorylation can function as an on-off switch for a protein's activity, most likely through
A) a change in the optimal temperature at which a reaction will occur.
B) the change in a protein's charge leading to a conformational change.
C) the excision of one or more peptides.
D) the change in a protein's charge leading to cleavage.
E) a change in the optimal pH at which a reaction will occur.
B

In the figure, why does the reaction rate plateau at higher reactant concentrations? A) The activation energy for the reaction increases with reactant concentration. B) Most enzyme molecules are occupied by substrate at high reactant concentrations. C) The rate of the reverse reaction increases with reactant concentration. D) Feedback inhibition by product occurs at high reactant concentrations. E) The reaction nears equilibrium at high reactant concentra
B
Succinate dehydrogenase catalyzes the conversion of succinate to fumarate in the Citric Acid Cycle. The reaction is inhibited by malonic acid, which resembles succinate but cannot be acted upon by succinate dehydrogenase. Increasing the ratio of succinate to malonic acid reduces the inhibitory effect of malonic acid. What is malonic acid's role with respect to succinate dehydrogenase?
A) It blocks the binding of fumarate.
B) It is able to bind to succinate.
C) It is an allosteric regulator.
D) It is a competitive inhibitor.
E) It is a noncompetitive inhibitor
D

Assume that the reaction in the figure has a ΔG of -5.6 kcal/mol. Which of the following would be true?
A) The reaction would result in a decrease in entropy (S) and an increase in the total energy content (H) of the system.
B) The reaction would result in products (C + D) with a greater free-energy content than in the initial reactants (A + B).
C) The reaction could be coupled to power an exergonic reaction with a ΔG of +8.8 kcal/mol.
D) The reaction could be coupled to power an endergonic reaction with a ΔG of +6.2 kcal/mol.
E) The reaction would result in an increase in entropy (S) and a decrease in the total energy content (H) of the system.
E
Which of the following statements describes the results of this reaction?
C6H12O6 + 6 O2 → 6 CO2 + 6 H2O + Energy
A) C6H12O6 is oxidized and O2 is reduced.
B) O2 is oxidized and H2O is reduced.
C) C6H12O6 is reduced and CO2 is oxidized.
D) O2 is reduced and CO2 is oxidized.
E) CO2 is reduced and O2 is oxidized
A
The free energy for the oxidation of glucose to CO2 and water is -686 kcal/mol and the free energy for the reduction of NAD+ to NADH is +53 kcal/mol. Why are only two molecules of NADH formed during glycolysis when it appears that as many as a dozen could be formed?
A) Most of the free energy available from the oxidation of glucose remains in pyruvate, one of the products of glycolysis.
B) Glycolysis consists of many enzymatic reactions, each of which extracts some energy from the glucose molecule.
C) Glycolysis is a very inefficient reaction, with much of the energy of glucose released as heat.
D) There is no CO2 or water produced as products of glycolysis.
E) Most of the free energy available from the oxidation of glucose is used in the production of ATP in glycolysis
A
Which kind of metabolic poison would most directly interfere with glycolysis?
A) an agent that binds to pyruvate and inactivates it
B) an agent that reacts with oxygen and depletes its concentration in the cell
C) an agent that closely mimics the structure of glucose but is not metabolized
D) an agent that reacts with NADH and oxidizes it to NAD+
E) an agent that blocks the passage of electrons along the electron transport chain
C
A young animal has never had much energy. She is brought to a veterinarian for help and is sent to the animal hospital for some tests. There they discover his mitochondria can use only fatty acids and amino acids for respiration, and his cells produce more lactate than normal. Of the following, which is the best explanation of her condition?
A) Her cells cannot move NADH from glycolysis into the mitochondria.
B) Her mitochondria lack the transport protein that moves pyruvate across the outer mitochondrial membrane.
C) Her cells have a defective electron transport chain, so glucose goes to lactate instead of to acetyl CoA.
D) Her cells lack the enzyme in glycolysis that forms pyruvate.
E) Her cells contain something that inhibits oxygen use in his mitochondria.
B
When hydrogen ions are pumped from the mitochondrial matrix across the inner membrane and into the intermembrane space, the result is the
A) formation of ATP.
B) restoration of the Na+/K+ balance across the membrane.
C) reduction of NAD+.
D) lowering of pH in the mitochondrial matrix.
E) creation of a proton-motive force.
E
Which of the following produces the most ATP when glucose (C6H12O6) is completely oxidized to carbon dioxide (CO2) and water?
A) glycolysis
B) citric acid cycle
C) fermentation
D) oxidative phosphorylation
E) oxidation of pyruvate to acetyl CoA
D
An organism is discovered that thrives both in the presence and absence of oxygen in the air. Curiously, the consumption of sugar increases as oxygen is removed from the organism's environment, even though the organism does not gain much weight. This organism
A) is a facultative anaerobe.
B) must use a molecule other than oxygen to accept electrons from the electron transport chain.
C) is photosynthetic.
D) is an anaerobic organism.
E) is a normal eukaryotic organism.
A
When an individual is exercising heavily and when the muscle becomes oxygen-deprived, muscle cells convert pyruvate to lactate. What happens to the lactate in skeletal muscle cells?
A) It produces CO2 and water.
B) It is converted to NAD+.
C) It is taken to the liver and converted back to pyruvate.
D) It reduces FADH2 to FAD+.
E) It is converted to alcoho
C
Phosphofructokinase is an allosteric enzyme that catalyzes the conversion of fructose 6-phosphate to fructose 1,6-bisphosphate, an early step of glycolysis. In the presence of oxygen, an increase in the amount of ATP in a cell would be expected to
A) inhibit the enzyme and thus increase the rate of glycolysis and the concentration of citrate.
B) activate the enzyme and thus slow the rates of glycolysis and the citric acid cycle.
C) inhibit the enzyme and thus increase the rates of glycolysis and the citric acid cycle.
D) activate the enzyme and increase the rates of glycolysis and the citric acid cycle.
E) inhibit the enzyme and thus slow the rates of glycolysis and the citric acid cycle.
E
In vertebrate animals, brown fat tissue's color is due to abundant mitochondria, blood vessels and capillaries. White fat tissue, on the other hand, is specialized for fat storage and contains relatively few blood vessels or capillaries. Brown fat cells have a specialized protein that dissipates the proton-motive force across the mitochondrial membranes. Which of the following might be the function of the brown fat tissue?
A) to regulate temperature by converting most of the energy from NADH oxidation to heat
B) to increase the rate of oxidative phosphorylation from its few mitochondria
C) to allow other membranes of the cell to perform mitochondrial functions
D) to increase the production of ATP
E) to allow the animals to regulate their metabolic rate when it is especially hot
A
When electrons flow along the electron transport chains of mitochondria, which of the following changes occurs?
A) The electrons gain free energy.
B) ATP synthase pumps protons by active transport.
C) The pH of the matrix increases.
D) NAD+ is oxidized.
E) The cytochromes phosphorylate ADP to form ATP.
C
Some photosynthetic organisms contain chloroplasts that lack photosystem II, yet are able to survive. The best way to detect the lack of photosystem II in these organisms would be
A) to do experiments to generate an action spectrum.
B) to determine if they have thylakoids in the chloroplasts.
C) to test for liberation of O2 in the light.
D) to test for CO2 fixation in the dark.
E) to test for production of either sucrose or starch
C
As a research scientist, you measure the amount of ATP and NADPH consumed by the Calvin cycle in 1 hour. You find 30,000 molecules of ATP consumed, but only 20,000 molecules of NADPH. Where did the extra ATP molecules come from?
A) linear electron flow
B) photosystem I
C) photosystem II
D) cyclic electron flow
E) chlorophyll
D
Which of the following statements best describes the relationship between photosynthesis and respiration?
A) Respiration is anabolic and photosynthesis is catabolic.
B) Respiration runs the biochemical pathways of photosynthesis in reverse.
C) ATP molecules are produced in photosynthesis and used up in respiration.
D) Photosynthesis stores energy in complex organic molecules, whereas respiration releases it.
E) Photosynthesis occurs only in plants and respiration occurs only in animals.
D
The reactions that produce molecular oxygen (O2) take place in
A) the chloroplast, but are not part of photosynthesis.
B) the light reactions alone.
C) both the light reactions and the Calvin cycle.
D) the Calvin cycle alone.
E) neither the light reactions nor the Calvin cycle.
B
The accumulation of free oxygen in Earth's atmosphere began
A) with the origin of cyanobacteria that had both photosystem I and photosystem II.
B) with the origin of life and respiratory metabolism.
C) with the origin of chloroplasts in photosynthetic eukaryotic algae.
D) with the origin of land plants.
E) with the origin of photosynthetic bacteria that had photosystem I.
A
In the process of carbon fixation, RuBP attaches a CO2 to produce a six-carbon molecule, which is then split to produce two molecules of 3-phosphoglycerate. After phosphorylation and reduction produces glyceraldehyde 3-phosphate (G3P), what more needs to happen to complete the Calvin cycle?
A) regeneration of NADP+
B) regeneration of RuBP
C) inactivation of RuBP carboxylase enzyme
D) regeneration of ATP from ADP
E) addition of a pair of electrons from NADPH
B
In an experiment studying photosynthesis performed during the day, you provide a plant with radioactive carbon (14C) dioxide as a metabolic tracer. The 14C is incorporated first into oxaloacetate. The plant is best characterized as a
A) heterotroph.
B) C4 plant.
C) C3 plant.
D) CAM plant.
E) chemoautotroph.
B
To identify the molecule that accepts CO2, Calvin and Benson manipulated the carbon-fixation cycle by either cutting off CO2 or cutting off light from cultures of photosynthetic algae. They then measured the concentrations of various metabolites immediately following the manipulation. How would these experiments help identify the CO2 acceptor?
A) The CO2 acceptor concentration would stay the same regardless of the CO2 or light.
B) The CO2 acceptor concentration would increase when either the CO2 or light are cut off.
C) The CO2 acceptor concentration would decrease when either the CO2 or light are cut off.
D) The CO2 acceptor concentration would decrease when the CO2 is cut off, but increase when the light is cut off.
E) The CO2 acceptor concentration would increase when the CO2 is cut off, but decrease when the light is cut off.
E
When a neuron responds to a particular neurotransmitter by opening gated ion channels, the neurotransmitter is serving as which part of the signal pathway?
A) relay molecule
B) endocrine molecule
C) transducer
D) signal molecule
E) receptor
D
Which of the following is true for the signaling system in an animal cell that lacks the ability to produce GTP?
A) It would not be able to activate and inactivate the G protein on the cytoplasmic side of the plasma membrane.
B) It could activate only the epinephrine system.
C) It would employ a transduction pathway directly from an external messenger.
D) It would be able to carry out reception and transduction but would not be able to respond to a signal.
E) It would use ATP instead of GTP to activate and inactivate the G protein on the cytoplasmic side of the plasma membrane.
A
Testosterone functions inside a cell by
A) acting as a steroid signal receptor that activates ion channel proteins.
B) acting as a signal receptor that activates tyrosine kinases.
C) coordinating a phosphorylation cascade that increases spermatogenesis.
D) becoming a second messenger that inhibits adenylyl cyclase.
E) binding with a receptor protein that enters the nucleus and activates specific genes.
E
Receptor tyrosine kinases (RTKs) are found at high levels on various cancer cells. A protein, Herceptin, has been found to bind to an RTK known as HER2. This information can now be utilized in breast cancer treatment if which of the following is true?
A) If Herceptin is found in the breast lymph nodes of the patient.
B) If the patient's genome codes for the manufacture of Herceptin.
C) If the patient's cancer cells have detectable HER2.
D) If the patient's genome codes for the HER2 receptor.
E) If HER2, administered by injection, is in sufficient concentration.
C
In which of the following ways could signal transduction most probably be explored in research to treat cancer?
A) increase in calcium ion uptake into the cytoplasm in order to modulate the effects of environmental carcinogens
B) expansion of the role of transduction inhibitors in the cells before they give rise to cancer
C) alteration of protein kinases in cell cycle regulation in order to slow cancer growth
D) increase in the concentration of phosphodiesterases in order to produce more AMP
E) removal of serine/threonine phosphate acceptors from transduction pathways in colon pre-cancerous growths
C
A reaction has a ΔG of −5.6 kcal/mol. Which of the following would most likely be true? A. The reaction could be coupled to power an endergonic reaction with a ΔG of +8.8 kcal/mol.
B. The reaction would result in a decrease in entropy (S) and an increase in the energy content (H) of the system.
C. The reaction would result in an increase in entropy (S) and a decrease in the energy content (H) of the system.
D. The reaction would result in products with a greater free-energy content than in the initial reactants.
C
The pathway involved in the breakdown of glucose for energy is known as a(n)
A. Anabolic pathway
B. Catabolic pathway
C. Endergonic pathway
D. Genetic pathway
E. Signal transduction pathway
B

Which of the following is true about the reaction pictured?
A. It is endothermic, which requires energy to be absorbed
B. It is exothermic, which means net energy is released
C. No activation energy is required to start the reaction; it is spontaneous
D. Both A & C
E. Both B & C
A
With one glucose molecule, approximately how many net ATP are produced in Glycolysis, the Citric Acid Cycle, and Oxidative Phosphorylation, respectively?
A. 2 ATP, 2 ATP, 26-28 ATP
B. 2ATP, 12 ATP, 12-14 ATP
C. 0 ATP, 4 ATP, 26-28 ATP
D. 2 ATP, 8 ATP, 14-16 ATP
E. 4 ATP, 2 ATP, 24-26 ATP
A
Which of the following statements is not true about cellular respiration and photosynthesis?
A. The end products of cellular respiration are carbon dioxide, water, and energy, and the end products of photosynthesis are glucose, oxygen, and water
B. Photosynthesis occurs in only in plants and other autotrophic organisms, and cellular respiration only occurs in heterotrophic organisms
C. Photosynthesis takes place in the chloroplast organelle, whereas cellular respiration takes place in the mitochondria organelle.
D. No catalyst is required for cellular respiration, but chlorophyll is a necessary catalyst for photosynthesis
E. The Krebs cycle is part of cellular respiration whereas the Calvin cycle is part of photosynthesis
B
The hydrolysis of ATP: ATP + H2O → ADP + Pi is exergonic, with a ΔG of −7.3 kcal/mol under standard conditions. What is the source of the 7.3 kcal/mol released in this reaction?
A. breaking the terminal phosphate bond in ATP
B. the increase in entropy from breaking apart ATP
C. both the energy released from breaking the terminal phosphate bond and the increase in entropy
D. the difference between the potential energy in the bonds of ATP and the water molecule, minus the potential energy in the bonds of ADP and Pi
D
Vioxx and other prescription nonsteroidal anti-inflammatory drugs (NSAIDs) are potent inhibitors of the cycloxygenase-2 (COX-2) enzyme. High substrate concentrations reduce the efficacy of inhibition by these drugs. These drugs are A. competitive inhibitors.
B. noncompetitive inhibitors.
C. allosteric regulators.
D. prosthetic groups.
E. feedback inhibitors.
E
Adenosine monophosphate (AMP) activates the enzyme phosphofructokinase (PFK) by binding at a site distinct from the substrate binding site. This is an example of
A. cooperative activation.
B. allosteric activation.
C. activation by an enzyme cofactor.
D. coupling exergonic and endergonic reactions
B
Some of the drugs used to treat HIV patients are competitive inhibitors of the HIV reverse transcriptase enzyme. Unfortunately, the high mutation rate of HIV means that the virus rapidly acquires mutations with amino acid changes that make them resistant to these competitive inhibitors. Where in the reverse transcriptase enzyme would such amino acid changes most likely occur in drug-resistant viruses?
A. in or near the active site
B. at an allosteric site
C. at a cofactor binding site
D. in regions of the protein that determine packaging into the virus capsid
E. Such mutations could occur anywhere with equal probability.
A
The function of NAD+ is to
A. cause the release of energy to adjacent cells when energy is needed in aerobic conditions.
B. hasten the release of energy when the cell has been deprived of oxygen.
C. carry hydrogen atoms and free energy from compounds being oxidized, and to give hydrogen atoms and free energy to compounds being reduced.
D. block the release of energy to adjacent cells.
E. convert the potential energy of the proton gradient into the chemical energy in ATP
C
During glycolysis, for each mole of glucose oxidized to pyruvate
A. 6 moles of ATP are produced.
B. 4 moles of ATP are used, and 2 moles of ATP are produced.
C. 2 moles of ATP are used, and 4 moles of ATP are produced.
D. 2 moles of ATP are used, and 2 moles of ATP are produced.
E. net 4 moles of ATP are produced.
C
Brown adipose tissue is a special type of tissue found in mammals that contains high numbers of mitochondria and blood vessels. What is the main function of this tissue, given that it contains an uncoupling protein that decreases the proton gradient in oxidative phosphorylation?
A. It synthesizes high levels of ATP
B. It directly powers muscle contraction
C. It provides warmth
D. It provides energy for endergonic biosynthetic reactions
E. It synthesizes glucose from CO2
C
The role of oxygen gas in our cells is to
A. catalyze reactions in glycolysis.
B. produce CO2.
C. form ATP.
D. accept electrons from the respiratory chain.
E. react with glucose to split water
D
The electron transport chain contains four large protein complexes. These proteins
A. are embedded in the inner membrane of the mitochondrion.
B. change in a similar way when reduced.
C. regulate the passage of water through the respiratory chain.
D. reduce NADH.
E. complete the oxidation of pyruvate to acetate.
A

The graph shows the oxygen concentration in a sealed chamber containing isolated mitochondria plus citrate. The addition of Rotenone
A. Stimulates respiration by acting as an oxygen receptor
B. Stimulates respiration by speeding up glycolysis
C. Inhibits respiration by slowing down glycolysis
D. Inhibits respiration by interfering with the electron transport chain
E. Does not affect the rate of respiration
D
The chemiosmotic generation of ATP is driven by
A. osmotic movement of water into an area of high solute concentration.
B. the addition of protons to ADP and phosphate via enzymes.
C. oxidative phosphorylation.
D. the proton motive force.
E. isocitrate dehydrogenase
D
Some drugs known as uncouplers facilitate diffusion of protons across the mitochondrial inner membrane. When such a drug is added, what will happen to ATP synthesis and oxygen consumption?
A. Both ATP synthesis and oxygen consumption will decrease.
B. ATP synthesis will decrease; oxygen consumption will increase.
C. ATP synthesis will increase; oxygen consumption will decrease.
D. Both ATP synthesis and oxygen consumption will increase.
E. ATP synthesis will decrease; oxygen consumption will stay the same
B
When bacteria are shifted from an aerobic to an anaerobic environment, they can continue to grow relatively rapidly by
A. increasing the rate of the citric acid cycle.
B. producing more ATP per mole of glucose during glycolysis.
C. producing ATP during the oxidation of NADH.
D. increasing the rate of electron transport down the respiratory chain.
E. increasing the rate of the glycolytic reactions
E
A person on a dangerously severe diet will eventually suffer from malnutrition and even starvation. If a person does not eat enough to fuel sufficient ATP and NADH production for biological activities, energy sources will be depleted. Which of the following represents the correct order in which this depletion takes place?
A. Glycogen → fats → proteins
B. Fats → glycogen → proteins
C. Glycogen → proteins → fats
D. Fats → proteins → glycogen
E. Proteins → glycogen → fats
A
The purpose of the lactic acid or alcohol fermentation reaction is
A. To regenerate NAD+ so glycolysis can continue
B. To make alcohol or lactic acid that cells can metabolize for energy under anaerobic conditions
C. To make additional ATP when respiration can’t make ATP fast enough
D. To slow down cellular oxygen consumption when oxygen is scarce
E. To make organic molecules that cells can store until oxygen becomes available
A
A young animal has never had much energy. She is brought to a veterinarian for help and is sent to the animal hospital for some tests. There they discover her mitochondria can use only fatty acids and amino acids for respiration, and her cells produce more lactate than normal. Of the following, which is the best explanation of her condition?
A. Her cells cannot move NADH from glycolysis into the mitochondria.
B. Her mitochondria lack the transport protein that moves pyruvate across the outer mitochondrial membrane.
C. Her cells have a defective electron transport chain, so glucose goes to lactate instead of to acetyl CoA.
D. Her cells lack the enzyme in glycolysis that forms pyruvate.
E. Her cells contain something that inhibits oxygen use in his mitochondria
B
Which of the following is not true of the light reactions in photosynthesis?
A. H2O is split and O2 is released
B. The electron acceptor NADP+ changes to NADPH
C. ATP is generated from ADP by phosphorylation
D. Sugar is formed from CO2 using ATP and NADPH
E. They take place in the thylakoids of the chloroplast
D
Of the following events from the light reactions of photosynthesis, which would be expected to occur first?
A. Light-induced reduction of the primary electron acceptor in the reaction center of PS II takes place.
B. While being split, electrons are taken out of water.
C. Donation of electrons from reduced Pq to the cytochrome complex
D. Acceptance of electrons by Pc from the cytochrome complex
E. Pq gets electrons from the reduced primary electron acceptor of PS II.
A
Which biological group is dependent on photosynthesis for its survival?
A. Vertebrates
B. Mammals
C. Fishes
D. Plants
E. All of the above
E
Why do plants appear green?
A. They absorb green light from the environment
B. They absorb only long wavelengths of light for photosynthesis
C. They absorb only short wavelengths of light for photosynthesis
D. Blue and red light are used in photosynthesis
E. Green light stimulates photosynthesis
D
Which of the following is the balanced equation for the generation of sugar from sunlight, water, and CO2?
A. 6 CO2 + 6 H2O → C6H12O6 + O2
B. 6 CO2 + 12 H2O → C6H12O6 + 6 O2 + 6 H2O
C. 6 CO2 + 6 H2O → C6H12O6 + 6 O2
D. 12 CO2 + 12 H2O → 2 C6H12O6 + 2 O2
E. None of the above
C
Which of the following does photosynthesis and respiration have in common?
A. In eukaryotes, both processes occur in the mitochodrion.
B. ATP synthesis in both processes relies on the chemiosmotic mechanism.
C. Both require cyclic electron transport.
D. Both require light.
E. All of the above
B
What is not a difference between C3 and C4 plants?
A. C4 plants first fix CO2 into a four-carbon compound whereas C3 plants first fix CO2 into a three-carbon compound
B. In C4 plants Calvin Cycle takes place in bundle-sheath cells, but in C3 plants the Calvin Cycle takes place in mesophyll cells
C. C4 plants are more efficient in hot regions with intense sunlight
D. Global warming would be expected to affect C3 plants more than C4 plants
E. All are differences between C3 and C4 plants
E
EpiPens have been in the news a lot lately. EpiPens deliver a dose of epinephrine to people suffering a severe allergic reaction called anaphylaxis, where blood pressure drops and airways constrict to a life-threatening level. Which of the following statements is not true regarding the usefulness of an EpiPen injection?
A. Injection causes decreased blood flow to the gut
B. Injection causes decreased blood flow to muscles
C. Injection causes an increase in glucose released from the liver
D. Injection causes a increase in heart rate
E. Injection causes increase in respiratory rate
B
Which of the following is (are) not steps in the cell signaling response?
A. Reception of signaling molecule
B. Transduction using relay molecules
C. Transmission of signaling molecules
D. Activation of cellular response
C
Which of the following is an example of signal amplification? A. catalysis of many cAMP molecules by several simultaneously binding signal molecules
B. activation of 100 molecules by a single signal binding event
C. activation of a specific gene by a growth factor
D. activation of an enzyme molecule
E. utilization of a second messenger system
B
In a particular signal transduction pathway, one initial signaling molecule results in a total of 108 relay molecules that activate the final response. If each step in the signal transduction pathway amplifies the signal by 100x, how many steps were in the signal transduction pathway?
A. 1
B. 2
C. 3
D. 4
E. 5
D
Lipid-soluble molecules cross the membranes of all cells but only affect target cells because
A. Only target cells have the necessary DNA segments
B. Intracellular receptors are only present in target cells
C. Target cells are the only cells that have the ability to break down the signaling molecules
D. Only target cells are able to initiate a phosphorylation cascade to turn genes on
E. Target cells are the only cells to have the appropriate second messengers
B
Which of the following is not true about glucagon?
A. It is stimulated after eating a carbohydrate-dense meal
B. It stimulates the conversion of glycogen to glucose
C. It stimulates the breakdown of fat and protein into glucose
D. Glucagon and Insulin together function as an antagonistic hormone pair in regulating blood glucose
E. It is a peptide hormone secreted by alpha cells in the pancreas
A
In reactions mediated by protein kinases, what does phosphorylation of successive proteins do to drive the reaction? A. make functional ATP
B. change a protein from its inactive to its active form
C. change a protein from its active to its inactive form
D. alter the permeability of the cell’s membranes
E. produce an increase in the cell’s store of inorganic phosphates
B
In response to a drop in blood glucose below normal levels, what mechanisms are triggered to get more sugar into the blood & restore normal glucose levels?
A. Insulin is released into circulation and, in response, body cells take in & use up glucose.
B. Glucagon is released into circulation and, in response, liver cells release glucose into the blood.
C. Secretin is released into circulation and, in response, the pancreas secretes amylases into the intestine.
D. CCK is released into circulation and, in response, enzymes & bile are released into the intestine.
E. Amylase enzymes are released into circulation and, in response, starches in the blood are digested to glucose
B
For a G protein to play its part in moving events forward in a signal pathway,
A. GDP must be released, and a GTP must occupy the nucleotide-binding site.
B. GTP must be released, and a GDP must occupy the nucleotide-binding site.
C. cGMP must occupy the otherwise empty nucleotide-binding site.
D. cGMP must leave the otherwise occupied nucleotide-binding site.
E. it must be linked to a specific intracellular receptor.
A
Which molecule acts as a second messenger in the cascade by which epinephrine stimulates the activation of the enzyme glycogen phosphorylase?
A. Adenosine
B. Caffeine
C. Citric acid
D. Cyclic AMP
E. Adenylyl cyclase
E
Many signal transduction pathways cause
A. alterations in gene expression.
B. upregulation of genes.
C. the switching off of genes.
D. an alteration of the abundance of enzymes.
E. All of the above
E
Vitamin A is a relatively small, lipid-soluble molecule that can behave as a hormone. Most likely its receptor
A. is an ion channel receptor.
B. is a protein kinase receptor.
C. involves a G protein.
D. is located in the cytoplasm.
E. highly vulnerable to antagonists.
D
Hormones are chemical substances produced in one organ that are released into the bloodstream and affect the function of a target organ. For the target organ to respond to a particular hormone, it must
A. modify its plasma membrane to alter the hormone entering the cytoplasm
B. be from the same cell type as the organ that produced the hormone
C. experience an imbalance that disrupts its normal function
D. have receptors that recognize and bind the hormone molecule
D
Blood sugar is regulated by two pancreatic hormones—insulin and glucagon. When blood sugar rises, insulin is released; it binds to receptors and, through signal transduction, results in an increase in glucose uptake by cells, which effectively lowers blood glucose levels. When blood sugar decreases, glucagon is released, binds to cell receptors, and causes glucose to be released into circulation, thereby increasing blood glucose levels. Diabetes mellitus is a disorder that results from excessively high levels of blood glucose. Type II diabetics have normal to elevated levels of insulin. What, then, might be causing their elevated blood glucose levels?
A. inadequate insulin production
B. defective receptors
C. defective second messenger
D. overproduction of glucagon
B
One of the major categories of receptors in the plasma membrane reacts by forming dimers, adding phosphate groups, and then activating relay proteins. Which type does this?
A. G-protein—coupled receptors
B. ligand-gated ion channels
C. steroid receptors
D. receptor tyrosine kinases
D
At puberty, an adolescent female body changes in both structure and function of several organ systems, primarily under the influence of changing concentrations of estrogens and other steroid hormones. How can one hormone, such as estrogen, mediate so many effects?
A. Estrogen is produced in very large concentration by nearly every tissue of the body.
B. Each cell responds in the same way when steroids bind to the cell surface.
C. Estrogen is kept away from the surface of any cells not able to bind it at the surface.
D. Estrogen binds to specific receptors inside many kinds of cells, each with different responses.
E. Cells metabolize steroids in different ways, producing by-products that stimulate tRNA production
D
When a steroid hormone and a peptide hormone exert similar effects on a population of target cells, then
A. the steroid and peptide hormones must use the same biochemical mechanisms.
B. the steroid and peptide hormones must bind to the same receptor protein.
C. the steroid hormones affect the synthesis of effector proteins, whereas peptide hormones activate effector proteins already present in the cell.
D. the steroid hormones affect the activity of certain proteins within the cell, whereas peptide hormones directly affect the processing of mRNA.
E. the steroid hormones affect only the release of proteins from the target cell, whereas peptide hormones affect only the synthesis of proteins that remain in the target cell.
C
For hormones that homeostatically regulate cellular functions,
A. negative feedback typically regulates hormone secretion.
B. the circulating level of a hormone is held constant through a series of positive feedback loops.
C. both lipid-soluble hormones and water-soluble hormones bind to intracellular protein receptors.
D. endocrine organs release their contents into the bloodstream via specialized ducts.
E. it is impossible to also have neural regulation of that system
A
Shortly after ingesting a big plate of carbohydrate-rich pasta, you measure your blood's hormone levels. What results would you expect, compared to before the meal?
A. high insulin, low glucagon
B. low insulin, low glucagon
C. high insulin, high glucagon
D. low insulin, high glucagon
E. low insulin, no change in glucagon
A
Phosphofructokinase is an allosteric enzyme that catalyzes the conversion of fructose 6-phosphate to fructose 1,6-bisphosphate, an early step of glycolysis. In the presence of oxygen, an increase in the amount of ATP in a cell would be expected to
A. inhibit the enzyme and thus increase the rate of glycolysis and the concentration of citrate.
B. activate the enzyme and thus slow the rates of glycolysis and the citric acid cycle.
C. inhibit the enzyme and thus increase the rates of glycolysis and the citric acid cycle.
D. activate the enzyme and increase the rates of glycolysis and the citric acid cycle.
E. inhibit the enzyme and thus slow the rates of glycolysis and the citric acid cycle
E
Caffeine is an inhibitor of phosphodiesterase. Therefore, the cells of a person who has recently consumed coffee would have increased levels of
A. adenylyl cyclase.
B. GTP.
C. phosphorylated proteins.
D. activated G proteins.
E. cAMP.
E
In which of the following ways could signal transduction most probably be explored in research to treat cancer?
A. increase in calcium ion uptake into the cytoplasm in order to modulate the effects of environmental carcinogens
B. expansion of the role of transduction inhibitors in the cells before they give rise to cancer
C. alteration of protein kinases in cell cycle regulation in order to slow cancer growth
D. increase in the concentration of phosphodiesterases in order to produce more AMP
E. removal of serine/threonine phosphate acceptors from transduction pathways in colon pre-cancerous growths
C
Living organisms increase in complexity as they grow, resulting in a decrease in the entropy of an organism. How does this relate to the second law of thermodynamics?
A. Living organisms do not obey the second law of thermodynamics, which states that entropy must increase with time.
B. Life obeys the second law of thermodynamics because the decrease in entropy as the organism grows is exactly balanced by an increase in the entropy of the universe.
C. Living organisms do not follow the laws of thermodynamics.
D. As a consequence of growing, organisms cause a greater increase in entropy in their environment than the decrease in entropy associated with their growth.
E. Living organisms are able to transform energy into entropy.
D
Different body cells can respond differently to the same peptide hormones because
A. different target cells have different sets of genes
B. each cell converts that hormone to a different metabolite
C. a target cell's response is determined by the components of its signal transduction pathways
D. the circulatory system regulates responses to hormones by routing the hormones to specific targets
E. the hormone is chemically altered in different ways as it travels through the circulatory system
C
How do cells at the completion of meiosis compare with cells that have replicated their DNA and are just about to begin meiosis?
a) They have half the amount of cytoplasm and twice the amount of DNA.
b) They have twice the amount of cytoplasm and half the amount of DNA.
c) They have the same number of chromosomes and half the amount of DNA.
d) They have half the number of chromosomes and half the amount of DNA.
e) They have half the number of chromosomes and one-fourth the amount of DNA.
E
If an organism is diploid and a certain gene found in the organism has 18 known alleles (variants), then any given organism of that species can/must have which of the following?
a) up to 18 chromosomes with that gene
b) up to 18 genes for that trait
c) a haploid number of 9 chromosomes
d) up to, but not more than, 18 different traits
e) at most, 2 alleles for that gene
E

You have isolated DNA from three different cell types of an organism, determined the relative DNA content for each type, and plotted the results on the graph shown in the figure. Refer to the graph to answer the following questions.
Which sample of DNA might be from a nerve cell arrested in G0 of the cell cycle?
a) I
b) II
c) III
d) either I or II
e) either I or III
A

Which sample might represent an animal cell in the G2 phase of the cell cycle?
a) I
b) II
c) III
d) both I and II
e) either II or III
B
For a species with a haploid number of 23 chromosomes, how many different combinations of maternal and paternal chromosomes are possible for the gametes?
a) 23
b) about 8 million
c) 46
d) 920
e) 460
B
How many unique gametes could be produced through independent assortment by an individual with the genotype AaBbCCDdEE?
a) 8
b) 64
c) 32
d) 4
e) 16
A
Independent assortment of chromosomes is a result of
a) the random distribution of the sister chromatids to the two daughter cells during anaphase II.
b) the relatively small degree of homology shared by the X and Y chromosomes.
c) the random and independent way in which each pair of homologous chromosomes lines up at the metaphase plate during meiosis I, the random nature of the fertilization of ova by sperm, the random distribution of the sister chromatids to the two daughter cells during anaphase II, and the relatively small degree of homology shared by the X and Y chromosomes.
d) the random nature of the fertilization of ova by sperm.
e) the random and independent way in which each pair of homologous chromosomes lines up at the metaphase plate during meiosis I.
E
In the cross AaBbCc . AaBbCc, what is the probability of producing the genotype AABBCC?
a) 1/32
b) 1/4
c) 1/8
d) 1/16
e) 1/64
E
When crossing an organism that is homozygous recessive for a single trait with a heterozygote, what is the chance of producing an offspring with the homozygous recessive phenotype?
a) 75%
b) 50%
c) 25%
d) 0%
e) 100%
B
Cystic fibrosis affects the lungs, the pancreas, the digestive system, and other organs, resulting in symptoms ranging from breathing difficulties to recurrent infections. Which of the following terms best describes this?
a) pleiotropy
b) incomplete dominance
c) multiple alleles
d) codominance
e) epistasis
A
Which of the following provides an example of epistasis?
a) The allele b17 produces a dominant phenotype, although b1 through b16 do not.
b) Recessive genotypes for each of two genes (aabb) results in an albino corn snake.
c) In Drosophila (fruit flies), white eyes can be due to an X-linked gene or to a combination of other genes.
d) In rabbits and many other mammals, one genotype (cc) prevents any fur color from developing.
e) In cacti, there are several genes for the type of spines.
D
Marfan syndrome in humans is caused by an abnormality of the connective tissue protein fibrillin. Patients are usually very tall and thin, with long spindly fingers, curvature of the spine, sometimes weakened arterial walls, and sometimes ocular problems, such as lens dislocation. Which of the following would you conclude about Marfan syndrome from this information?
a) It is dominant.
b) It is pleiotropic.
c) It is recessive.
d) It is epistatic.
e) It has a late age of onset (> 60)
B
Males are more often affected by sex-linked traits than females because
a) X chromosomes in males generally have more mutations than X chromosomes in females.
b) males are hemizygous for the X chromosome.
c) female hormones such as estrogen often compensate for the effects of mutations on the X chromosome.
d) male hormones such as testosterone often alter the effects of mutations on the X chromosome.
e) mutations on the Y chromosome often worsen the effects of X-linked mutations.
B
Red-green color blindness is a sex-linked recessive trait in humans. Two people with normal color vision have a color-blind son. What are the genotypes of the parents?
a) XCXC and XCY
b) XCXC and XcY
c) XCXc and XCY
d) XcXc and XCY
e) XCXC and XcY
C
In humans, clear gender differentiation occurs, not at fertilization, but after the second month of gestation. What is the first event of this differentiation?
a) formation of estrogens in female embryos
b) activation of SRY in females and feminization of the gonads
c) activation of SRY in male embryos and masculinization of the gonads
d) anatomical differentiation of a penis in male embryos
e) formation of testosterone in male embryos
C
Women (and all female mammals) have one active X chromosome per cell instead of two. What causes this?
a) activation of the Barr gene on one of the two X chromosomes that then inactivates
b) crossover between the XIST gene on one X chromosome and a related gene on an autosome
c) modification of the XIST gene so that it is active only on one X chromosome, which then becomes inactive
d) inactivation of the XIST gene on the X chromosome derived from the male parent
e) the removal of methyl (CH3) groups from the X chromosome that will remain active
C
Which of the following statements is true of linkage?
a) Linked genes are found on different chromosomes.
b) The closer two genes are on a chromosome, the lower the probability that a crossover will occur between them.
c) The observed frequency of recombination of two genes that are far apart from each other has a maximum value of 100%.
d) All of the traits that Mendel studied–seed color, pod shape, flower color, and others–are due to genes linked on the same chromosome.
e) Crossing over occurs during prophase II of meiosis
B
If nondisjunction occurs in meiosis II during gametogenesis, what will be the result at the completion of meiosis?
a) Two of the four gametes will be haploid, and two will be diploid.
b) Half of the gametes will be n + 1, and half will be n - 1.
c) 1/4 of the gametes will be n + 1, 1/4 will be n - 1, and 1/2 will be n.
d) There will be three extra gametes.
e) All the gametes will be diploid.
C
A phenotypically normal prospective couple seeks genetic counseling because the man knows that he has a translocation of a portion of his chromosome 4 that has been exchanged with a portion of his chromosome 12. Although he is normal because his translocation is balanced, he and his wife want to know the probability that his sperm will be abnormal. What is your prognosis regarding his sperm?
a) 1/2 will be normal and the rest will have the father's translocation.
b) None will carry the translocation since abnormal sperm will die.
c) His sperm will be sterile and the couple might consider adoption.
d) All will carry the same translocation as the father.
e) 1/4 will be normal, 1/4 will have the translocation, and 1/2 will have duplications and deletions.
E
A man who is an achondroplastic dwarf with normal vision marries a color-blind woman of normal height. The man's father was 6 feet tall, and both the woman's parents were of average height. Achondroplastic dwarfism is autosomal dominant, and red-green color blindness is X-linked recessive.
How many of their daughters might be expected to be color-blind dwarfs?
a) half
b) three out of four
c) none
d) all
e) one out of four
C
A man who is an achondroplastic dwarf with normal vision marries a color-blind woman of normal height. The man's father was 6 feet tall, and both the woman's parents were of average height. Achondroplastic dwarfism is autosomal dominant, and red-green color blindness is X-linked recessive.
What proportion of their sons would be color-blind and of normal height?
a) three out of four
b) all
c) none
d) half
e) one out of four
D
Knowing that bacteria of the S strain have an outer capsule that protects them from an animal’s defense system, and those of the R strain lack this capsule, which of the following solutions, if injected into a mouse, would most likely kill the mouse?
a) Injecting Living S Cells
b) Injecting Living R Cells
c) Injecting Heat-Killed S Cells
d) Injecting a Mixture of Heat-Killed S Cells and Living R Cells
e) Both A and D
E
A scientist assembles a bacteriophage with the protein coat of phage T2 and the DNA of phage T4. If this composite phage were allowed to infect a bacterium, the phages produced in the host cell would have:
a) The protein and DNA of T4
b) The protein and DNA of T2
c) A mixture of the DNA and proteins of T4 and T2
d) The protein of T2 and the DNA of T4
e) The protein of T4 and the DNA of T2
A
Once the DNA at the replication fork is unwound by helicases, what prevents the two strands from coming back together to re-form a double helix?
a) DNA polymerase follows the helicase so closely that there is no chance for the strands to come back together
b) The helicase modifies the DNA in such a way as to eliminate the affinity between the two strands
c) One of the strands is rapidly degraded, preventing the doubly helix from re-forming
d) The helicase pushes the two strands so far apart that they have no change of finding each other
e) Single-strand binding proteins bind the unwound DNA and prevent the double helix from re-forming
E
Which of the following is incorrectly paired?
a) helicase - unwinds parental double helix at replication forks
b) topoisomerase - relieves "overwinding" strain ahead of replication forks
c) DNA ligase - catalyzes the synthesis of new DNA
d) telomerase - catalyzes the lengthening of telomeres in eukaryotic germ cells
e) nuclease - DNA-cutting enzyme
C
What difference(s) is there between a eukaryotic chromosome and a bacterial chromosome?
a) Bacterial chromosomes have circular DNA whereas eukaryotic chromosomes have linear DNA
b) Bacterial chromosomes have singled-stranded RNA whereas eukaryotic chromosomes have double stranded DNA
c) Bacterial chromosomes are associated with a small amount of protein whereas eukaryotic chromosomes are associated with a large amount of protein
d) All of the above
e) A and C only
A
The DNA of an organism has adenine as 20% of its bases. What percentage would be cytosine?
a) 10
b) 20
c) 30
d) 40
C
How is DNA synthesis different on the lagging strand? (Compared to the leading strand)
a) The lagging strand requires an RNA primer but the leading strand does not.
b) short fragments called Okazaki fragments must join along the lagging strand
c) short fragments called Okazaki fragments must join along the leading strand
d) on the lagging strand, nucleotides are added to the 5 ' end
B
A particular triplet of bases in the template strand of DNA is 5' AGT 3'. The corresponding codon for the mRNA transcribed is
a) 3' UCA 5'.
b) 5' TCA 3'.
c) 3' ACU 5'.
d) 3' UGA 5'.
e) either UCA or TCA, depending on wobble in the first base.
A
The genetic code is essentially the same for all organisms. From this, one can logically assume which of the following?
a) A gene from an organism can theoretically be expressed by any other organism.
b) The same codons in different organisms translate into the different amino acids.
c) All organisms have experienced convergent evolution.
d) Different organisms have different numbers of different types of amino acids.
e) DNA was the first genetic material.
A
Transcription in eukaryotes requires which of the following in addition to RNA polymerase?
a) several transcription factors (TFs)
b) start and stop codons
c) ribosomes and tRNA
d) the protein product of the promoter
e) aminoacyl synthetase
A
A transcription unit that is 8,000 nucleotides long may use 1,200 nucleotides to make a protein consisting of approximately 400 amino acids. This is best explained by the fact that
a) there is redundancy and ambiguity in the genetic code.
b) there are termination exons near the beginning of mRNA.
c) nucleotides break off and are lost during the transcription process.
d) many noncoding stretches of nucleotides are present in mRNA.
e) many nucleotides are needed to code for each amino acid.
D
A mutant bacterial cell has a defective aminoacyl synthetase that attaches a lysine to tRNAs with the anticodon AAA instead of the normal phenylalanine. The consequence of this for the cell will be that
a) none of the proteins in the cell will contain phenylalanine.
b) none of the options will occur; the cell will recognize the error and destroy the tRNA.
c) proteins in the cell will include lysine instead of phenylalanine at amino acid positions specified by the codon UUU.
d) the ribosome will skip a codon every time a UUU is encountered.
e) the cell will compensate for the defect by attaching phenylalanine to tRNAs with lysine-specifying anticodons
C
When translating secretory or membrane proteins, ribosomes are directed to the ER membrane by
a) a chemical signal given off by the ER.
b) a signal sequence of RNA that precedes the start codon of the message.
c) a specific characteristic of the ribosome itself, which distinguishes free ribosomes from bound ribosomes.
d) moving through a specialized channel of the nucleus.
e) a signal-recognition particle that brings ribosomes to a receptor protein in the ER membrane
E
Why might a point mutation in DNA make a difference in the level of protein's activity?
a) It might substitute an amino acid in the active site.
b) It might substitute the N-terminus of the polypeptide for the C-terminus.
c) It might result in a chromosomal translocation.
d) It might exchange one stop codon for another stop codon.
e) It might exchange one serine codon for a different serine codon.
A

A possible sequence of nucleotides in the template strand of DNA that would code for the polypeptide sequence phe-leu-ile-val would be
a) 5' TTG-CTA-CAG-TAG 3'.
b) 3' AAA-AAT-ATA-ACA 5'.
c) 3' AAA-GAA-TAA-CAA 5'.
d) 5' AUG-CTG-CAG-TAT 3'.
e) 3' AAC-GAC-GUC-AUA 5'.
C
Which process increases the genetic diversity of offspring?
A) Mitosis
B) Sexual reproduction
C) Cloning
D) Cytokinesis
E) Fission
B
In a particular diploid organism, somatic cells have 24 chromosomes. How many chromosomes would be present in the gametes of that organism?
A) 48
B) 24
C) 12
D) 6
E) 1
C
Which statement about meiosis and mitosis is true?
A) DNA replication occurs only in mitosis.
B) DNA replication occurs only in meiosis.
C) The products of mitosis can be different from one another, while the products of meiosis are all the same (except for rare mutations).
D) The products of meiosis can be different from one another, while the products of mitosis are all the same (except for rare mutations).
E) Mitosis and meiosis are the same process.
D
At the end of the first meiotic division, each chromosome consists of
A) two chromatids.
B) chiasmata.
C) a homologous chromosome pair.
D) four copies of each DNA molecule.
E) a pair of polar microtubules
A
Chromosome number is reduced during meiosis because the process consists of
A) two cell divisions without any chromosome replication.
B) two cell divisions and only a single round of chromosome replication.
C) a single cell division without any chromosome replication.
D) two cell divisions in which half of the chromosomes are destroyed.
E) four cell divisions with no chromosome replication
B
During meiosis I in humans, each daughter cell receives
A) only maternal chromosomes.
B) the same number of chromosomes as that of a diploid cell.
C) one-fourth the amount of DNA that is in the parent nucleus.
D) a sister chromatid from each chromosome.
E) a mixture of maternal and paternal chromosomes.
E
One difference between mitosis and meiosis I is that
A) homologous chromosome pairs synapse during mitosis.
B) chromosomes do not replicate in the interphase preceding meiosis.
C) spindles composed of microtubules are not required during meiosis.
D) homologous chromosome pairs synapse during meiosis but not during mitosis.
E) sister chromatids separate during meiosis but not during mitosis.
D
Sexual reproduction increases genetic variability through
A) crossing over, independent assortment, and random fertilization.
B) the exchange of genetic information between male and female gametes during meiosis I.
C) the random separation of homologous chromosomes.
D) the union of male and female gametes.
E) random assortment of male and female chromosomes
A
The four haploid nuclei found at the end of meiosis differ from one another in their exact genetic composition. Some of this difference is the result of
A) cytokinesis.
B) separation of sister chromatids at anaphase II.
C) spindle formation.
D) crossing over during prophase I.
E) replication of DNA during S phase
D
In a female animal with a diploid chromosome number of 12, half of the egg cells are found to have five chromosomes. The most probable explanation is
A) normal mitosis.
B) nondisjunction in meiosis I.
C) normal meiosis.
D) nondisjunction in meiosis II.
E) nondisjunction in mitosis.
B
A diploid human cell normally has 23 pairs of homologous chromosomes, but as a woman ages, the chances of nondisjunction increase. Imagine that a gamete is produced that received two homologues of chromosome 21 that had failed to separate during telophase II. If the gamete is fertilized with a normal sperm, the embryo’s cells will contain _______ chromosomes.
A) 47
B) 23
C) 24
D) 46
E) 45
A
The fact that most monosomies and trisomies are lethal to human embryos illustrates the
A) formation of haploid gametes as a result of meiosis.
B) importance of the orderly distribution of genetic material during meiosis.
C) exchange of genetic information during crossing over.
D) advantage of sexual reproduction to the survival of a population.
E) fact that each chromosome contains a single molecule of DNA.
B
Which statement best explains the fundamental difference between the theory of blending inheritance and the theory of particulate inheritance?
A) Genes remain stable across generations according to the theory of blending inheritance, but not according to particulate inheritance.
B) Gametes fuse during fertilization according to the theory of blending inheritance, but not according to particulate inheritance.
C) The theory of blending inheritance applies to diploid organisms, whereas the theory of particulate inheritance applies to haploid organisms.
D) Gametes fuse during fertilization according to the theory of particulate inheritance, but not according to blending inheritance.
E) Genes remain stable across generations according to the theory of particulate inheritance, but not according to blending inheritance.
E
If a trait that is not expressed in the F1 generation reappears in the F2 generation, the inheritance of the trait in question is an example of
A) dominance and recessiveness.
B) codominance.
C) incomplete dominance.
D) epistasis.
E) a test cross
A
At a certain locus of the human genome, 200 different alleles exist in the population. Each person has at most _______ allele(s).
A) 1
B) 2
C) 100
D) 200
E) 400
B
In mice, short hair is dominant to long hair. If a short-haired individual is crossed with a long-haired individual and both long- and short-haired offspring result, one can conclude that
A) the long-haired parent is heterozygous.
B) the short-haired parent is heterozygous.
C) both parents are homozygous.
D) the short-haired parent is homozygous.
E) This cannot be answered without more information.
B
In a species of tortoise, foot size (big or small) is controlled by one gene, while shell shape (round or lumpy) is controlled by another gene. Suppose that a big-footed lumpy-shelled tortoise mates with a small-footed round-shelled tortoise. Eight offspring result: four big-footed round-shelled tortoises and four small-footed round-shelled tortoises. (Assume that the parents are not necessarily homozygous for each allele.)
Which statement about the inheritance of shell shape in tortoises is most likely to be correct, given your genetic analysis of the tortoise family?
A) Round is dominant to lumpy.
B) Lumpy is dominant to round.
C) Round and lumpy are codominant.
D) Shell shape is an example of blending inheritance.
E) This cannot be answered without more information.
A
In a species of tortoise, foot size (big or small) is controlled by one gene, while shell shape (round or lumpy) is controlled by another gene. Suppose that a big-footed lumpy-shelled tortoise mates with a small-footed round-shelled tortoise. Eight offspring result: four big-footed round-shelled tortoises and four small-footed round-shelled tortoises. (Assume that the parents are not necessarily homozygous for each allele.)
If big feet (B) in tortoises is dominant to small feet (b), what is the genotype of the big-footed parent with respect to the foot gene?
A) bb
B) BB
C) Bb
D) Either bb and Bb
E) Either bb or BB
B/C
Classical albinism results from a recessive allele. What is the expected ratio for the progeny when a normally pigmented male with an albino father has children with an albino woman?
A) 3/4 normal, 1/4 albino
B) 1/2 normal,1/2 albino
C) 3/4 albino, 1/4 normal
D) All normal
E) All albino
B
In humans, a widow’s peak is caused by a dominant allele (W), and a continuous hairline is caused by a recessive allele (w). Short fingers are caused by a dominant allele (S), and long fingers are caused by a recessive allele (s). Suppose a woman with a continuous hairline and short fingers and a man with a widow’s peak and long fingers have three children. One child has short fingers and a widow’s peak, one has long fingers and a widow’s peak, and one has long fingers and a continuous hairline. What are the genotypes of the parents?
A) Female wwSS, male WWss
B) Female wwSs, male WWss
C) Female wwSs, male Wwss
D) Female WwSs, male WwSs
E) Female WWSs, male wwss.
C
In Netherlands dwarf rabbits, a gene showing intermediate inheritance produces three phenotypes. Rabbits that are homozygous for one allele are small; individuals that are homozygous for the other allele are deformed and die; heterozygous individuals are dwarf. If two dwarf rabbits are mated, what proportion of their surviving offspring should be dwarf?
A) 2/3
B) 1/4
C) 1/3
D) 1/2
E) 3/4
A
A dominant allele (K) is necessary for normal hearing; kk individuals are deaf. A dominant allele (M) on a different locus results in deafness no matter which other alleles are present. If a kkMm individual is crossed with a Kkmm individual, _______ percent of the offspring will be deaf.
A) 0
B) 25
C) 50
D) 75
E) 100
D
Organelles such as mitochondria and the genes that they contain display _______ inheritance and are _______ inherited.
A) Mendelian; maternally
B) non-Mendelian; maternally
C) Mendelian; paternally
D) non-Mendelian; paternally
E) Mendelian; cytoplasmically
B
Very few genes have been located on the Y chromosomes of humans. Y-linked genes include a gene called testis-specific protein Y. A male with this gene will
A) usually pass it to his sons, but occasionally also to a daughter.
B) pass the gene only to his daughters.
C) pass the gene only to his sons.
D) pass the gene only to his grandsons.
E) pass the gene to all of his children if the mother is a carrier.
C
White eyes is a recessive sex-linked trait in fruit flies. If a white-eyed female fruit fly is mated to a red-eyed male, their offspring should be
A) 50 percent red-eyed and 50 percent white-eyed for both sexes.
B) all white-eyed for both sexes.
C) all white-eyed females and all red-eyed males.
D) all white-eyed males and all red-eyed females.
E) 50 percent red-eyed males, 50 percent white-eyed males, and all red-eyed females.
D
In humans, spotted teeth are caused by a dominant sex-linked gene. If a man with spotted teeth whose father had normal teeth has children with a woman with normal teeth,
A) all of their daughters will have spotted teeth.
B) all of their daughters will have normal teeth.
C) all of their children will have spotted teeth.
D) half of their sons will have spotted teeth.
E) all of their sons will have spotted teeth.
A
Cleft chin is an X-linked dominant trait. Assume that a man with a cleft chin marries a woman with a round chin. What percent of their daughters will show the cleft chin trait?
A) 0 percent
B) 25 percent
C) 50 percent
D) 75 percent
E) 100 percent
E
What percent of their male progeny will show the cleft chin trait?
A) 0 percent
B) 25 percent
C) 50 percent
D) 75 percent
E) 100 percent
A
If a double-stranded DNA molecule contains 30 percent T, it must contain _______ percent G.
A) 20
B) 30
C) 40
D) 50
E) 60
A
The strands that make up DNA are antiparallel. This means that
A) one strand is positively charged, and the other is negatively charged.
B) the base pairings create unequal spacing between the two DNA strands.
C) the twisting of the DNA molecule has shifted the two strands.
D) purines bond with purines and pyrimidines bond with pyrimidines.
E) the 5′-to-3′ direction of one strand runs opposite to the 5′-to-3′ direction of the other strand.
E
Which statement about base pairing is false?
A) In DNA, T pairs with A.
B) Complementary base pairing plays a role in DNA replication.
C) In DNA, C pairs with G.
D) Purines pair with purines, and pyrimidines pair with pyrimidines.
E) The base pairs are of equal length
D
Recall that two hydrogen bonds bind A and T, but three hydrogen bonds bind G and C. Because the stability of DNA is affected by the number of hydrogen bonds, with more bonds promoting more stability, which double-stranded DNA molecule would likely have the greatest stability?
A) A molecule with 20 percent A
B) A molecule with 32 percent C
C) A molecule with 26 percent G
D) A molecule with 38 percent T
B
The characteristic of DNA that allows it to make an exact copy of itself is
A) its sugar–phosphate backbone.
B) the phosphodiester bonding of the helices.
C) its complementary base pairing.
D) the twisting of the molecule to form a helix.
E) its antiparallel strands
C
The nitrogenous bases (and the two strands of the DNA double helix) are held together by
A) hydrogen bonds.
B) weak van der Waals forces.
C) covalent bonds.
D) phosphate bonds.
E) All of the above
A
DNA polymerase lengthens a polynucleotide strand by
A) building short DNA fragments and linking them together.
B) adding lost DNA sequences to the 3 end.
C) linking purines with pyrimidines.
D) covalently linking new nucleotides to a previously existing strand.
E) threading the existing DNA through a replication complex.
D
Why is RNA incorporated into the DNA molecule during DNA replication?
A) RNA primase is able to use DNA as a template.
B) RNA primase must be incorporated into the holoenzyme complex.
C) DNA polymerases can only add on to an existing strand.
D) DNA polymerase first synthesizes RNA.
E) RNA serves as the template for DNA synthesis.
C
A strand of DNA with the sequence 5′-ATTCCG-3′ would have a complementary strand with the sequence
A) 5′-TAAGGC-3′.
B) 5′-ATTCCG-3′.
C) 5′-ACCTTA-3′.
D) 5′-CGGAAT-3′.
E) 5′-GCCTTA-3′.
D
What local effect would an RNA synthesis inhibitor have on DNA replication?
A) Primase would not be able to add bases to the DNA.
B) Primase would not be able to provide primers for DNA polymerases.
C) Primase would not be able to use DNA as a template.
D) Primase would be blocked from joining the holoenzyme complex.
E) There would be no effect on DNA replication
B
Which event does not occur during DNA replication?
A) Unwinding of the parent double helix
B) Formation of short pieces that are connected by DNA ligase
C) Polymerization in the 3′-to-5′ direction
D) Complementary base pairing
E) Use of a primer
C
Individual cells do not survive for the entire lifetime of an organism because
A) the enzyme telomerase is readily destroyed by the environment, resulting in cell death.
B) DNA replication is subject to errors that cause cell death.
C) Okazaki fragments disrupt protein synthesis, resulting in cell death.
D) the repeating telomeric sequence of TTAGGG interferes with normal DNA replication and leads to cell death.
E) the removal of the RNA primer following DNA replication leads to a shortening of the chromosome and eventual cell death.
E
A research laboratory uses a cancer cell line that has undergone thousands of cell cycle divisions in the laboratory without any change in the length of its chromosomes. The cancer cell line is therefore likely to express
A) high levels of RNA polymerase.
B) DNA polymerases with high fidelity.
C) high levels of telomerase.
D) high levels of ligase activity.
C
You are studying DNA replication using a strain of yeast whose DNA polymerase is reported to have an error rate of 10–6 bases per cell cycle. However, your analyses of DNA sequences after DNA replication indicate that the error rate is closer to 10–10. What may explain your results?
A) The yeast has a mismatch repair system.
B) The yeast expresses high levels of DNA ligase.
C) RNA polymerase has high fidelity.
D) The DNA polymerase can tolerate high temperatures.
E) The DNA polymerase is processive.
A
The first repair of mistakes during DNA replication is made by
A) DNA polymerase.
B) the mismatch repair system.
C) excision repair.
D) SOS repair.
E) post-replication repair
A
In sickle-cell disease, a change in one base pair results in one amino acid being substituted for another in the β-globin protein. This type of mutation is referred to as a _______ mutation.
A) conditional
B) chromosomal
C) temperature-sensitive
D) point
E) silent
D
People with sickle-cell disease have
A) defective phenylalanine hydrolyase.
B) a defective oncogene.
C) abnormal cholesterol transport.
D) an abnormality in their DNA replication.
E) defective hemoglobin.
E
In wild-type Drosophila melanogaster, the order of genes on a chromosome is yellow, vermillion, forked, and Bobbed. Some individuals have a different gene order: yellow, Bobbed, forked, and vermillion. The individuals with the altered gene order most likely have a(n)
A) induced mutation.
B) chromosomal inversion.
C) point mutation.
D) reciprocal translocation.
E) conditional mutation
B
A medical researcher finds a high incidence of covalent bonds between thymine and other nucleotides in the DNA of skin cells of a patient. The most likely cause is
A) exposure to cigarette smoke.
B) exposure to UV radiation.
C) a defective DNA polymerase.
D) nitrous oxide exposure.
E) unknown; these bonds likely formed spontaneously.
B
In 1902, the British physician Archibald Garrod hypothesized that "inborn errors of metabolism" such as alkaptonuria occur because
A) enzymes are made of DNA, and affected individuals lack DNA polymerase.
B) many metabolic enzymes use DNA as a cofactor, and affected individuals have mutations that prevent their enzymes from interacting efficiently with DNA.
C) certain metabolic reactions are carried out by ribozymes, and affected individuals lack key splicing factors.
D) metabolic enzymes require vitamin cofactors, and affected individuals have significant nutritional deficiencies.
E) genes dictate the production of specific enzymes, and affected individuals have genetic defects that cause them to lack certain enzymes.
D
A part of the promoter, called the TATA box, is said to be highly conserved in evolution. Which of the following might this illustrate?
A) Any mutation in the sequence is selected against.
B) The sequence evolves very rapidly.
C) The sequence does not mutate.
D) The sequence is found in many but not all promoters.
E) The sequence is transcribed at the start of every gene.
A
Alternative RNA splicing
A) is a mechanism for increasing the rate of transcription.
B) can allow the production of similar proteins from different RNAs.
C) increases the rate of transcription.
D) is due to the presence or absence of particular snRNPs.
E) can allow the production of proteins of different sizes from a single mRNA.
E
Accuracy in the translation of mRNA into the primary structure of a polypeptide depends on specificity in the
A) binding of ribosomes to mRNA.
B) shape of the A and P sites of ribosomes.
C) bonding of the anticodon to the codon.
D) attachment of amino acids to tRNAs.
E) bonding of the anticodon to the codon and the attachment of amino acids to tRNAs.
E
Which of the following types of mutation, resulting in an error in the mRNA just after the AUG start of translation, is likely to have the most serious effect on the polypeptide product?
A) a deletion of two nucleotides
B) a deletion of a codon
C) a substitution of the third nucleotide in an ACC codon
D) a substitution of the first nucleotide of a GGG codon
E) an insertion of a codon
A
The most commonly occurring mutation in people with cystic fibrosis is a deletion of a single codon. This results in
A) a base-pair substitution.
B) a nucleotide mismatch.
C) a polypeptide missing an amino acid.
D) a frameshift mutation.
E) a nonsense mutation
C
The following is a model of a eukaryotic transcript: (UTR - untranslated region; E – exon; I – intron)
5' UTR E1 I1 E2 I2 E3 I3 E4 UTR 3'
Suppose that exposure to a chemical mutagen results in a change in the sequence that alters the 5' end of intron 1 (I1). What might occur?
A) loss of the gene product
B) inclusion of I1 in the mRNA
C) loss of E1
D) premature stop to the mRNA
E) exclusion of E2
B
In an analysis of the nucleotide composition of DNA, which of the following will be found?
a) G + C = T + A
b) A = G and C = T
c) A + C = G + T
d) A = C
C
Replication in prokaryotes differs from replication in eukaryotes for which of the following reasons?
a) Prokaryotic chromosomes have a single origin of replication, whereas eukaryotic chromosomes have many.
b) The rate of elongation during DNA replication is slower in prokaryotes than in eukaryotes.
c) Prokaryotic chromosomes have histones, whereas eukaryotic chromosomes do not.
d) Prokaryotes produce Okazaki fragments during DNA replication, but eukaryotes do not.
e) Prokaryotes have telomeres, and eukaryotes do not.
A
In E. coli, there is a mutation in a gene called dnaB that alters the helicase that normally acts at the origin. Which of the following would you expect as a result of this mutation?
a) Replication will occur via RNA polymerase alone.
b) No proofreading will occur.
c) No replication fork will be formed.
d) The DNA will supercoil.
e) Replication will require a DNA template from another source.
C
The spontaneous loss of amino groups from adenine in DNA results in hypoxanthine, an uncommon base, opposite thymine. What combination of proteins could repair such damage?
a) nuclease, DNA polymerase, DNA ligase
b) DNA ligase, replication fork proteins, adenylyl cyclase
c) telomerase, helicase, single-strand binding protein
d) nuclease, telomerase, primase
e) telomerase, primase, DNA polymerase
A
Movement of the chromosomes during anaphase would be most affected by a drug that
a) increases cyclin concentrations.
b) prevents attachment of the microtubules to the kinetochore.
c) prevents elongation of microtubules.
d) prevents shortening of microtubules.
e) reduces cyclin concentrations
D
A group of cells is assayed for DNA content immediately following mitosis and is found to have an average of 8 picograms of DNA per nucleus. How many picograms would be found at the end of S and the end of G2?
a) 8; 16
b) 16; 8
c) 8; 8
d) 12; 16
e) 16; 16
E
The strands that make up DNA are antiparallel. This means that
a) one strand contains only purines and the other contains only pyrimidines.
b) the 5' to 3' direction of one strand runs counter to the 5' to 3' direction of the other strand.
c) the twisting nature of DNA creates nonparallel strands.
d) base pairings create unequal spacing between the two DNA strands.
e) one strand is positively charged and the other is negatively charged
B
The Y-shaped structure where the DNA double helix is actively unwound during DNA replication is called the
a) replication Y.
b) elongation junction.
c) Y junction.
d) replication fork.
e) unwinding point.
D
Which of the following help to hold the DNA strands apart while they are being replicated?
a) ligase
b) DNA polymerase
c) single-strand binding proteins
d) primase
e) exonuclease
C
A plant-derived protein known as colchicine can be used to poison cells by blocking the formation of the spindle. Which of the following would result if colchicine is added to a sample of cells in G2?
a) The cells would be unable to begin M and stay in G2.
b) Each resultant daughter cell would also be unable to form a spindle.
c) The chromosomes would coil and shorten but have no spindle to which to attach.
d) The cells would immediately die.
e) The chromosomes would segregate but in a disorderly pattern.
C
Proteins that are involved in the regulation of the cell cycle, and that show fluctuations in concentration during the cell cycle, are called
a) ATPases.
b) kinetochores.
c) cyclins.
d) proton pumps.
e) kinases.
C
Which of the following is true of a species that has a chromosome number of 2n = 16?
a) A gamete from this species has four chromosomes.
b) The species has 16 sets of chromosomes per cell.
c) The species is diploid with 32 chromosomes per cell.
d) Each cell has eight homologous pairs.
e) During the S phase of the cell cycle there will be 32 separate chromosomes.
D
If a cell has completed the first meiotic division and is just beginning meiosis II, which of the following is an appropriate description of its contents?
a) It has the same number of chromosomes but each of them has different alleles than another cell from the same meiosis.
b) It has half the amount of DNA as the cell that began meiosis.
c) It has half the chromosomes but twice the DNA of the originating cell.
d) It is identical in content to another cell from the same meiosis.
e) It has one-fourth the DNA and one-half the chromosomes as the originating cell.
B
In a human karyotype, chromosomes are arranged in 23 pairs. If we choose one of these pairs, such as pair 14, which of the following do the two chromosomes of the pair have in common?
a) Length, centromere position, staining pattern, and traits coded for by their genes.
b) Length and position of the centromere only.
c) They have nothing in common except they are X-shaped.
d) Length, centromere position, and staining pattern only.
e) Length, centromere position, staining pattern, and DNA sequences
A
What was the most significant conclusion that Gregor Mendel drew from his experiments with pea plants?
a) Traits are inherited in discrete units, and are not the results of "blending."
b) Recessive genes occur more frequently in the F1 generation than do dominant ones.
c) An organism that is homozygous for many recessive traits is at a disadvantage.
d) Genes are composed of DNA.
e) There is considerable genetic variation in garden peas
A
The individual with genotype AaBbCCDdEE can make many kinds of gametes. Which of the following is the major reason?
a) the tendency for dominant alleles to segregate together
b) segregation of maternal and paternal alleles
c) crossing over during prophase I
d) different possible alignments of chromosomes
e) recurrent mutations forming new alleles
D
Black fur in mice (B) is dominant to brown fur (b). Short tails (T) are dominant to long tails (t). What fraction of the progeny of crosses BbTt . BBtt will be expected to have black fur and long tails?
a) 9/16
b) 3/8
c) 1/2
d) 3/16
e) 1/16
C
In cattle, roan coat color (mixed red and white hairs) occurs in the heterozygous (Rr) offspring of red (RR) and white (rr) homozygotes. Which of the following crosses would produce offspring in the ratio of 1 red:2 roan:1 white?
a) white . roan
b) roan . roan
c) red . roan
d) red . white
e) The answer cannot be determined from the information provided.
B
Hutchinson-Gilford progeria is an exceedingly rare human genetic disorder in which there is very early senility and death, usually from coronary artery disease, at an average age of approximately 13. Patients, who look very old even as children, do not live to reproduce. Which of the following represents the most likely assumption?
a) The disorder may be due to mutation in a single protein-coding gene.
b) Successive generations of a family will continue to have more and more cases over time.
c) The disease is autosomal dominant.
d) Each patient will have had at least one affected family member in a previous generation.
e) All cases must occur in relatives; therefore, there must be only one mutant allele.
A
One of two major forms of a human condition called neurofibromatosis (NF 1) is inherited as a dominant gene, although it may range from mildly to very severely expressed. If a young child is the first in her family to be diagnosed, which of the following is the best explanation?
a) The child has a different allele of the gene than the parents.
b) One of the parents has very mild expression of the gene.
c) The condition skipped a generation in the family.
d) The mother carries the gene but does not express it at all.
B
In cats, black fur color is caused by an X-linked allele; the other allele at this locus causes orange color. The heterozygote is tortoiseshell. What kinds of offspring would you expect from the cross of a black female and an orange male?
a) black females; orange males
b) orange females; orange males
c) tortoiseshell females; black males
d) tortoiseshell females; tortoiseshell males
e) orange females; black males
C
Recombination between linked genes comes about for what reason?
a) Mutation on one homolog is different from that on the other homolog.
b) Independent assortment sometimes fails because Mendel had not calculated appropriately.
c) When genes are linked they always "travel" together at anaphase.
d) Nonrecombinant chromosomes break and then re-join with one another.
e) Crossovers between these genes result in chromosomal exchange.
E
A couple has a child with Down syndrome. The mother is 39 years old at the time of delivery. Which of the following is the most probable cause of the child's condition?
a) One member of the couple underwent nondisjunction in gamete production.
b) The mother had a chromosomal duplication.
c) One member of the couple carried a translocation.
d) One member of the couple underwent nondisjunction in somatic cell production.
e) The woman inherited this tendency from her parents.
A
Which of the following is not associated with normal telomere shortening?
a) It is linked to the aging process of certain tissues
b) It may protect organisms from cancer
c) It is involved in the formation of tumors
d) It is reversed in germ cells through telomerase
C
The DNA structures of prokaryotes and eukaryotes are different in several ways, but one way in which they are the same is that:
a) Most of the DNA is in the form of plasmids
b) The DNA is packaged into several linear chromosomes
c) Both have a sugar-phosphate backbone
d) Both have a single circular chromosome
e) Histones are present in the nucleosomes
C
Once the DNA at the replication fork is unwound by helicases, what prevents the two strands from coming back together to re-form a double helix?
a) DNA polymerase follows the helicase so closely that there is no chance for the strands to come back together
b) The helicase modifies the DNA in such a way as to eliminate the affinity between the two strands
c) One of the strands is rapidly degraded, preventing the double helix from re-forming
d) The helicase pushes the two strands so far apart that they have no change of finding each other
e) Single-strand binding proteins bind the unwound DNA and prevent the double helix from re-forming
E
Watson first imagined that bases would be paired "like with like' - for example, A with A and C with C. Why did this idea not fit the data presented from Rosalind Franklin's X-ray of a DNA molecule?
a) Purine-purine pairs are too wide
b) Pyrimidine-pyrimidine pairs are too narrow
c) X-ray data had shown a uniform diameter throughout the molecule and only purine-pyrimidine pairs would allow for that
d) All of the above
e) Only A and C
D
As DNA replication continues round after round in a human somatic cell, what is to be expected?
a) longer and longer daughter molecules
b) shorter telomere length and longer daughter molecules
c) same length daughter molecules and same telomere length
d) shorter daughter molecules but same telomere length
e) both shorter daughter molecules and shorter telomere length
E
Which of the following is incorrectly paired?
a) helicase - unwinds parental double helix at replication forks
b) topoisomerase - relieves "overwinding" strain ahead of replication forks
c) DNA ligase - catalyzes the synthesis of new DNA
d) telomerase - catalyzes the lengthening of telomeres in eukaryotic germ cells
e) nuclease - DNA-cutting enzyme
C
What difference(s) is there between a eukaryotic chromosome and a bacterial chromosome?
a) Bacterial chromosomes have circular DNA whereas eukaryotic chromosomes have linear DNA
b) Bacterial chromosomes have singled-stranded RNA whereas eukaryotic chromosomes have double stranded DNA
c) Bacterial chromosomes are associated with a small amount of protein whereas eukaryotic chromosomes are associated with a large amount of protein
d) All of the above
e) A and C only
A
The DNA of an organism has adenine as 20% of its bases. What percentage would be cytosine?
a) 10
b) 20
c) 30
d) 40
C
How is DNA synthesis different on the lagging strand? (Compared to the leading strand)
a) The lagging strand requires an RNA primer but the leading strand does not.
b) short fragments called Okazaki fragments must join along the lagging strand
c) short fragments called Okazaki fragments must join along the leading strand
d) on the lagging strand, nucleotides are added to the 5 ' end
B

A certain (hypothetical) organism is diploid, has either blue or orange wings as the consequence of one of its genes on chromosome 12, and has either long or short antennae as the result of a second gene on chromosome 19, as shown in the figure.
A female with a paternal set of one orange and one long gene chromosome and a maternal set comprised of one blue and one short gene chromosome is expected to produce which of the following types of eggs after meiosis?
a) All eggs will have maternal types of gene combinations.
b) Each egg has a one-fourth chance of having either blue long, blue short, orange long, or orange short combinations.
c) All eggs will have paternal types of gene combinations.
d) Half the eggs will have maternal and half will have paternal combinations.
e) Each egg has a three-fourths chance of having blue long, one-fourth blue short, three-fourths orange long, or one-fourth orange short combinations.
B
As body size increases in animals,
A) there is greater variability in metabolic rate.
B) there is a decrease in the surface-to-volume ratio.
C) migration to tropical areas becomes necessary for thermoregulation.
D) it becomes more difficult to conserve body warmth in cold environments.
E) reproduction becomes limited to terrestrial environments.
B
An example of a properly functioning homeostatic control system is seen when
A) the core body temperature of a runner rises gradually from 37°C to 45°C.
B) the kidneys excrete salt into the urine when dietary salt levels rise.
C) the blood pressure increases in response to an increase in blood volume.
D) the level of glucose in the blood is abnormally high whether or not a meal has been eaten.
E) a blood cell shrinks when placed in a solution of salt and water.
B
In a survivably cold environment, an ectotherm is more likely to survive an extended period of food deprivation than would an equally sized endotherm because the ectotherm
A) maintains a higher basal metabolic rate.
B) expends more energy per kg of body mass than does the endotherm.
C) metabolizes its stored energy more readily than can the endotherm.
D) has greater insulation on its body surface.
E) invests little energy in temperature regulation
E

Examine the figure. Near a goose's abdomen, the countercurrent arrangement of the arterial and venous blood vessels causes
A) the blood in the feet to be as warm as the blood in the abdomen.
B) the loss of the maximum possible amount of heat to the environment.
C) the venous blood to be as cold near the abdomen as it is near the feet.
D) the temperature at the abdomen to be less than the temperature at the feet.
E) the temperature difference between the contents of the two sets of vessels to be minimized
E
Consider the energy budgets for a human, an elephant, a penguin, a mouse, and a snake. The ________ would have the highest total annual energy expenditure, and the ________ would have the highest energy expenditure per unit mass.
A) mouse; snake
B) penguin; mouse
C) elephant; human
D) human; penguin
E) elephant; mouse
E
In a well-fed human eating a Western diet, the richest source of stored chemical energy in the body is
A) glycogen in muscle cells.
B) glucose in the blood.
C) protein in muscle cells.
D) fat in adipose tissue.
E) calcium phosphate in bone
D
The absorption of fats differs from that of carbohydrates in that the
A) fats, but not carbohydrates, are digested by bacteria before absorption.
B) carbohydrates need to be emulsified before they can be digested, whereas fats do not.
C) processing of fats does not require any digestive enzymes, whereas the processing of carbohydrates does.
D) most absorbed fat first enters the lymphatic system, whereas carbohydrates directly enter the blood.
E) fat absorption occurs in the stomach, whereas carbohydrates are absorbed from the small intestine
D
Food being digested in the stomach is in a highly acidic environment. When the food is released from the stomach into the small intestine, why is the environment no longer acidic?
A) Bile salts from the gallbladder neutralize the stomach acid.
B) Enterokinase activates trypsinogen, thus neutralizing the stomach acid.
C) When pepsinogen activates pepsin, one result is the neutralization of stomach acid in the stomach.
D) Secretin increases the flow of bicarbonate ions from the pancreas into the small intestine to neutralize the stomach acid.
D

Three groups of cyclists consumed three different types of diets: high-carbohydrate; a diet mixed in carbohydrates, fat, and protein; or a diet higher in protein and fat. The average time each group could spend cycling over a six-hour period is shown in the graph. What conclusion from the data would help an athlete or trainer improve performance?
A) Endurance is entirely related to diet.
B) Maintaining elevated blood sugar improves performance.
C) Diet is not at all related to endurance.
D) An early 50 percent drop in blood glucose is associated with improved endurance.
B
Cattle are able to survive on a diet consisting almost entirely of plant material because
A) cattle, like rabbits, re-ingest their feces.
B) they are autotrophic.
C) they have cellulose-digesting, symbiotic microorganisms in chambers of their stomachs.
D) they manufacture all 15 amino acids out of sugars in the liver.
E) cattle saliva has enzymes capable of digesting cellulose.
C
Hypoglycemia, or low levels of glucose in the blood of a healthy human, is "corrected" by a(n)
A) increase in the secretion of glucagon.
B) increase in the secretion of insulin.
C) increase in the secretion of both insulin and glucagon.
D) decrease in the secretion of both insulin and glucagon.
E) increase in the secretion of thyroid hormones.
A
In humans, the ob gene codes for a satiety factor, the hormone leptin. The db gene product, the leptin receptor, is required to respond to the satiety factor.Many obese humans produce normal or increased levels of leptin without satiety, so the search for healthy regulation of food intake should focus on
A) providing supplementary leptin.
B) eliminating carbohydrates from the diet.
C) overexpression of the leptin receptor gene.
D) inactivation of leptin.
E) inhibition of leptin receptors
B
Jahasz-Pocsine and co-workers found a correlation between gastric bypass surgery and neurological complications. Surgeons performed gastric bypass surgery on 150 patients at the University of Arkansas for Medical Sciences Neurology Clinic. Of the 150 patients, 26 experienced neurological complications related to the surgery. What is the most likely cause for the neurological complications?
A) nutrient (for example, vitamin and mineral) deficiencies
B) sudden weight loss and caloric deficiency interfering with neurological function
C) sloppy surgical technique of physicians performing the bypass surgery
D) infections following surgical intervention
A
Over-the-counter medications for acid reflux or heartburn block the production of stomach acid. Which of the following cells are directly affected by this medication?
A) chief cells
B) smooth muscle cells
C) goblet cells
D) parietal cells
D

The Pimas are a group of people living in the southwestern United States and Mexico. Although Pima Indians living in the United States and Mexico have a similar genetic background, a five-fold increase in the incidence of type II diabetes mellitus among U.S. Pima has been reported. The body mass index of Mexicans of non-Pima descent, Mexicans of Pima descent, and Pimas living in the United States is shown in the figure. Based on this information, what can you infer about the incidence of type II diabetes mellitus?
A) Obesity is a risk factor for development of type II diabetes mellitus.
B) People who develop type II diabetes mellitus are typically diagnosed in childhood or adolescence.
C) The incidence of type II diabetes mellitus has increased in the past ten years.
D) If you maintain a normal body weight (body mass index
less than 25), you will not get type II diabetes mellitus
A
Innate immunity
A) is found only in vertebrate animals.
B) is activated immediately upon infection.
C) depends on a newly infected animal's previous exposure to the same pathogen.
D) is based on recognition of antigens that are specific to different pathogens.
E) utilizes highly specific antigen receptors on B cells.
B
Bacterial infection in a previously uninfected individual would most quickly activate
A) humoral immune responses.
B) plasma cells to produce antigens. C) cytotoxic T cells.
C) memory cells to produce antibodies.
D) Toll-like receptors that bind to lipopolysaccharides
D
A newborn who is accidentally given a drug that destroys the thymus would most likely
A) be unable to genetically rearrange antigen receptors.
B) have a reduced number of B cells and be unable to form antibodies.
C) lack humoral immunity.
D) lack class I MHC molecules on cell surfaces.
E) be unable to differentiate and mature T cells.
E
The MHC is important in a T cell's ability to
A) identify specific viruses.
B) recognize differences among types of cancer.
C) distinguish self from nonself.
D) recognize specific parasitic pathogens.
E) identify specific bacterial pathogens
C
A nonfunctional CD4 protein on a helper T cell would result in the helper T cell being unable to
A) lyse tumor cells.
B) stimulate a cytotoxic T cell.
C) interact with a class II MHC-antigen complex.
D) interact with a class I MHC-antigen complex.
E) respond to T-independent antigens.
C
For the successful development of a vaccine to be used against a pathogen, it is necessary that
A) a rearrangement of the B cell receptor antibodies takes place.
B) the MHC molecules are heterozygous.
C) the surface antigens of the pathogen not change.
D) all of the surface antigens on the pathogen be identified.
E) the pathogen has only one epitope.
C
The somatic nervous system can alter the activities of its targets, the skeletal muscle fibers, because
A) it is connected to the internal neural network of the muscles.
B) its signals reach the muscles via the blood.
C) its signals bind to receptor proteins on the muscles.
D) its light pulses activate contraction in the muscles.
E) it is electrically coupled by gap junctions to the muscles.
C
For a neuron with an initial membrane potential at -70 mV, an increase in the movement of potassium ions out of that neuron's cytoplasm would result in
A) the hyperpolarization of the neuron. B) the depolarization of the neuron.
B) the replacement of potassium ions with sodium ions.
C) the neuron switching on its sodium-potassium pump to restore the initial conditions.
D) the replacement of potassium ions with calcium ions.
A
Action potentials move along axons
A) by activating the sodium-potassium "pump" at each point along the axonal membrane.
B) by reversing the concentration gradients for sodium and potassium ions.
C) by the direct action of acetylcholine on the axonal membrane.
D) more slowly in axons of large than in small diameter.
E) more rapidly in myelinated than in non-myelinated axons
E
A toxin that binds specifically to voltage-gated sodium channels in axons would be expected to
A) increase the release of neurotransmitter molecules.
B) have most of its effects on the dendritic region of a neuron.
C) prevent the hyperpolarization phase of the action potential.
D) prevent graded potentials.
E) prevent the depolarization phase of the action potential.
E
The observation that the acetylcholine released into the junction between a motor neuron and a skeletal muscle binds to a sodium channel and opens it is an example of
A) a ligand-gated sodium channel.
B) a second-messenger-gated sodium channel.
C) a chemical that inhibits action potentials.
D) a voltage-gated potassium channel.
E) a voltage-gated sodium channel
A
The system that modulates excitation and inhibition of smooth and cardiac muscles of the digestive, cardiovascular, and excretory systems is the
A) central nervous system.
B) sympathetic nervous system.
C) parasympathetic nervous system
D) peripheral nervous system.
E) autonomic nervous system
E
The ability of one person to produce over a million different antibody molecules does not require over a million different genes; rather, this wide range of antibody production is due to
A) increased rate of mutation in the RNA molecules.
B) crossing over between the light and heavy chains of each antibody molecule during meiosis I.
C) DNA rearrangements.
D) alternative splicing of exons after transcription.
E) rearrangements of cytosolic proteins in the thymus cells.
C
Which of the following develops the greatest pressure on the blood in the mammalian aorta?
A) systole of the left ventricle
B) diastole of the left atrium
C) systole of the left atrium
D) diastole of the right ventricle
E) diastole of the right atrium
A
A diseased patient is exposed to an unknown agent while out of the country. The patient's blood is found to have a high proportion of lymphocytes with CD8 surface proteins in her blood, a likely result of
A) the patient having encountered a bacterial infection which elicited CD8+ T cells.
B) the disease having been caused by a multicellular parasite, such as can be encountered in polluted water sources.
C) the CD8 proteins having "marked" the surface of cells that accumulate after the infection is over and signal patient recovery.
D) a viral infection eliciting proliferation of CD8+ cytotoxic T cells.
E) the CD8 proteins having been discharged from these lymphocytes to lyse the infected cells.
D
A bone marrow transplant may not be appropriate from a given donor to a given recipient, even though the donor has previously given blood for one of recipient's needed transfusions, because
A) for each gene, there is only one blood allele but many tissue alleles.
B) The donor’s class II genes are not expressed in bone marrow.
C) a blood type match is less stringent than a match required for transplant because blood is more tolerant of change.
D) The recipient's immune response has been made inadequate before he receives the transplant.
E) even though the donor's blood type is a match to recipient's, the MHC proteins may not be a match.
E
Damage to the sinoatrial node in humans
A) would have a direct effect on blood pressure monitors in the aorta.
B) is a major contributor to heart attacks.
C) would disrupt the rate and timing of cardiac muscle contractions.
D) would block conductance between the bundle branches and the Purkinje fibers.
E) would have a negative effect on peripheral resistance.
C
The diagnosis of hypertension in adults is based on the
A) measurement of fatty deposits on the endothelium of arteries.
B) blood pressure being greater than 140 mm Hg systolic and/or >90 diastolic.
C) measurement of the LDL/HDL ratio in peripheral blood.
D) number of leukocytes per mm3 of blood.
E) percent of blood volume made up of platelets.
B
Of the following choices, impairment of a mammal's breathing cycle is most likely following neural damage in
A) the adrenal medulla and the adrenal cortex.
B) the medulla oblongata and the pons.
C) the thalamus and the hypothalamus.
D) the cerebrum and cerebellum.
E) the frontal lobe and the temporal lobe
B
When you hold your breath, which of the following blood gas changes first leads to the urge to breathe?
A) falling CO2
B) falling O2
C) rising CO2 and falling O2
D) rising CO2
E) rising O2
D

According to the graph, what will happen to the rate of O2 consumption in a person running at a speed of about 120 meters per minute who increases their speed to about 240 meters per minute?
A) It will remain constant.
B) It will almost double.
C) It will almost be tripled.
D) It will be decreased by about half.
E) It will be decreased by about a third.
B
Picture a group of each of the following types of animals, in which the combined weight of the group is roughly the same (i.e., 1 horse weighs 1,000 kg = 10 humans together weigh 1,000 kg = 10,000 flying squirrels together weigh 1,000 kg, etc.). Which group will collectively require the most food?
A) Horse (average individual weight of 1,000 kg)
B) Humans (average individual weight of 100 kg)
C) Marmots (average individual weight of 5 kg)
D) Flying squirrels (average individual weight of 0.1 kg)
E) Pygmy mice (average individual weight of 0.01 kg)
E
The mechanisms of homeostasis
A) keep vital organs working at their maximum potential.
B) keep all cells working at the same metabolic rate.
C) keep the body’s metabolic rate constant in varying environmental temperatures.
D) keep the body’s temperature absolutely constant in varying environmental temperatures.
E) maintain a relatively constant internal physiological environment regardless of the changes in the external environment.
E
As the environmental temperature in a closed, empty chamber increases (from 15°C up to 25°C), the internal temperature of a conformer such as a lizard _______, and that of a regulator such as a mouse _______.
A) increases; stays the same
B) increases; increases
C) decreases; increases
D) decreases; decreases
E) stays the same; decreases
A
Which animal is behaving most like a homeotherm to warm its body?
A) A black beetle that absorbs solar radiation
B) A moth that quivers its wings before flight
C) A snake that lies on a warm blacktop road
D) A fish that moves to a warm, shallow part of a pond
E) An insect that positions its body for maximum exposure to sunlight
B
In a mammal, a thermoregulatory response of the hypothalamus to a rise in temperature is
A) increased metabolic heat production.
B) a resetting of the thermostat to a higher setting.
C) an overall increase in body temperature.
D) sweating or panting.
E) the initiation of shivering.
D
The hypothalamus serves in part as an integrated thermoregulatory center defining an organism’s response to changes in its thermal environment. Because the hypothalamus normally serves to produce metabolic responses that reverse the direction of environmental temperature change, the control it exerts is termed
A) negative feedback.
B) positive feedback.
C) metabolic compensation.
D) feedforward control.
E) the effector.
A
Which of the following organ systems is not involved in the maintenance of homeostasis in humans?
A) Circulatory
B) Digestive
C) Respiratory
D) Nervous
E) All of the above are involved in the maintenance of homeostasis in humans
E
The human brain accounts for only 2 percent of the total mass of a human, yet it uses 25 percent of the energy consumed as food every day. What does this imply about brain cells compared to other body cells?
A) Body cells are more efficient than brain cells at extracting the energy from food, so they give off less heat per mass of food consumed.
B) Brain cells need to be replaced at a slower rate than skin and blood cells, which turn over in much shorter time frames.
C) Brain cells perform highly complex biochemical activities at such a speed or rate that, compared to body cells, greater energy input is required to run them.
D) All cells use the same amount of food energy per cell; brain cells are much smaller in mass than other types of body cells.
E) There is a lower density of brain cells per gram of brain tissue, compared to the densities of body cells in their respective tissues.
C
The thyroid gland makes and releases thyroid hormone when it is stimulated by thyroid stimulating hormone (TSH). If the thyroid gland is unable to make thyroid hormone due to an inadequate supply of a micronutrient, a feedback loop causes more TSH to be released by the pituitary gland, which in turn causes the thyroid gland to grow as it attempts to make more thyroid hormone. If the lack of the micronutrient continues, the thyroid gland can grow quite large and is called a goiter. The lack of which micronutrient is most likely to cause a goiter?
A) Iodine
B) Fluoride
C) Chromium
D) Zinc
E) Copper
A

The combined body mass of a zoo’s raccoon population is equal to that of its bear population. How will the mass of food used to feed the raccoons compare with the mass of food used to feed the bears?
A) They will be the same, because the total body masses of the two groups are the same.
B) The food mass for raccoons will be less than the food mass for bears, because the raccoons are smaller and have a lower BMR per mass.
C) The food mass for raccoons will be greater than the food mass for bears, because the raccoons are smaller and have a higher BMR per mass.
D) The food mass for raccoons will be greater than the food mass for bears, because the raccoons are smaller than bears and have a lower BMR
per mass.
E) The food mass for raccoons will be less than the food mass for bears, because the raccoons are smaller than bears and have a higher BMR per mass.
C
The key difference between digestion and absorption is that
A) absorption does not occur in most animals.
B) absorption transfers digested molecules across the gut epithelium.
C) digestion does not occur in most animals.
D) digestion occurs on molecules absorbed from the blood into the gut lumen.
E) The two terms are interchangeable; there is no significant difference
B
Which of the following is not caused by the HCl secreted in the stomach?
A) Release of bile
B) Activation of pepsin
C) Proper pH for the digestive enzyme of the stomach
D) Breakdown of ingested tissues
E) Death of ingested bacteria
A
Certain amino acids are essential to the diet of animals because they
A) prevent over-nourishment.
B) are cofactors and coenzymes required for normal physiological function.
C) are needed to make stored fats used during hibernation and migration.
D) are the most important source of stored energy.
E) cannot be synthesized directly by the body
E
In vertebrates, a major function of the colon, or large intestine, is the
A) digestive breakdown of foods.
B) absorption of nutrients from foods.
C) housing of parasitic bacteria.
D) secretion of bile and enzymes.
E) reabsorption of water.
E
The acidic material coming from the stomach into the small intestine is neutralized by
A) buffers from the gall bladder.
B) bicarbonate from the pancreas.
C) bile from the liver.
D) trypsin activation.
E) a variety of hindgut enzymes.
B
Cystic fibrosis causes the production of unusually thick mucus, which sometimes blocks the pancreatic duct and thereby prevents pancreatic enzymes from reaching the small intestine. As a result, individuals with this disease commonly
A) experience heartburn due to food backing up into the esophagus.
B) suffer from disruption of the mechanical digestion of food in the stomach.
C) are obese.
D) are malnourished.
E) have abnormal insulin secretion.
D
Typically, a human requires about _______ per day for normal daily activities.
A) 2,000 joules
B) 1,000−2,000 cal
C) 4.1 kcal
D) 9.4 kcal
E) 2,000−2,500 kcal
E
From least to greatest, what is the correct order of food molecules in terms of how much energy one gram provides?
A) Carbohydrates, proteins, lipids
B) Lipids, carbohydrates, proteins
C) Sugars, lipids, proteins
D) Proteins, sugars, lipids
E) Lipids, proteins, carbohydrates
A
Most people in African tribes are unable to digest lactose as adults. In certain cattle-raising cultures, however, milk is an important food, and adults can digest lactose. This trait first appeared in these cattle-raising populations about 5,000 years ago. This indicates that
A) human genes do not mutate within populations but only between populations that interbreed.
B) evolutionary changes affecting lactase production have evolved rapidly in human populations.
C) the gene controlling lactose production in humans has mutated relatively recently.
D) cattle-raising cultures are more advanced than the non-cattle-raising cultures.
E) most people who are able to digest lactose as adults can trace their ancestry back to African cattle-raising cultures.
B
Humans have difficulty obtaining enough oxygen while breathing at high elevations because _______ at low elevations.
A) CO2 makes up a higher percentage of the air than it does
B) the temperature is lower than it is
C) the barometric pressure is higher than it is
D) the air is drier than it is
E) the partial pressure of O2 is lower than it is
E
Oxygen is exchanged between the body fluids of an animal and its environment by
A) osmosis.
B) active transport.
C) diffusion.
D) facilitated transport.
E) pinocytosis
C
If the partial pressure of oxygen in the blood is higher than the partial pressure of oxygen in the body’s tissues,
A) oxygen will diffuse into the tissues from the blood.
B) oxygen will diffuse out of the tissues into the blood.
C) carbon dioxide will diffuse into the tissues from the blood.
D) there will be no diffusion of gases between the tissues and the blood.
E) oxygen will be pumped from the blood into the tissues via active transport
A

The table shows data on oxygen concentration in water and the use of oxygen by fish at different water temperatures. What is one conclusion that can be drawn from these data?
A) The solubility of oxygen in water increases as the temperature of the water increases.
B) An inactive fish uses less oxygen during respiration when its body temperature is warmer.
C) Both active and inactive fish use oxygen at higher rates in warm water than they do in cold water.
D) An active fish uses less oxygen than an inactive fish at higher water temperatures.
E) As water temperatures drop the amount of dissolved oxygen in the water decreases
C
The partial pressure of CO2 in the blood is monitored carefully by the human body, and any changes lead quickly to changes in respiratory rate. Both an increase in partial pressure of CO2 and _______ are stimuli that lead to increased respiratory gas exchange.
A) an increase in the partial pressure of N2 in the blood
B) a decrease in the partial pressure of O2 in the blood
C) increased acidity in the blood
D) the temperature as measured at the hypothalamus
E) a lowered pulse rate
C
A premature baby in critical condition with high blood pressure in his lungs is administered a blend of nitric oxide (a vasodilator) and oxygen to reduce his blood pressure. Nitric oxide reduces blood pressure by
A) reducing the heart rate.
B) relaxing the muscle cells around arterioles.
C) blocking the formation of new capillaries.
D) constricting the muscle cells around arterioles.
E) increasing the formation of capillaries
B
How does blood flow in pulmonary arteries differ from that in other arteries?
A) Pulmonary arteries transport oxygen-depleted blood to the heart from the lungs, whereas other arteries transport oxygen-rich blood away from the heart.
B) Pulmonary arteries transport oxygen-rich blood away from the heart, whereas other arteries transport oxygen-depleted blood away from the heart.
C) Pulmonary arteries transport oxygen-depleted blood away from the heart, whereas other arteries transport oxygen-rich blood away from the heart.
D) Pulmonary arteries are located in the lungs, whereas other arteries are located in the brain and heart.
E) Pulmonary arteries transport lymph, whereas other arteries transport blood.
C
An artificial pacemaker can be implanted in patients whose natural pacemaker is malfunctioning, causing an excessively slow or irregular heartbeat. In order for the artificial pacemaker to ensure proper cardiac rhythm, the electrical leads should be implanted
A) in the middle of the left ventricle.
B) in the wall of the right atrium.
C) in the brain.
D) in the middle of the aorta.
E) at the atrioventricular node
B
Blockage of a coronary artery can be the direct cause of
A) a stroke.
B) a heart attack.
C) fainting.
D) edema.
E) anemia.
B
As blood travels from the arteries of the heart into the capillaries of the body tissue, blood pressure drops. Which statement about the relationship between cross-sectional vessel area and blood pressure is true?
A) As the total cross-sectional area decreases, blood pressure also decreases.
B) As the total cross-sectional area increases, blood pressure also increases.
C) As the total cross-sectional area decreases, blood pressure increases.
D) As the total cross-sectional area increases, blood pressure decreases.
E) There is no relationship between cross-sectional vessel area and blood pressure.
D
How is most CO2 transported in blood?
A) Bicarbonate interacts with water to produce CO2.
B) CO2 reacts with water in the blood to form bicarbonate ions.
C) O2 binds with the CO2 to produce bicarbonate ions.
D) Hemoglobin binds the CO2 to produce bicarbonate ions.
E) Hemocyanin and hemoglobin bind CO2 and O2 to form copper
B
Walking outside on a cold day without sufficient warm clothing, your _______ is (are) most likely to feel cold first because _______.
A) arms; vasodilation of veins is increasing blood flow to your extremities
B) head; the lowest volume of blood circulates to your head
C) core; most of your blood is contained in your core, so it will lose heat fastest
D) legs; your leg muscles are working the hardest, so they have the most heat to lose
E) hands; vasoconstriction of arterioles is restricting blood flow to your extremities
E
The _______ partial pressure of oxygen in lung capillaries allows hemoglobin molecules to carry _______ O2 molecules, but when the blood returns to the lungs, hemoglobin usually carries _______ molecules.
A) high; four; CO2
B) high; four; fewer O2
C) low; four; CO2
D) low; two; CO2
E) high; fewer than four; four O2
B

The oxygen equilibrium curve shown represents the behavior of human hemoglobin in arterial blood. The point labeled _______ represents the condition in the lungs; the point labeled _______ represents the condition in the _______.
A) 1; 3; heart during exercise
B) 2; 1; lungs when exercising
C) 2; 3; lungs when exercising
D) 3; 1; systemic tissues when at rest
E) 3; 2; systemic tissues when at rest
E
An adaptive immune response to a pathogen would include
A) an increase in lysozyme production.
B) recognition of infected cells by T cells.
C) inflammation at the site of exposure.
D) increased flow of mucus.
E) phagocytosis of the pathogen
B
Which statement about natural killer cells is false?
A) They are a class of lymphocytes.
B) They can distinguish between normal cells and cells that have been infected by viruses.
C) They can bind antibody-tagged cells.
D) They can induce lyses of targeted cells.
E) They are phagocytic.
E
In autoimmune diseases such as rheumatoid arthritis, damage to tissue occurs when the immune system fails to
A) distinguish self tissues from pathogens.
B) induce the production of IgE by mast cells.
C) induce the production of lysozyme.
D) induce platelet aggregation.
E) recruit macrophages.
A
The clonal selection of B cells results in
A) changes in antibody shapes to match different antigens.
B) an individual’s possessing only one type of B cell.
C) the production by each B cell clone of antibodies with multiple antigen specificities.
D) many genetically identical copies of the initial B cell that recognized an antigen.
E) the selection of B cells that recognize self antigens
D
The extraordinary diversity of antibodies results in part from
A) the action of monoclonal antibodies.
B) the splicing of protein molecules.
C) the action of cytotoxic T cells.
D) the rearrangement of genes.
E) their remarkable nonspecificity
D
When an individual is first exposed to the smallpox virus, several days pass before significant numbers of specific antibody molecules and T cells are produced. However, a second exposure to the virus causes a large and rapid production of antibodies and T cells. This later response is an example of
A) autoimmunity.
B) phytoalexins.
C) phagocytosis.
D) interferon production.
E) immunological memory.
E
Which statement about the humoral immune response is true?
A) It involves B cells directly killing pathogens.
B) It involves soluble antibodies.
C) It is carried out by T cells.
D) It is a nonspecific response.
E) It is induced by histamines
B
If you were vaccinated against measles as a child, you still have immunity to the disease decades later because
A) plasma cells secrete cytokines.
B) effector T cells secrete antibodies.
C) cytotoxic T cells can live for several decades.
D) memory B cells can persist in the body for several decades.
E) Both a and b
D
Which disease is not caused by autoimmunity?
A) Systemic lupus erythematosus
B) Rheumatoid arthritis
C) Type I diabetes
D) AIDS
D
The cells targeted by HIV are
A) neurons.
B) platelets.
C) red blood cells.
D) mast cells.
E) helper T cells.
E
An axon travels from the spinal cord to the legs. It is surrounded by a concentric ring of lipid-rich cell membrane that insulates the axon and speeds up its transmission of electrical impulses. This covering is composed of
A) Schwann cells.
B) synapses.
C) dendrites.
D) nodes of Ranvier.
E) oligodendrocytes
A
If ATP was not available to run the cell’s sodium–potassium pump, which function would stop?
A) Leakage of K+ ions into the cell
B) Leakage of K+ ions out of the cell
C) Active transport of K+ to the outside of the cell
D) Active transport of Na+ to the inside of the cell
E) Active transport of Na+ to the outside of the cell
E
Sodium (Na+) is unable to cross a membrane until a local change in the membrane potential occurs. This suggests that Na+ transfer across membranes is controlled by a(n)
A) ligand-gated ion channel.
B) voltage-gated ion channel.
C) stretch-gated ion channel.
D) ion channel that is always open.
E) ion channel that is always closed.
B
How do graded changes in membrane potential give rise to all-or-none changes that generate action potentials?
A) Many graded potentials reaching the same point on the membrane are summed, causing the voltage threshold to be reached.
B) The membrane recognizes only action potentials generated by positive ions, causing a voltage threshold to be reached.
C) The membrane recognizes only action potentials generated by negative ions, causing a voltage threshold to be reached.
D) Many graded potentials at different points along the membrane are summed, causing the voltage threshold to be reached.
E) The membrane allows only voltage-gated channels to open and close, enabling an electrical charge gradient to be created.
A
After a neurotransmitter such as acetylcholine or glutamate enters a synaptic cleft, several things can happen to it. Which of these does not happen to a neurotransmitter during normal nervous system activity?
A) It is taken up by a nearby neuron.
B) It is taken up by a nearby glial cell.
C) It is taken up again by the presynaptic neuron.
D) It remains in the synaptic cleft.
E) It is broken down in the synaptic cleft by enzymes.
D
Assume that several thousand presynaptic neurons synapse with a single postsynaptic neuron. The various presynaptic neurons release ten different neurotransmitters, which are bound by specific (and varying) receptors on the postsynaptic neuron. For an action potential to be generated in the postsynaptic neuron, what must occur?
A) All neurotransmitter receptors must be ionotropic.
B) All neurotransmitter receptors must be metabotropic.
C) All postsynaptic potentials must be greater than the threshold potential.
D) There must be more IPSPs than EPSPs occurring at the same time and place.
E) The postsynaptic potentials occurring at a single time must sum to a value greater than the threshold potential
E
Before a test, you are jittery, and your heart rate and breathing rate increase. This suggests that your _______ nervous system is activated and is releasing _______.
A) sympathetic; acetylcholine
B) sympathetic; norepinephrine
C) parasympathetic; norepinephrine
D) parasympathetic; acetylcholine
E) voluntary; acetylcholine
B
Which event is not one of the steps that make up a reflex action, such as the knee-jerk reflex?
A) Sensory neuron sends action potential to brain.
B) Stimulus is received by sensory neuron.
C) Action potential travels to spinal cord.
D) Interneuron processes action potential.
E) Motor neuron sends response to muscle.
A
In a PET scan, the most active brain areas “light up” with radioactivity when certain activities are performed—for example, seeing, hearing, speaking, reading, or remembering. This suggests that action potentials are interpreted based on the
A) type of response expected by the body.
B) type of action potential being received.
C) sensory location from which they originated.
D) brain location where they are received.
E) size of the brain region where they are received.
D
Brain mapping shows that sensory and motor functions in the human cerebral cortex are arranged
A) randomly.
B) by location of body part.
C) by size of body part.
D) by number of neurons required.
E) by number of glial cells required
B
The specialized structures of complex animals have evolved because
A) the development of the specialized structures in an animal is influenced by the animal's ability to learn.
B) the simplest animals are those with the most recent appearance among the biota.
C) they permit adjustments to a wide range of environmental changes.
D) the most complex animals are the ones with the most ancient evolutionary origin.
E) the environment imposes identical problems regardless of where the animals are found
C
You are studying a large tropical reptile that has a high and relatively stable body temperature. How would you determine whether this animal is an endotherm or an ectotherm?
A) You note that its environment has a high and stable temperature. Because its body temperature matches the environmental temperature, you conclude that it is an ectotherm.
B) You subject this reptile to various temperatures in the lab and find that its body temperature and metabolic rate change with the ambient temperature. You conclude that it is an ectotherm.
C) You know that it is an ectotherm because it is not a bird or mammal.
D) You know from its high and stable body temperature that it must be an endotherm.
E) You measure the metabolic rate of the reptile, and because it is higher than that of a related species that lives in temperate forests, you conclude that this reptile is an endotherm and its relative is an ectotherm.
B
Animals that migrate great distances would obtain the greatest energetic benefit of storing chemical energy as
A) carbohydrates.
B) proteins.
C) minerals.
D) fats.
E) amino acids.
D
Upon activation by stomach acidity, the secretions of the parietal cells
A) initiate the mechanical digestion of lipids in the stomach.
B) initiate the digestion of protein in the stomach.
C) include pepsinogen.
D) initiate the chemical digestion of lipids in the stomach.
E) delay digestion until the food arrives in the small intestine
D
The absorption of fats differs from that of carbohydrates in that the
A) fat absorption occurs in the stomach, whereas carbohydrates are absorbed from the small intestine.
B) most absorbed fat first enters the lymphatic system, whereas carbohydrates directly enter the blood.
C) processing of fats does not require any digestive enzymes, whereas the processing of carbohydrates does.
D) fats, but not carbohydrates, are digested by bacteria before absorption.
E) carbohydrates need to be emulsified before they can be digested, whereas fats do not.
B
Hypoglycemia, or low levels of glucose in the blood of a healthy human, is "corrected" by a(n)
A) decrease in the secretion of both insulin and glucagon.
B) increase in the secretion of insulin.
C) increase in the secretion of thyroid hormones.
D) increase in the secretion of glucagon.
E) increase in the secretion of both insulin and glucagon
D
Bacterial infection in a previously uninfected individual would most quickly activate
A) humoral immune responses.
B) plasma cells to produce antigens.
C) cytotoxic T cells.
D) memory cells to produce antibodies.
E) Toll-like receptors that bind to lipopolysaccharides.
E
A newborn who is accidentally given a drug that destroys the thymus would most likely
A) be unable to genetically rearrange antigen receptors.
B) have a reduced number of B cells and be unable to form antibodies.
C) lack humoral immunity.
D) lack class I MHC molecules on cell surfaces.
E) be unable to differentiate and mature T cells.
E
The MHC is important in a T cell's ability to
A) identify specific viruses.
B) recognize differences among types of cancer.
C) distinguish self from nonself.
D) recognize specific parasitic pathogens.
E) identify specific bacterial pathogens.
C
A nonfunctional CD4 protein on a helper T cell would result in the helper T cell being unable to
A) lyse tumor cells.
B) stimulate a cytotoxic T cell.
C) interact with a class II MHC-antigen complex.
D) interact with a class I MHC-antigen complex.
E) respond to T-independent antigens.
C
For the successful development of a vaccine to be used against a pathogen, it is necessary that
A) a rearrangement of the B cell receptor antibodies takes place.
B) the MHC molecules are heterozygous.
C) the surface antigens of the pathogen not change.
D) all of the surface antigens on the pathogen be identified.
E) E) the pathogen has only one epitope.
C
Immunodeficiencies can be genetic in origin, and two examples are Bruton's agammaglobulinemia, an X-linked disorder, and DiGeorge syndrome (DGS), caused by a deletion from chromosome 22. Bruton's disorder results in underdeveloped B cells, whereas DGS results in a missing or seriously underdeveloped thymus. Which of the following descriptions at likely indicates a child with Bruton's disease.
A) baby girl with low level of antibody response to streptococcal infection
B) baby girl with no evidence of a thymus gland
C) baby boy with no plasma cells following infection by bacterial pneumonia
D) baby boy with immature T cells, missing CD4 receptors
E) baby boy with very low circulating antigens
C
The somatic nervous system can alter the activities of its targets, the skeletal muscle fibers, because
A) it is connected to the internal neural network of the muscles.
B) its signals reach the muscles via the blood.
C) its signals bind to receptor proteins on the muscles.
D) its light pulses activate contraction in the muscles.
E) it is electrically coupled by gap junctions to the muscles.
C
For a neuron with an initial membrane potential at -70 mV, an increase in the movement of potassium ions out of that neuron's cytoplasm would result in
A) the hyperpolarization of the neuron.
B) the depolarization of the neuron.
C) the replacement of potassium ions with sodium ions.
D) the neuron switching on its sodium-potassium pump to restore the initial conditions.
E) the replacement of potassium ions with calcium ions.
A
Action potentials move along axons
A) by activating the sodium-potassium "pump" at each point along the axonal membrane.
B) by reversing the concentration gradients for sodium and potassium ions.
C) by the direct action of acetylcholine on the axonal membrane.
D) more slowly in axons of large than in small diameter.
E) more rapidly in myelinated than in non-myelinated axons.
E
A toxin that binds specifically to voltage-gated sodium channels in axons would be expected to
A) increase the release of neurotransmitter molecules.
B) have most of its effects on the dendritic region of a neuron.
C) prevent the hyperpolarization phase of the action potential.
D) prevent graded potentials.
E) prevent the depolarization phase of the action potential
E
The system that modulates excitation and inhibition of smooth and cardiac muscles of the digestive, cardiovascular, and excretory systems is the
A) central nervous system.
B) sympathetic nervous system.
C) parasympathetic nervous system
D) peripheral nervous system.
E) autonomic nervous system
E
The ability of one person to produce over a million different antibody molecules does not require over a million different genes; rather, this wide range of antibody production is due to
A) increased rate of mutation in the RNA molecules.
B) crossing over between the light and heavy chains of each antibody molecule during meiosis I.
C) DNA rearrangements.
D) alternative splicing of exons after transcription.
E) rearrangements of cytosolic proteins in the thymus cells.
C
A diseased patient is exposed to an unknown agent while out of the country. The patient's blood is found to have a high proportion of lymphocytes with CD8 surface proteins in her blood, a likely result of
A) the patient having encountered a bacterial infection which elicited CD8+ T cells.
B) the disease having been caused by a multicellular parasite, such as can be encountered in polluted water sources.
C) the CD8 proteins having "marked" the surface of cells that accumulate after the infection is over and signal patient recovery.
D) a viral infection eliciting proliferation of CD8+ cytotoxic T cells.
E) the CD8 proteins having been discharged from these lymphocytes to lyse the infected cells
D
A bone marrow transplant may not be appropriate from a given donor to a given recipient, even though the donor has previously given blood for one of recipient's needed transfusions, because
A) for each gene, there is only one blood allele but many tissue alleles.
B) The donor’s class II genes are not expressed in bone marrow.
C) a blood type match is less stringent than a match required for transplant because blood is more tolerant of change.
D) The recipient's immune response has been made inadequate before he receives the transplant.
E) even though the donor's blood type is a match to recipient's, the MHC proteins may not be a match.
E
Vaccination increases the number of
A)MHC molecules that can present an antigen.
B)lymphocytes with receptors that can bind to the pathogen.
C)different receptors that recognize a pathogen.
D)epitopes that the immune system can recognize.
E)macrophages specific for a pathogen.
B
To become bound to hemoglobin for transport in a mammal, atmospheric molecules of oxygen must cross _____.
A)one membrane—that of the lining in the lungs—and then bind directly to hemoglobin, a protein dissolved in theplasma of the blood
B)two membranes—in and out of the cell lining the lung—and then bind directly to hemoglobin, a protein dissolved inthe plasma of the blood
C)four membranes—in and out of the cell lining the lung, in and out of the endothelial cell lining an alveolarcapillary—and then bind directly to hemoglobin, a protein dissolved in the plasma of the blood
D)five membranes—in and out of the cell lining the lung, in and out of the endothelial cell lining an alveolar capillary,and into the red blood cell—to bind with hemoglobin
D
Carbon dioxide levels in the blood and cerebrospinal fluid affect pH. This enables the organism to sense a disturbance ingas levels as _____.
A)the brain directly measures and monitors oxygen levels and causes breathing changes accordingly
B)the medulla oblongata, which is in contact with cerebrospinal fluid, monitors pH and uses this measure to controlbreathing
C)the brain alters the pH of the cerebrospinal fluid to force the animal to retain more or less carbon dioxide
D)stretch receptors in the lungs cause the medulla oblongata to speed up or slow breathing
B
During most daily activities, the human respiration rate is most closely linked to the blood levels of _____.
A)nitrogen
B)oxygen
C)carbon dioxide
D)carbon monoxide
C
A decrease from pH 7.4 to pH 7.2 causes hemoglobin to _____.
A)release all bound carbon dioxide molecules
B)bind more oxygen molecules
C)increase its binding of H+
D)give up more of its oxygen molecules
D
Sensors in the medullary respiratory center detect changes in blood pH. If the pH drops, the respiratory center increases the rate of ventilation. Why does this make sense?
A)Actually it doesn't make sense. There is no relationship between pH and ventilation rate.
B)It makes sense because CO2 is formed from O2, and therefore CO2 is a sign that oxygen is being consumed.
C)It makes sense because tissues that are more actively working produce more CO2, and when CO2 mixes with water,it becomes an acid and lowers the pH.
D)It makes sense because hemoglobin carries CO2 and therefore blocks oxygen binding to the heme site, creating anoxygen deficiency.
C

The upper curve to the right shows O2 saturation in normalconditions and the lower curve shows O2 saturation in someone with carbon monoxide poisoning. You can determine from this curve that carbon monoxide:
A)decreases the amount of O2 in the air.
B)decreases the amount of hemoglobin.
C)decreases the binding of O2 to hemoglobin.
C
When you hold your breath, which of the following blood gas changes first leads to the urge to breathe?
A)falling CO2
B)falling O2
C)rising CO2 and falling O2
D)rising O2
E)rising CO2
E
Which of the following reactions prevails in red blood cells traveling through alveolar capillaries? (Hb = hemoglobin)
A)CO2 + H2O → H2CO3
B)Hb + 4 CO2 → Hb(CO2)4
C)Hb(O2)4 → Hb + 4 O2
D)Hb + 4 O2 → Hb(O2)4
E)H2CO3 → H+ + HCO3-
D
Damage to the sinoatrial node in humans
A)is a major contributor to heart attacks.
B)would block conductance between the bundle branches and the Purkinje fibers.
C)would have a negative effect on peripheral resistance.
D)would disrupt the rate and timing of cardiac muscle contractions.
E)would have a direct effect on blood pressure monitors in the aorta.
D
The semilunar valves of the mammalian heart
A)are the route by which blood flows from the atria to the ventricles.
B)are found only on the right side of the heart.
C)are the attachment site where the pulmonary veins empty into the heart.
D)prevent backflow of blood in the aorta and pulmonary arteries.
E)are at the places where the anterior and posterior venae cavae empty into the heart
D
The velocity of blood flow is the lowest in capillaries because
A)the capillary walls are not thin enough to allow oxygen to exchange with the cells.
B)the capillaries are far from the heart, and blood flow slows as distance from the heart increases.
C)the diastolic blood pressure is too low to deliver blood to the capillaries at a high flow rate.
D)the systemic capillaries are supplied by the left ventricle, which has a lower cardiac output than the right ventricle.
E)the total cross-sectional area of the capillaries is greater than the total cross-sectional area of the arteries or any otherpart of the circulatory system.
E
The diagnosis of hypertension in adults is based on the
A)measurement of fatty deposits on the endothelium of arteries.
B)measurement of the LDL/HDL ratio in peripheral blood.
C)percent of blood volume made up of platelets.
D)blood pressure being greater than 140 mm Hg systolic and/or >90 diastolic.
E)number of leukocytes per mm3 of blood.
D
A significant increase in the amount of interstitial fluid surrounding the capillary beds of a human's lungs will cause
A)an increase in the amount of carbon dioxide moving from the blood to the lungs.
B)an increase in the amount of oxygen moving from the lungs into the blood.
C)a decrease in the amount of oxygen moving from the lungs into the blood.
D)an increase of pressure that would cause the capillary beds to burst.
E)a decrease in the amount of work needed for effective ventilation of the lungs.
C
In the cardiac cycle of humans, blood pressure is at its maximum when the _______ are _______ during _______.
A)atria; contracting; systole
B)atria; contracting; diastole
C)ventricles; contracting; systole
D)ventricles; relaxing; systole
E)ventricles; relaxing; diastole
C
A patient feels faint and has low blood pressure. An echocardiogram of the heart shows that the atrioventricular valvebetween the left atrium and left ventricle does not close completely, a condition called mitral valve prolapse. This can result in low blood pressure, because with each heartbeat the left ventricle is
A)overfilling with blood during each cardiac cycle.
B)pumping less blood than normal to the lungs.
C)pumping more blood than normal to the lungs.
D)pushing more blood than normal out to the systemic circuit.
E)pushing less blood than normal out to the systemic circuit.
E
Atrial fibrillation occurs when the heart begins generating electrical impulses due to faulty signals originating in morethan one area of the heart. What region of the heart that normally controls the rhythm of the heartbeat is being overridden in patients with atrial fibrillation?
A)Atriventricular node
B)Sinoatrial node
C)Aorta
D)Pulmonary valve
E)Common carotid artery
B
Countercurrent heat exchange allows animals to
A)minimize heat loss to their environment.
B)keep their hearts warm enough to pump blood.
C)live in extremely hot dessert environments.
D)slow down food digestion.
E)absorb heat from their environment.
A
A cell membrane can undergo a rapid change from the resting potential to carrying an action potential. Which processenables this change?
A)Lipids in the cell membrane allow a few positive ions to move into the cell.
B)Lipids in the cell membrane allow many positive ions to move into the cell.
C)An ion channel protein allows a few positive ions to move into the cell.
D)An ion channel protein allows very large numbers of positive ions to move into the cell.
E)An ion channel protein floods the entire bulk solution in the cell with positive ions.
C