1) Innate Immunity
A. is activated immediately upon infection
B. depends on an infected animal's previous exposure to the same pathogen
C. is found only in vertebrate animals
D. is based on recognition of antigens that are specific to different pathogens
A
2) The force driving simple diffusion is _____, while the energy source for active transport is ____.
A. the concentration gradient; ATP
B. transmembrane pumps; electron transport
C. the concentration gradient; ADP
D. phosphorylated protein carriers; ATP
A
3) Which level of ecological study focuses the most on abiotic factors?
A. ecosystem ecology
B. speciation ecology
C. population ecology
D. community ecology
A

4) In the figure above, which of the following survivorship curves implies that an animal may lay many eggs, of which a regular number die each year on a logarithmic scale?
A. curve A
B. curve B
c. curve C
B
5) If the sun were to suddenly stop providing energy to Earth, most ecosystems would vanish. Which of the following ecosystems would likely survive the longest after this hypothetical disaster?
A. benthic ocean
B. desert
C. tropical rain forest
D. tundra
A
6) Which of the following terms encompasses all of the others?
A. carnivores
B. heterotrophs
C. herbivores
D. primary consumers
B
7) To recycle nutrients, an ecosystem must have, at a minimum___
A. producers, primary consumers, secondary consumers, and decomposers
B. producers
C. producers and decomposers
D. producers, primary consumers, and decomposers
C
8) Which of the following is an example of an ecosystem?
A. the plants, animals, and decomposers that inhabit an alpine meadow
B. the intricate interactions of the various plant and animal species on a savanna during a drought
C. all of the brook trout in a 500 square hectare river drainage system
D. all of the organisms and their physical environment in a tropical rain forest
D

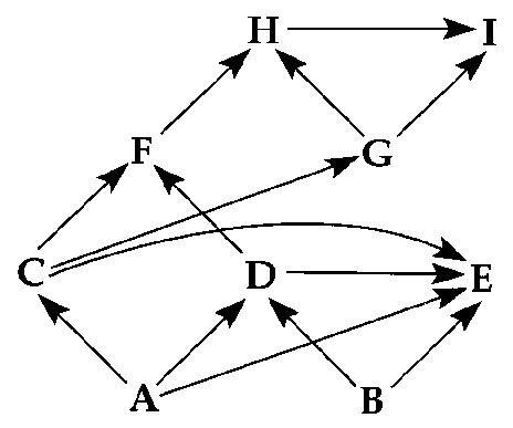
9) Examine this food web for a particular terrestrial ecosystem. Which species is autotrophic?
A. A
B. C
C. D
D. E
A

10) Examine this food web for a particular terrestrial ecosystem. Which species is most likely a decomposer on this food web?
A. A
B. B
C. C
D. E
D

11) Examine this food web for a particular terrestrial ecosystem.Species C is toxic to predators. Which species is most likely to benefit from being a mimic of C?
A. A
B. B
C. C
D. D
B

12) Examine this food web for a particular terrestrial ecosystem.Which pair of species could be omnivores?
A. A and D
B. B and C
C. C and D
D. C and E
D

13) If the figure above represents a marine food web, the smallest organism might be___
A. A
B. C
C. I
D. E
A
14) Which of the following organisms is INCORRECTLY paired with its trophic level?
A. fungus - detritivore
B. grasshopper - primary consumer
C. zooplankton - primary producer
D. cyanobacterium - primary producer
C
15) Which of the following has the greatest effect on the rate of chemical cycling in an ecosystem?
A. the production efficiency of the ecosystem's consumers
B. the trophic efficiency of the ecosystem
C. the rate of decomposition in the ecosystem
D. the ecosystem's rate of primary production
C
16) Matter is gained or lost in ecosystems. How does this occur?
A. Heterotrophs convert heat to energy
B. Photosynthetic organisms convert solar energy to sugars.
C. Chemoautotrophic organisms can convert matter to energy
D. Matter can be moved from one ecosystem to another.
D

17) Which habitat types in the figure above cover the largest area?
A. open ocean
B. wetlands plus the ocean neritic zone
C. tropical wet forest plus the ocean neritic zone
D. algal beds and reefs plus the ocean neritic zone
A

18) Which habitat type in the figure above makes available the most new tissue to consumers?
A. tropical wet forest
B. wetlands
C. open ocean
D. algal beds and reefs
C

19) Which category in the figure above makes available the highest productivity per square meter?
A. open ocean
B. tropical wet forest
C. algal beds and reefs
D. wetlands
C

20) Considering its total area covered, which ecosystem type represented in the figure above has a very low level of economic impact on Earth's ecosystem?
A.ocean neritic zone
B. tropical wet forest
C. tropical seasonal forest
D. rock, sand, and ice
D
21) Why is terrestrial productivity higher in equatorial climates?
A. Productivity increases with temperature
B. Productivity increases with available sunlight
C. Productivity increases with water availability
D. The answer is most likely a combination of the other responses
D

22) After looking at the experiment in the figure above, what can be said about productivity in marine ecosystems?
A. Nothing can be said based on this information
B. Productivity increases when chlorophyll a is added
C. Marine organisms break down iron for energy and thus for productivity.
D. Iron can be a limiting nutrient in productivity
D
23) During a year, plants never use 100% of the incoming solar radiation for photosynthesis. What is a reasonable explanation for this?
I. Plants cannot photosynthesize as well during winter (in cold winter climates)
II. Plants cannot photosynthesize as well on cloudy days
III. The pigments that drive photosynthesis respond to only a fraction of the wavelengths that are available
A. only I
B. only II
C. only III
D. I, II, and III
D
24) You own three hundred acres of patchy temperate forest. Which one of the following actions would increase the net primary productivity of the area the most?
A. relocating all of the deer found in the area
B. introducing one hundred rabbits into the area
C. adding fertilizer to the entire area
D. planting five hundred new trees
D
Abstract:
Increased radiative forcing is an inevitable part of global climate change, yet little is know of its potential effects on the energy fluxes in natural ecosystems. To stimulate the conditions of global warming, we exposed peat monoliths (depth, 0.6cm; surface area, 2.1m2) from a bog and fen in northern Minnesota, USA, to three infrared loading and three water table treatments, each replicated in three mesocosm plots. Net radiation and soil energy fluxes at the top, bottom, and sides of the mesocosms were measured in 1999, five years after the treatments had begun. Soil heat flux increased proportionately with IR loading, comprising about 3%-8% of Rn. In the fen, tje effect of IR loading on....
25)The Noormets et al. study (2004) shows that there was an ecosystem-specific control over soil energy fluxes, and this constrained the biotic-response to climate change. How do you think radiative heat would affect the water table in wetland versus a temperate forest?
A. The wetland would likely absorb less heat than the temperate forest and ,therefore, not significantly change water table depth.
B. Both areas would absorb similar amounts of radiative heat and, therefore, affect the water table equally.
C. The wetland would likely absorb more heat than the temperate forest and significantly change water table depth.
D. The temperate forest would likely absorb more heat than the wetland and significantly change water table depth.
C
Abstract:
Increased radiative forcing is an inevitable part of global climate change, yet little is know of its potential effects on the energy fluxes in natural ecosystems. To stimulate the conditions of global warming, we exposed peat monoliths (depth, 0.6cm; surface area, 2.1m2) from a bog and fen in northern Minnesota, USA, to three infrared loading and three water table treatments, each replicated in three mesocosm plots. Net radiation and soil energy fluxes at the top, bottom, and sides of the mesocosms were measured in 1999, five years after the treatments had begun. Soil heat flux increased proportionately with IR loading, comprising about 3%-8% of Rn. In the fen, tje effect of IR loading on....
26) Once heat is transferred to the soil, where does it go next?
I. The heat is emitted back to the atmosphere
II. The heat is transferred to other soil layers
III. The heat is stored in the soil
A. only I
B. only II
C. only III
D. I, II, and III
D
27) Suppose you are studying the nitrogen cycling in a pond ecosystem over the course of a month. While you are collecting data, a flock of one hundred Canada geese lands and spends the night during a fall migration. What could you do to eliminate error in your study as a result of this event?
A. Find out how much nitrogen is consumed in plant material by a Canada goose over about a twelve hour period, multiply this number by 100, and add that amount to the total nitrogen in the ecosystem.
B. Put a net over the pond so that no more migrating flocks can land on the pond and alter the nitrogen balance of the pond.
C.Find out how much nitrogen is eliminated by a Canada goose over about a twelve hour period, multiply this number by 100, and subtract that amount from the total nitrogen in the ecosystem.
D. Find out how much nitrogen is consumed and eliminated by a Canada goose over about a twelve hour period and multiply this number by 100;enter this +/- value into the nitrogen budget of the ecosystem.
D
28) As big as it is, the ocean is nutrient-limited. If you wanted to investigate this phenomenon, one reasonable approach would be to___
A. contrast nutrient uptake by autotrophs in marine locations that are different temperatures.
B. experimentally enrich some areas of the ocean and compare their productivity to that of untreated areas
C. compare nutrient concentrations between the photic zone and the benthic zone in various marine locations
D. observe Antartic Ocean productivity from year to year to see if it changes
B
29) If you applied a fungicide to a cornfield, what would you expect to happen to the rate of decomposition and net ecosystem production (NEP)?
A. Both decomposition rate and NEP would decrease.
B. Decomposition rate would increase and NEP would decrease
C. Both decomposition rate and NEP would increase
D. Decomposition rate would decrease and NEP would increase
D
30) Which of the following is a true statement regarding mineral nutrients in soils and their implication for primary productivity?
A. Adding a non-limiting nutrient will stimulate primary productivity
B. Phosphorous is sometimes unavailable to producers due to leaching
C. Alkaline soils are more productive than acidic soils
D. Globally, phosphorous availability is most limiting to primary productivity
B
31) Why is net primary production (NPP) a more useful measurement to an ecosystem ecologist than gross primary production (GPP)?
A. NPP can be expressed in energy/unit of area/unit of time
B. NPP represents the stored chemical energy that is available to consumers in the ecosystem
C. NPP shows the rate at which the standing crop is utilized by consumers
D. NPP can be expressed in terms of carbon fixed by photosynthesis for an entire ecosystem
B
32) How is net ecosystem production (NEP) typically estimated in ecosystems?
A. The annual total of incoming solar radiation per unit of area
B. the net flux of carbon dioxide or oxygen in or out of an ecosystem
C. the amount of heat energy released by the ecosystem
D. the rate of decomposition by detritivores
B
33) Which of the following ecosystems would likely have the largest net primary productivity per hectare and why?
A. grassland, because of the small standing crop biomass that results from consumption by herbivores and rapid decomposition
B. cave, due to the lack of photosynthetic autotrophs
C. open ocean, because of the total biomass of photosynthetic autotrophs
D. tundra, because of the incredibly rapid period of growth during the summer season
A
34) How is it that satellites can detect differences in primary productivity on Earth?
A. Satellite instruments can detect reflectance patterns of the photosynthetic organisms of different ecosystems
B. Satellites detect difference by measuring the amount of water vapor emitted by transpiring producers
C. Satellites compare the wavelengths of light captured and reflected by photoautotrophs in different ecosystems
D. Sensitive satellite instruments can measure the amount of NADPH (nicotinamide adenine dinucleotide phosphate) produced in the summative light reactions of different ecosystems
C
35) Which one of the following correctly ranks these organisms in order from lowest to highest percent to production efficiency?
A. insects, fish, mammals
B. mammals, fish, insects
C.fish, insects, mammals
D. mammals, insects, fish
B
36) Owls eat rats, mice, shrews, and small birds. Assume that, over a period of time, an owl consumes 5000 J of animal material. The owl loses 2300 J in feces and owl pellets and uses 2500 J for cellular respiration. What is the production efficiency of this owl?
A. 40%
B. 0.2%
C. 0.02%
D. 4%
D

37) After looking at the figure above, what can be said about productivity in this ecosystem?
A. Nothing can be said based on this information
B. Productivity increase with each trophic level
C. Between 80% and 90% of the energy is lost between most trophic levels
D. Between 10% and 20% of the energy is lost between most trophic levels
C
38) How does inefficient transfer of energy among trophic levels result in the typically high endangerment status of many top-level predators?
A. Predators have relatively large population sizes
B. Predators are more disease-prone than animals at lower trophic levels
C. Top-level predators are more likely to be stricken with parasites
D. Top-level predators are destined to have small populations that are sparsely distributed
D
39) Why does a vegetarian leave a smaller ecological footprint than an omnivore?
A. Eating meat is an inefficient way of acquiring photosynthetic productivity
B. Fewer animals are slaughtered for human consumption
C. Vegetarians need to ingest less chemical energy than omnivores
D. There is an excess of plant biomass in all terrestrial ecosystems
A
40) For most terrestrial ecosystems, pyramids composed of species abundances, biomass, and energy are similar in that they have a broad base and a narrow top. The primary reason for this pattern is that ___.
A. biomagnification of toxic materials limits the secondary consumers and top carnivores
B. top carnivores and secondary consumers have a more general diet than primary producers
C. at each step, energy is lost from the system
D. secondary consumers and top carnivores require less energy than producers
C
41) Which of the following is primarily responsible for limiting the number of trophic levels in most ecosystems?
A. Decomposers compete with higher-order consumers for nutrients and energy
B. Nutrient cycling rates tend to be limited by decomposition
C. Energy transfer between trophic levels is usually less than 20 percent efficient
D. Many primary and higher-order consumers are opportunistic feeders
C
42) Which trophic level is most vulnerable to extinction?
A. secondary consumer level
B. primary consumer level
C. tertiary consumer level
D. producer level
C
43) Which statement best describes what ultimately happens to the chemical energy that is not converted to new biomass in the process of energy transfer between trophic levels in an ecosystem?
A. it is used by organisms to maintain their life processes through the reactions of cellular respiration
B. Heat produced by cellular respiration is used by heterotrophs for thermoregulation
C. It is eliminated as feces or is dissipated into space as heat, consistent with the second law of thermodynamics
D. It is undigested and winds up in the feces and is not passed on to higher trophic levels
C
44) Consider the food chain of grass --> grasshopper-->mouse-->snake-->hawk. About how much chemical energy fixed by photosynthesis of the grass (100 percent) is available to the hawk?
A. 0.1%
B. 1%
C. 10%
D. 0.01%
D
45) If the flow of energy in an arctic ecosystem goes through a simple food chain, perhaps involving humans, starting from phytoplankton to zooplankton to fish to seals to polar bears, then which of the following could be true?
A. Polar bears can provide more food for humans than seals can
B. Seal populations are larger than fish populations
C. The total biomass of the fish is lower than that of the seals
D. Fish can potentially provide more food for humans than seal meat
D

46) If the figure above represents a terrestrial food web, the combined biomass of C+D would probably be ___.
A. less than the biomass of A+B
B. greater than the biomass of B
C. greater than the biomass of A
D. less than the biomass of E
A
47) A porcupine eats 3000 J of plant material. Of this, 2100 J is indigestible and is eliminated as feces, 800 J are used in cellular respiration, and 100 J are used for growth and reproduction. What is the approximate production efficiency of this animal?
A. 3%
B. 10%
C. 0.03%
D. 33%
A
48) What do researchers typically focus on when they study a particular biogeochemical cycle?
I. the nature and size of the reservoirs
II. the rate of element movement between reservoirs
III. interaction of the current cycle with other cycles
A. only I
B. only II
C. only III
D. only II and III
D

49) Based on the experiment in the figure above, which of the following are plausible reasons for the result?
I. No Nutrients evaporate now that vegetation is absent
II. Nutrients dissolve in the water running through the watershed
III. Nutrients are attached to small particles of sand or clay that leave the watershed
IV.Plant roots that held soll particles in place are no longer there
A. only I and III
B. only II and IV
C. only II,III, and IV
D. only I, II, and IV
C

50) Consider the global water cycle depicted in the figure above. Which one of the reserves contains the smallest percentage of global water?
A. rivers and lakes
B. glaciers
C. polar ice caps
D. atmosphere
D