Chapter 13 Exam 5 Flashcards


Set Details Share
created 10 years ago by Ashley_Nicodemus
Mastering Biology
updated 10 years ago by Ashley_Nicodemus
Subjects:
biology
show moreless
Page to share:
Embed this setcancel
COPY
code changes based on your size selection
Size:
X
Show:

1
card image

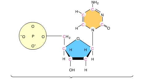
In the accompanying image, a nucleotide is indicated by the letter _____.

B

2

Which of these is a difference between a DNA and an RNA molecule?

DNA is usually double-stranded, whereas RNA is usually single-stranded.

3
card image

This is an image of a(n) _____.

nucleotide

4
card image

The letter A indicates a _____.

phosphate group

5
card image

A nitrogenous base is indicated by the letter _____.

C

6
card image

You can tell that this is an image of a DNA nucleotide and not an RNA nucleotide because you see a _____.

sugar with two, and not three, oxygen atoms

7

Which of these nitrogenous bases is found in DNA but not in RNA?

thymine

8
card image

Which of these is(are) pyrimidines?

C, D, and E

9

In a nucleotide, the nitrogenous base is attached to the sugar's _____ carbon and the phosphate group is attached to the sugar's _____ carbon.

1' ... 5'

10

Nucleic acids are assembled in the _____ direction.

5' to 3'

11

In a DNA double helix an adenine of one strand always pairs with a(n) _____ of the complementary strand, and a guanine of one strand always pairs with a(n) _____ of the complementary strand.

thymine ... cytosine

12

In a DNA double helix an adenine of one strand always pairs with a(n) _____ of the complementary strand, and a guanine of one strand always pairs with a(n) _____ of the complementary strand.

thymine ... cytosine

13
card image

This is an image of a _____.

phage

14

Who demonstrated that DNA is the genetic material of the T2 phage?

Hershey and Chase

15

The radioactive isotope 32P labels the T2 phage's _____.

DNA

16

Hershey and Chase used _____ to radioactively label the T2 phage's proteins.

35S

17

After allowing phages grown with bacteria in a medium that contained 32P and 35S, Hershey and Chase used a centrifuge to separate the phage ghosts from the infected cell. They then examined the infected cells and found that they contained _____, which demonstrated that _____ is the phage's genetic material.

labeled DNA ... DNA

18

In the 1950s, when Watson and Crick were working on their model of DNA, which concepts were well accepted by the scientific community?

Select all that apply.

- Chromosomes are found in the nucleus.

- Genes are located on chromosomes.

- Chromosomes are made up of protein and nucleic acid.

19

What are the chemical components of a DNA molecule?

Select all that apply.

- phosphate groups

- nitrogenous bases

- sugars

20

In the early 1950s, many researchers were racing to describe the structure of DNA using different approaches. Which of the following statements is true?

Jim Watson and Francis Crick built theoretical models, incorporating current knowledge about chemical bonding and X-ray data.

21

Early, flawed DNA models proposed by Watson and Crick and by Linus Pauling correctly described which property of DNA?

DNA is composed of sugars, phosphates, and bases.

22
card image

What did Rosalind Franklin’s famous photo 51 show?

DNA is a helix.

23

Erwin Chargaff observed that the proportions of adenine (A) and thymine (T) bases were always equal, as were the proportion of guanine (G) and cytosine (C). Chargaff’s observation suggests which of the following statements?

The data suggest that A would always pair with T and G would always pair with C in a DNA molecule.

24

What did the structure of DNA’s double helix suggest about DNA’s properties?

Select all that apply.

  • DNA can be replicated by making complementary copies of each strand.
  • DNA can change. Errors in copying can result in changes in the DNA sequence that could be inherited by future generations.
  • DNA stores genetic information in the sequence of its bases.

25
card image

Does the distribution of bases in sea urchin DNA and salmon DNA follow Chargaff’s rules?

Yes, because the %A approximately equals the %T and the %G approximately equals the %C in both species.

26
card image

What is the %T in wheat DNA?

Approximately 28%

27

If Chargaff’s equivalence rule is valid, then hypothetically we could extrapolate this to the combined genomes of all species on Earth (as if there were one huge Earth genome). In other words, the total amount of A in every genome on Earth should equal the total amount of T in every genome on Earth. Likewise, the total amount of G in every genome on Earth should equal the total amount of C in every genome on Earth.

Calculate the average percentage for each base in your completed table. Do Chargaff’s equivalence rules still hold true when you consider those six species together?

Yes, the average for A approximately equals the average for T, and the average for G approximately equals the average for C.

28

In a DNA double helix an adenine of one strand always pairs with a(n) _____ of the complementary strand, and a guanine of one strand always pairs with a(n) _____ of the complementary strand.

thymine ... cytosine

29

After DNA replication is completed, _____.

each new DNA double helix consists of one old DNA strand and one new DNA strand

30

The first step in the replication of DNA is catalyzed by _____.

helicase

31

The action of helicase creates _____.

replication forks and replication bubbles

32

Why is the new DNA strand complementary to the 3' to 5' strands assembled in short segments?

DNA polymerase can assemble DNA only in the 5' to 3' direction

33

The synthesis of a new strand begins with the synthesis of a(n) _____.

RNA primer complementary to a preexisting DNA strand

34

An old DNA strand is used as a _____ for the assembly of a new DNA strand.

template

35

Short segments of newly synthesized DNA are joined into a continuous strand by _____.

ligase

36

After DNA replication is completed, _____.

each new DNA double helix consists of one old DNA strand and one new DNA strand

37

The first step in the replication of DNA is catalyzed by _____.

helicase

38

The action of helicase creates _____

replication forks and replication bubbles

39

Why is the new DNA strand complementary to the 3' to 5' strands assembled in short segments?

DNA polymerase can assemble DNA only in the 5' to 3' direction

40

The synthesis of a new strand begins with the synthesis of a(n) _____.

RNA primer complementary to a preexisting DNA strand

41
card image

Which of these is responsible for catalyzing the formation of an RNA primer?

D

42

An old DNA strand is used as a _____ for the assembly of a new DNA strand.

template

43

Short segments of newly synthesized DNA are joined into a continuous strand by _____.

ligase

44

What catalyzes DNA synthesis?

DNA polymerase

45

Which of the following statements about DNA synthesis is true?

Primers are short sequences that allow the initiation of DNA synthesis.

46

Which part of a deoxynucleoside triphosphate (dNTP) molecule provides the energy for DNA synthesis?

Phosphate groups

47

Which of the following enzymes creates a primer for DNA polymerase?

Primase

48

Which of the following statements about Okazaki fragments in E. coli is true?

They are formed on the lagging strand of DNA

49

Which of the following enzymes is important for relieving the tension in a helix as it unwinds during DNA synthesis?

Topoisomerase

50

True or false? Single-stranded DNA molecules are said to be antiparallel when they are lined up next to each other but oriented in opposite directions.

True

51

Okazaki fragments

____________ are the short sections of DNA that are synthesized on the lagging strand of the replicating DNA.

52

After replication is complete, the new DNAs, called _____, are identical to each other.

daughter DNA

53

The enzyme that can replicate DNA is called ______.

DNA polymerase

54

The new DNA strand that grows continuously in the 5' to 3' direction is called the _____.

leading strand

55

During DNA replication, an open section of DNA, in which a DNA polymerase can replicate DNA, is called a________.

replication fork

56

In DNA replication in bacteria, the enzyme DNA polymerase III (abbreviated DNA pol III) adds nucleotides to a template strand of DNA. But DNA pol III cannot start a new strand from scratch. Instead, a primer must pair with the template strand, and DNA pol III then adds nucleotides to the primer, complementary to the template strand. Each of the four images below shows a strand of template DNA (dark blue) with an RNA primer (red) to which DNA pol III will add nucleotides.

In which image will adenine (A) be the next nucleotide to be added to the primer?

card image

57
card image

The letter A indicates _____.

a DNA double helix

58
card image

Where would RNA polymerase attach?

A

59
card image

The letter C indicates _____.

histones

60
card image

What is this an image of?

supercoils

61
card image

What is this an image of?

loops

62

For the first time, the U.S. Food and Drug Administration is considering whether to allow the sale of _____.

food from a genetically altered animal

63

The fish in the video have been genetically engineered to _____.

grow faster

64

The modified salmon were created by _____.

adding genetic material from a Pacific salmon and an eel-like fish

65

According to the producers of the genetically modified salmon, the meat _____.

looks and tastes the same as unmodified salmon

66

What concerns do some consumer groups have about genetically modified fish?

  • They want to prevent genetically modified fish from breeding with wild fish.
  • They want food from genetically modified fish to be clearly labeled as genetically modified.
  • They want more studies on the health effects that genetically modified fish may have on people who eat it.
  • all of the above

67

How does the company raising these fish claim to prevent the genetically modified fish from breeding with wild fish?

The genetically modified fish are sterile.

68
card image

In this example the marker DNA includes fragments that have 23,130, 9,416, 6,557, 4,361, 2,322, 2,027, and 564 base pairs. Approximately how many base pairs are in the DNA fragment indicated by the letter A?

6,557

69

In this example the marker DNA includes fragments that have 23,130, 9,416, 6,557, 4,361, 2,322, 2,027, and 564 base pairs. Approximately how many base pairs are in the DNA fragment indicated by the letter B?

between 6,557 and 4,361 base pairs

70

DNA fragment B consists of _____ base pairs.

1,405

71
card image

Which of these DNA molecules is the shortest?

E

72

In gel electrophoresis DNA molecules migrate from _____ to _____ ends of the gel.

negative ... positive

73

The unpaired nucleotides produced by the action of restriction enzymes are referred to as _____.

sticky ends

74
card image

The sticky end of the DNA restriction fragment shown here will pair with a DNA restriction fragment with the sticky end _____.

-ACGT

75

What information can not be obtained from the sequence of a gene?

Whether the gene is methylated.

76

What is the polymerase chain reaction (PCR)?

A method to amplify a fragment of DNA.

77

True or false? Comparison of the sequences of the same gene across species can give some insight into the existence of a common ancestor with that gene.

True

78

True or false? The Taq enzyme is a type of DNA polymerase that allows researchers to separate the DNA strands during the annealing step of the PCR cycle without destroying the polymerase.

False

79

How many DNA molecules would there be after four rounds of PCR if the initial reaction mixture contained two molecules?

32

80

During which step in the PCR cycle are nucleotides used?

Extension.

81

During which step in the PCR cycle do primers form bonds with a single-stranded template?

Annealing.

82
card image

To create a molecule of recombinant DNA, which of the following is cut with a restriction enzyme?

  • target DNA
  • starting DNA

83
card image

Which one of the following statements is correct?

If a restriction enzyme is combined with a piece of DNA that contains its restriction site, the result will be restriction fragments.

84
card image

Check each of the true statements about the proteins involved in cutting and pasting DNA. More than one statement may be true.

  • A particular restriction enzyme only cuts DNA at one very specific DNA sequence.
  • A restriction enzyme cuts DNA while DNA ligase pastes DNA.
  • DNA ligase pastes together segments of DNA with matching sticky ends.

85

In order to insert a human gene into a plasmid, both must _____

be cut by the same restriction enzyme

86

What enzyme forms covalent bonds between restriction fragments?

DNA ligase