Which of the following could qualify as a top-down control on a grassland community?
A.limitation of plant biomass by rainfall amount
B.influence of temperature on competition among plants
C.influence of soil nutrients on the abundance of grasses versus wildflowers
D.effect of grazing intensity by bison on plant species diversity
E.effect of humidity on plant growth rates
D. effect of grazing intensity by bison on plant species diversity
If the direction of Earth's rotation reversed, the most predictable effect would be
A.no more night and day.
B.a big change in the length of the year.
C.winds blowing from west to east along the equator.
D.a loss of seasonal variation at high latitudes.
E.the elimination of ocean currents.
C. winds blowing from west to east along the equator.
What would be the effect on climate in the temperate latitudes if Earth were to slow its rate of rotation from a 24-hour period of rotation to a 48-hour period of rotation?
A.Seasons would be longer and more distinct (colder winters and warmer summers).
B.There often would be a smaller range between daytime high and nighttime low temperatures.
C.Large-scale weather events such as tornadoes and hurricanes would no longer be a part of regional climates.
D.Winter seasons in both the northern and southern hemispheres would have more abundant and frequent precipitation events.
E.There often would be a larger range between daytime high and nighttime low temperatures.
E.There often would be a larger range between daytime high and nighttime low temperatures.
Which of the following events might you predict to occur if the tilt of Earth's axis relative to its plane of orbit was increased to 33 1/2 degrees?
A.Summers and winters in the United States would likely become warmer and colder, respectively.
B.Winters and summers in Australia would likely become less distinct seasons.
C.Seasonal variation at the equator might decrease.
D.Both northern and southern hemispheres would experience summer and winter at the same time.
E.Both poles would experience massive ice melts.
A. Summers and winters in the United States would likely become warmer and colder, respectively.
Which of the following examples of an ecological effect leading to an evolutionary effect is most correct?
A.When seeds are not plentiful, trees produce more seeds.
B.A few organisms of a larger population survive a drought and then these survivors emigrate to less arid environments.
C.A few individuals with denser fur survive the coldest days of an ice age, and the reproducing survivors of the ice age all have dense fur.
D.Fish that swim the fastest in running water catch the most prey and more easily escape predation.
E.The insects that spend the most time exposed to sunlight have the most mutations.
C. A few individuals with denser fur survive the coldest days of an ice age, and the reproducing survivors of the ice age all have dense fur.
Why is the climate drier on the leeward side of mountain ranges that are subjected to prevailing winds?
A.Deserts create dry conditions on the leeward side of mountain ranges.
B.The sun illuminates the leeward side of mountain ranges at a more direct angle, converting to heat energy, which evaporates most of the water present.
C.Pushed by the prevailing winds on the windward side, air is forced to rise, cool, condense, and drop its precipitation, leaving drier air to descend the leeward side.
D.Air masses pushed by the prevailing winds are stopped by mountain ranges and the moisture is used up in the stagnant air masses on the leeward side.
E.More organisms live on the sheltered, leeward side of mountain ranges where their utilization of water lowers the amount available when compared to the windward side.
C. Pushed by the prevailing winds on the windward side, air is forced to rise, cool, condense, and drop its precipitation, leaving drier air to descend the leeward side.
Consider two forests: one is an undisturbed old-growth forest, whereas the other has recently been logged. In which forest are species likely to experience exponential growth, and why?
A.Old growth, because the stable conditions would favor exponential growth of all species in the forest.
B.Old growth, because each of the species is well established and can produce many offspring.
C.Logged, because the disturbed forest affords more resources for increased specific populations to grow.
D.Logged, because the various populations are stimulated to a higher reproductive potential.
E.Exponential growth is equally probable in old-growth and logged forests.
C. Logged, because the disturbed forest affords more resources for increased specific populations to grow.
Which of the following pairs of reproductive strategies is consistent with energetic trade-off and reproductive success?
A.Pioneer species of plants produce many very small, highly airborne seeds, whereas large elephants that are very good parents produce many offspring.
B.Female rabbits that suffer high predation rates may produce several litters per breeding season, and coconuts produce few fruits, but most survive when they encounter proper growing conditions.
C.Species that have to broadcast to distant habitats tend to produce seeds with heavy protective seed coats, and animals that are caring parents produce fewer offspring with lower infant mortality.
D.Free-living insects lay thousands of eggs and provide no parental care, whereas flowers take good care of their seeds until they are ready to germinate.
E.Some mammals will not reproduce when environmental resources are low so they can survive until conditions get better, and plants that produce many small seeds are likely found in stable environments.
B. Female rabbits that suffer high predation rates may produce several litters per breeding season, and coconuts produce few fruits, but most survive when they encounter proper growing conditions.
Resource partitioning would be most likely to occur between
A.sympatric populations of a predator and its prey.
B.sympatric populations of species with similar ecological niches.
C.sympatric populations of a flowering plant and its specialized insect pollinator.
D.allopatric populations of the same animal species.
E.allopatric populations of species with similar ecological niches.
B. sympatric populations of species with similar ecological niches.
Imagine that a deep temperate zone lake did not "turn over" during the spring and fall seasons. Based on the physical and biological properties of limnetic ecosystems, what would be the difference from normal seasonal turnover?
A.The lake would be uniformly cold during the winter and summer.
B.The lake would fail to freeze over in winter.
C.An algal bloom would result every spring.
D.The lake would suffer a nutrient depletion in its surface layers.
E.The pH of the lake would become increasingly alkaline.
D. The lake would suffer a nutrient depletion in its surface layers.
Which of the following is the best natural example of uniform distribution?
A.bees collecting pollen in a wildflower meadow
B.snails in an intertidal zone at low tide
C.territorial songbirds in a mature forest during mating season
D.mushrooms growing on the floor of an old-growth forest
E.a cultivated cornfield in the Midwest
C. territorial songbirds in a mature forest during mating season
In areas of permafrost, stands of black spruce are frequently observed in the landscape, whereas other tree species are noticeably absent. Often these stands are referred to as "drunken forests" because many of the black spruce are displaced from their normal vertical alignment.
What might be the adaptive significance of these unusual forests growing the way they do in this marginal habitat?
A.Needles are adapted to withstand cold arctic temperatures.
B.Branches are adapted to absorb more CO2 with this displaced alignment.
C.Taproot formation is impossible, so trees developed shallow root beds and easily tilt.
D.Trees are tilted so that snow wont break them or tip them over.
E.Trees tip so that they do not compete with each other for sunlight.
C. Taproot formation is impossible, so trees developed shallow root beds and easily tilt.
Imagine some cosmic catastrophe jolts Earth so that its axis is perpendicular to the orbital plane between Earth and the sun. The most obvious effect of this change would be
A.the elimination of tides.
B.an increase in the length of night.
C.an increase in the length of a year.
D.a decrease in temperature at the equator.
E.the elimination of seasonal variation.
E. the elimination of seasonal variation.
Which of the following examples of an ecological effect leading to an evolutionary effect is most correct?
A.When seeds are not plentiful, trees produce more seeds.
B.A few organisms of a larger population survive a drought and then these survivors emigrate to less arid environments.
C.A few individuals with denser fur survive the coldest days of an ice age, and the reproducing survivors of the ice age all have dense fur.
D.Fish that swim the fastest in running water catch the most prey and more easily escape predation.
E.The insects that spend the most time exposed to sunlight have the most mutations.
C. A few individuals with denser fur survive the coldest days of an ice age, and the reproducing survivors of the ice age all have dense fur.
Elephants are not the most dominant species in African grasslands, yet they influence community structure. The grasslands contain scattered woody plants, but they are kept in check by the uprooting activities of the elephants. Take away the elephants, and the grasslands convert to forests or to shrublands. The newly growing forests support fewer species than the previous grasslands. Which of the following describes why elephants are the keystone species in this scenario?
A. Elephants exhibit a disproportionate influence on the structure of the community relative to their abundance.
B.Grazing animals depend upon the elephants to convert forests to grassland.
C.Elephants prevent drought in African grasslands.
D.Elephants are the biggest herbivore in this community.
E.Elephants help other populations survive by keeping out many of the large African predators.
A. Elephants exhibit a disproportionate influence on the structure of the community relative to their abundance.
How might an ecologist test whether a species is occupying all of its fundamental niche or only a portion of it?
A.Study the temperature range and humidity requirements of the species.
B.Observe if the niche size changes after the addition of nutritional resources to the habitat.
C.Observe if the niche size changes after the introduction of a similar non-native species.
D.Measure the change in reproductive success when the species is subjected to environmental stress.
E.Observe if the species expands its range after the removal of a competitor.
E. Observe if the species expands its range after the removal of a competitor.
The oak tree pathogen Phytophthora ramorum has migrated 800 km in 15 years. West Nile virus spread from New York State to 46 other states in 5 years. The difference in the rate of spread is probably related to
A.the lethality of each pathogen.
B.the mobility of their hosts.
C.the fact that viruses are very small.
D.innate resistance.
E.dormancy viability.
B. the mobility of their hosts.
Which of the following statements is consistent with the principle of competitive exclusion?
A.Bird species generally do not compete for nesting sites.
B.The random distribution of one competing species will have a positive impact on the population growth of the other competing species.
C.Two species with the same fundamental niche will exclude other competing species.
D.Even a slight reproductive advantage will eventually lead to the elimination of the less well adapted of two competing species.
E.Natural selection tends to increase competition between related species.
D. Even a slight reproductive advantage will eventually lead to the elimination of the less well adapted of two competing species.

According to the Shannon Diversity Index, which block would show the greatest diversity?
A.1
B.2
C.3
D.4
E.5
E. 5

In this experiment, Balanus was removed from the habitat shown on the left.
Which of the following statements is a valid conclusion of this experiment?
A.
Balanus can survive only in the lower intertidal zone because it is unable to resist desiccation.
B.
Balanus is inferior to Chthamalus in competing for space on rocks lower in the intertidal zone.
C.
The two species of barnacles do not compete with each other because they feed at different times of day.
D.
The removal of Balanus shows that the realized niche of Chthamalus is smaller than its fundamental niche.
E.
These two species of barnacle do not show competitive exclusion.
D. The removal of Balanus shows that the realized niche of Chthamalus is smaller than its fundamental niche.
As you study two closely related predatory insect species, the two-spot and the three-spot avenger beetles, you notice that each species seeks prey at dawn in areas without the other species. However, where their ranges overlap, the two-spot avenger beetle hunts at night and the three-spot hunts in the morning. When you bring them into the laboratory and isolate the two different species, you discover that the offspring of both species are found to be nocturnal. You have discovered an example of
A.mutualism.
B.character displacement.
C.Batesian mimicry.
D.facultative commensalism.
E.resource partitioning.
E. resource partitioning.
Which of the following studies would shed light on the mechanism of spread of H5N1 from Asia?
A. Perform cloacal or saliva smears of migrating waterfowl to monitor whether any infected birds show up in Alaska.
B.Test fecal samples for H5N1 in Asian waterfowl that live near domestic poultry farms in Asia.
C.Test for the presence of H5N1 in poultry used for human consumption worldwide.
D.Locate and destroy birds infected with H5N1 in Asian open-air poultry markets.
E.Keep domestic and wild fowl from interacting with each other to minimize the probability that wild fowl could get infected and migrate out of Asia.
A. Perform cloacal or saliva smears of migrating waterfowl to monitor whether any infected birds show up in Alaska.
Which of the following terms encompasses all of the others?
A.heterotrophs
B.herbivores
C.carnivores
D.primary consumers
E.secondary consumers
A. heterotrophs
Which of the following ecosystems would likely have a larger net primary productivity/hectare, and why?
A.open ocean because of the total biomass of photosynthetic autotrophs
B.a temperate grassland because of the small standing crop biomass that results from consumption by herbivores and rapid decomposition
C.tropical rain forest because of the high species diversity
D.cave due to the lack of photosynthetic autotrophs
E.tundra because of the incredibly rapid period of growth during the summer season
C. tropical rain forest because of the high species diversity
Why is net primary production (NPP) a more useful measurement to an ecosystem ecologist than gross primary production (GPP)?
A.NPP can be expressed in energy/unit of area/unit of time.
B.NPP can be expressed in terms of carbon fixed by photosynthesis for an entire ecosystem.
C.NPP represents the stored chemical energy that will be available to consumers in the ecosystem.
D.NPP is the same as the standing crop.
E.NPP shows the rate at which the standing crop is utilized by consumers.
C. NPP represents the stored chemical energy that will be available to consumers in the ecosystem.
If the sun were to suddenly stop providing energy to Earth, most ecosystems would vanish. Which of the following ecosystems would likely survive the longest after this hypothetical disaster?
A.tropical rain forest
B.tundra
C.deep-sea vent community
D.grassland
E.desert
C. deep-sea vent community
Which trophic level is most vulnerable to extinction?
A.producer level
B.primary consumer level
C.secondary consumer level
D.tertiary consumer level
E.decomposer level
D. tertiary consumer level
Why does a vegetarian leave a smaller ecological footprint than an omnivore?
A.Fewer animals are slaughtered for human consumption.
B.There is an excess of plant biomass in all terrestrial ecosystems.
C.Vegetarians need to ingest less chemical energy than omnivores.
D.Vegetarians require less protein than do omnivores.
E.Eating meat is an inefficient way of acquiring photosynthetic productivity.
E. Eating meat is an inefficient way of acquiring photosynthetic productivity.
Aquatic ecosystems are most likely to be limited by which of the following nutrients?
A.nitrogen
B.carbon
C.potassium
D.iron
E.zinc
B. carbon
Owls eat rats, mice, shrews, and small birds. Assume that, over a period of time, an owl consumes 5,000 J of animal material. The owl loses 2,300 J in feces and owl pellets and uses 2,600 J for cellular respiration. What is the production efficiency of this owl?
A.0.02%
B.1%
C.4%
D.10%
E.40%
C. 4%

Examine the food web for a particular terrestrial ecosystem in Figure 42.1. Species C is toxic to predators. Which species is most likely to benefit from being a mimic of C?
A.A
B.B
C.C
D.D
E.E
B. B
Which of the following is an example of an ecosystem?
A.all of the brook trout in a 500-square-hectare river drainage system
B.the plants, animals, and decomposers that inhabit an alpine meadow
C.a pond and all of the plant and animal species that live in it
D.the intricate interactions of the various plant and animal species on a savanna during a drought
E.all of the organisms and their physical environment in a tropical rain forest
E. all of the organisms and their physical environment in a tropical rain forest
1) How do the Taylor Glacier bacteria produce their energy?
A)
photosynthesis
B) heterotrophism
C) chemoautotrophism
D) thermophobism
E) chemosynthesis
C) chemoautotrophism
2) In ecosystems, why is the term cycling used to describe material
transfer, whereas the term flow is used for energy exchange?
A)
Materials are repeatedly used, but energy flows through and out of
ecosystems.
B) Both material and energy are recycled and are
then transferred to other ecosystems as in a flow.
C) Materials
are cycled into ecosystems from other ecosystems, but energy
constantly flows within the ecosystem.
D) Both material and
energy flow in a never-ending stream within an ecosystem.
E)
None of the choices is correct.
A) Materials are repeatedly used, but energy flows through and out of ecosystems.
29) How is it that satellites can detect differences in primary
productivity on Earth?
A) Photosynthetic organisms absorb more
visible light in the 350—750 wavelengths.
B) Satellite
instruments can detect reflectance patterns of the photosynthetic
organisms of different ecosystems.
C) Sensitive satellite
instruments can measure the amount of NADPH produced in the summative
light reactions of different ecosystems.
D) Satellites detect
differences by comparing the wavelengths of light captured and
reflected by photoautotrophs to the amount of light reaching different
ecosystems.
E) Satellites detect differences by measuring the
amount of water vapor emitted by transpiring producers.
D) Satellites detect differences by comparing the wavelengths of light captured and reflected by photoautotrophs to the amount of light reaching different ecosystems.
Which of the following solutions would require the greatest amount of base to be added to bring the solution to neutral pH?
A.gastric juice at pH 2
B.vinegar at pH 3
C.tomato juice at pH 4
D.black coffee at pH 5
E.household bleach at pH 12
A. gastric juice at pH 2
Equal volumes (5 mL) of vinegar from a freshly opened bottle are added to each of the following solutions. After complete mixing, which of the mixtures will have the highest pH?
A.100 mL of pure water
B.100 mL of freshly brewed coffee
C.100 mL of household cleanser containing 0.5 M ammonia
D.100 mL of freshly squeezed lemon juice
E.100 mL of tomato juice
C.100 mL of household cleanser containing 0.5 M ammonia
One idea to mitigate the effects of burning fossil fuels on atmospheric CO2 concentrations is to pipe liquid CO2 into the ocean at depths of 2,500 feet or greater. At the high pressures at such depths, CO2 is heavier than water. What potential effects might result from implementing such a scheme?
A. increased photosynthetic carbon fixation because of the increased dissolved carbon dioxide in the deep water
B. increased carbonate concentrations in the deep waters
C. increased growth of corals from a change in the carbonatebicarbonate equilibrium
D. no effect because carbon dioxide is not soluble in water
E. both increased acidity of the deep waters and changes in the growth of bottom-dwelling organisms with calcium carbonate shells
...

Refer to Figure 2.2 (first three rows of the periodic table). If life arose on a planet where carbon is absent, which element might fill the role of carbon?
A.boron
B.silicon
C.nitrogen
D.aluminum
E.phosphorus
B. silicon
Which bond or interaction would be difficult to disrupt when compounds are put into water?
A.covalent bond
B.hydrogen bond
C.van der Waals interaction
D.ionic bond
E.either covalent bond or ionic bond
...
Which of the following ionizes completely in solution and is considered to be a strong base (alkali)?
A.NaCl
B.HCl
C.NH3
D.H2CO3
E.NaOH
E. NaOH
Sulfur is in the same column of the periodic table as oxygen, but has electronegativity similar to carbon. Compared to water molecules, molecules of H2S will
A.ionize more readily.
B.have greater cohesion to other molecules of H2S.
C.have a greater tendency to form hydrogen bonds with each other.
D.have a higher capacity to absorb heat for the same change in temperature.
E.not form hydrogen bonds with each other.
...
In comparing covalent bonds and ionic bonds, which of the following would you expect?
A.An atom can form covalent bonds with multiple partner atoms, but only a single ionic bond with a single partner atom.
B.Covalent bonds and ionic bonds occupy opposite ends of a continuous spectrum, from nearly equal to completely unequal sharing of electrons.
C.Both involve electrical attraction between the electrons of one atom and the nucleus of the other atom.
D.Ionic interactions remain when covalent bonds are broken in water. Ionic bonds are much stronger than covalent bonds.
...
Which of the following takes place as an ice cube cools a drink?
A.Molecular collisions in the drink increase.
B.Kinetic energy in the drink decreases.
C.A calorie of heat energy is transferred from the ice to the water of the drink.
D.The specific heat of the water in the drink decreases.
E.Evaporation of the water in the drink increases.
B. Kinetic energy in the drink decreases.
About 25 of the 92 natural elements are known to be essential to
life. Which four of these 25 elements make up approximately 96% of
living matter?
A) carbon, sodium, hydrogen, nitrogen
B)
carbon, oxygen, phosphorus, hydrogen
C) oxygen, hydrogen,
calcium, nitrogen
D) carbon, hydrogen, nitrogen, oxygen
E)
carbon, oxygen, nitrogen, calcium
D) carbon, hydrogen, nitrogen, oxygen
Trace elements are those required by an organism in only minute
quantities. Which of the following is a trace element that is required
by humans and other vertebrates, but not by other organisms such as
bacteria or plants?
A) nitrogen
B) calcium
C) iodine
D) sodium
E) phosphorus
C) iodine
Which of the following statements is false?
A) Carbon,
hydrogen, oxygen, and nitrogen are the most abundant elements of
living matter.
B) Some trace elements are very abundant on
Earth.
C) Virtually all organisms require the same elements in
the same quantities.
D) Iron is an example of an element needed
by all organisms.
E) Other than some trace elements, animals are
mostly made up of the same elements as plants, in similar proportions.
C) Virtually all organisms require the same elements in the same quantities.
The complexity and variety of organic molecules is due to
A.the chemical versatility of carbon atoms.
B.the variety of rare elements in organic molecules.
C.the fact that they can be synthesized only in living organisms.
D.their interaction with water.
E.their tremendously large sizes.
A. the chemical versatility of carbon atoms.
DNAase is an enzyme that catalyzes the hydrolysis of the covalent bonds that join nucleotides together. What would first happen to DNA molecules treated with DNAase?
A.The two strands of the double helix would separate.
B.The phosphodiester bonds between deoxyribose sugars would be broken.
C.The purines would be separated from the deoxyribose sugars.
D.The pyrimidines would be separated from the deoxyribose sugars.
E.All bases would be separated from the deoxyribose sugars.
B.The phosphodiester bonds between deoxyribose sugars would be broken.

What is the structure shown in Figure 3.10?
A.pentose molecule
B.fatty acid molecule
C.steroid molecule
D.oligosaccharide molecule
E.phospholipid molecule
...
Why are hydrocarbons insoluble in water?
A.The majority of their bonds are polar covalent carbon-to-hydrogen linkages.
B.The majority of their bonds are nonpolar covalent carbon-to-hydrogen linkages.
C.They are hydrophilic.
D.They exhibit considerable molecular complexity and diversity.
E.They are lighter than water.
...
Which of the following polymers contain nitrogen?
A.starch
B.glycogen
C.cellulose
D.chitin
E.amylopectin
D. chitin
The difference between the sugar in DNA and the sugar in RNA is that the sugar in DNA
A.is a six-carbon sugar and the sugar in RNA is a five-carbon sugar.
B.can form a double-stranded molecule.
C.is an aldehyde sugar and the sugar in the RNA is a keto sugar.
D.is in the alpha configuration and the sugar in RNA is in the beta configuration.
E.contains one less oxygen atom.
...

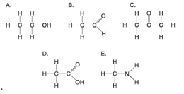
Which molecule shown in Figure 3.5 has a carbonyl functional group in the form of a ketone?
A.A
B.B
C.C
D.D
E.E
C. C

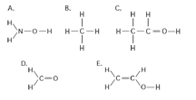
Which of the structures illustrated in Figure 3.3 is an impossible covalently bonded molecule?
A.A
B.B
C.C
D.D
E.E
C. C
A compound contains hydroxyl groups as its predominant functional group. Which of the following statements is true concerning this compound?
A.It lacks an asymmetric carbon, and it is probably a fat or lipid.
B.It should dissolve in water.
C.It should dissolve in a nonpolar solvent.
D.It won't form hydrogen bonds with water.
E.It is hydrophobic.
C. C
Which of these molecules is not formed by dehydration reactions?
A.fatty acids
B.disaccharides
C.DNA
D.protein
E.amylose
A. fatty acids
1) Humans and mice differ because
A) their cells have different
small organic molecules.
B) their cells make different types of
large biological molecules.
C) their cells make different types
of lipids.
D) their cells have some differences in the sequence
of nucleotides in their nucleic acids.
E) their cells make
different types of proteins.
D. their cells have some differences in the sequence of nucleotides in their nucleic acids.
6) Which of the following is not a polymer?
A) glucose
B)
starch
C) cellulose
D) chitin
E) DNA
A. Glucose
7) What is the chemical reaction mechanism by which cells make
polymers from monomers?
A) phosphodiester linkages
B)
hydrolysis
C) dehydration reactions
D) ionic bonding of
monomers
E) the formation of disulfide bridges between monomers
C. dehydration reactions

Which of the following best describes the relationship between the
atoms described below? [SEE IMAGE]
A) They are isomers.
B)
They are polymers.
C) They are isotopes.
D) They contain 1
and 3 protons, respectively.
E) They each contain 1 neutron.
C. they are isotopes
The precise weight of a mole of some pure elements like silicon (Si)
can vary slightly from the standard atomic mass, or even from sample
to sample. Why?
A) The element may undergo radioactive decay.
B) The element may react with itself and gain or lose subatomic
particles.
C) The atoms of the element form chemical bonds with
each other, and that changes the weight of the element.
D) The
element may have multiple stable isotopes, and the isotopic
composition may vary from sample to sample.
E) The amount of
energy absorbed by the element affects the mass of its electrons, and
thus the atomic mass can vary slightly.
D. The element may have multiple stable isotopes, and the isotopic composition may vary from sample to sample.
One difference between carbon-12 (12/6 C) is that carbon-14 (14/6 C)
has
A) two more protons than carbon-12.
B) two more
electrons than carbon-12.
C) two more neutrons than carbon-12.
D) two more protons and two more neutrons than carbon-12.
E) two more electrons and two more neutrons than carbon-12.
C) two more neutrons than carbon-12.
An atom has 6 electrons in its outer shell. How many unpaired
electrons does it have?
A) 0
B) 2
C) 4
D) 6
E) 2 or 4
B. 2
The atomic number of nitrogen is 7. Nitrogen-15 is heavier than
nitrogen-14 because the atomic nucleus of nitrogen-15 contains how
many neutrons?
A) 6
B) 7
C) 8
D) 12
E) 14
C. 8
The free energy for the oxidation of glucose to CO2 and water is -686 kcal/mol and the free energy for the reduction of NAD+ to NADH is +53 kcal/mol. Why are only two molecules of NADH formed during glycolysis when it appears that as many as a dozen could be formed?
A.Most of the free energy available from the oxidation of glucose is used in the production of ATP in glycolysis.
B.Glycolysis is a very inefficient reaction, with much of the energy of glucose released as heat.
C.Most of the free energy available from the oxidation of glucose remains in pyruvate, one of the products of glycolysis.
D.There is no CO2 or water produced as products of glycolysis.
E.Glycolysis consists of many enzymatic reactions, each of which extracts some energy from the glucose molecule
...
A molecule that is phosphorylated
A.has been reduced as a result of a redox reaction involving the loss of an inorganic phosphate.
B.has a decreased chemical reactivity; it is less likely to provide energy for cellular work.
C.has been oxidized as a result of a redox reaction involving the gain of an inorganic phosphate.
D.has an increased chemical potential energy; it is primed to do cellular work.
E.has less energy than before its phosphorylation and therefore less energy for cellular work.
D.has an increased chemical potential energy; it is primed to do cellular work.
In a mitochondrion, if the matrix ATP concentration is high, and the intermembrane space proton concentration is too low to generate sufficient proton-motive force, then
A.ATP synthase will increase the rate of ATP synthesis.
B.ATP synthase will stop working.
C.ATP synthase will hydrolyze ATP and pump protons into the intermembrane space.
D.ATP synthase will hydrolyze ATP and pump protons into the matrix.
C. ATP synthase will hydrolyze ATP and pump protons into the intermembrane space
In vertebrate animals, brown fat tissue's color is due to abundant blood vessels and capillaries. White fat tissue, on the other hand, is specialized for fat storage and contains relatively few blood vessels or capillaries. Brown fat cells have a specialized protein that dissipates the proton-motive force across the mitochondrial membranes. Which of the following might be the function of the brown fat tissue?
A.to increase the rate of oxidative phosphorylation from its few mitochondria
B.to allow the animals to regulate their metabolic rate when it is especially hot
C.to increase the production of ATP
D.to allow other membranes of the cell to perform mitochondrial functions
E.to regulate temperature by converting most of the energy from NADH oxidation to heat
E. to regulate temperature by converting most of the energy from NADH oxidation to heat
Which catabolic processes may have been used by cells on ancient Earth before free oxygen became available?
A.glycolysis and fermentation only
B.glycolysis and the citric acid cycle only
C.glycolysis, pyruvate oxidation, and the citric acid cycle
D.oxidative phosphorylation only
E.glycolysis, pyruvate oxidation, the citric acid cycle, and oxidative phosphorylation, using an electron acceptor other than oxygen
E. glycolysis, pyruvate oxidation, the citric acid cycle, and oxidative phosphorylation, using an electron acceptor other than oxygen
Which statement best supports the hypothesis that glycolysis is an ancient metabolic pathway that originated before the last universal common ancestor of life on Earth?
A.Glycolysis is widespread and is found in the domains Bacteria, Archaea, and Eukarya.
B.Glycolysis neither uses nor needs O2.
C.Glycolysis is found in all eukaryotic cells.
D.The enzymes of glycolysis are found in the cytosol rather than in a membrane-enclosed organelle.
E.Ancient prokaryotic cells, the most primitive of cells, made extensive use of glycolysis long before oxygen was present in Earth's atmosphere.
D.The enzymes of glycolysis are found in the cytosol rather than in a membrane-enclosed organelle.
Why is glycolysis considered to be one of the first metabolic pathways to have evolved?
A.It produces much less ATP than does oxidative phosphorylation.
B.It does not involve organelles or specialized structures, does not require oxygen, and is present in most organisms.
C.It is found in prokaryotic cells but not in eukaryotic cells.
D.It relies on chemiosmosis, which is a metabolic mechanism present only in the first cells' prokaryotic cells.
E.It requires the presence of membrane-enclosed cell organelles found only in eukaryotic cells.
B. It does not involve organelles or specialized structures, does not require oxygen, and is present in most organisms.
In the presence of oxygen, the three-carbon compound pyruvate can be catabolized in the citric acid cycle. First, however, the pyruvate (1) loses a carbon, which is given off as a molecule of CO2, (2) is oxidized to form a two-carbon compound called acetate, and (3) is bonded to coenzyme
A.How does the addition of coenzyme A, a sulfur-containing molecule derived from a B vitamin, function in the subsequent reaction?
A. It provides the sulfur needed for the molecule to enter the mitochondrion.
B. It utilizes this portion of a B vitamin, which would otherwise be a waste product from another pathway.
C. It provides a relatively unstable molecule whose acetyl portion can be readily transferred to a compound in the citric acid cycle.
D. It removes one molecule of CO2.
C. It provides a relatively unstable molecule whose acetyl portion can be readily transferred to a compound in the citric acid cycle.
In metabolic processes of cell respiration and photosynthesis, prosthetic groups such as heme and iron-sulfur complexes are encountered in components of the electron transport chain. What do they do?
A.donate electrons
B.act as reducing agents
C.act as oxidizing agents
D.transport protons within the mitochondria and chloroplasts
E.both oxidize and reduce during electron transport
E.both oxidize and reduce during electron transport
In metabolic processes of cell respiration and photosynthesis, prosthetic groups such as heme and iron-sulfur complexes are encountered in components of the electron transport chain. What do they do?
A.donate electrons
B.act as reducing agents
C.act as oxidizing agents
D.transport protons within the mitochondria and chloroplasts
E.both oxidize and reduce during electron transport
...
Halobacterium has a photosynthetic membrane that appears purple. Its photosynthetic action spectrum is the inverse of the action spectrum for green plants. (That is, the Halobacterium action spectrum has a peak where the green plant action spectrum has a trough.) What wavelengths of light do the Halobacterium photosynthetic pigments absorb?
A.red and yellow
B.blue, green, and red
C.green and yellow
D.red and green
E.blue and red
C.green and yellow
Some photosynthetic bacteria (e.g., purple sulfur bacteria) have only photosystem I, whereas others (e.g., cyanobacteria) have both photosystem I and photosystem II. Which of the following might this observation imply?
A.Photosystem II was selected against in some species.
B.Photosynthesis with only photosystem I is more ancestral.
C.Photosystem II may have evolved to be more photoprotective.
D.Linear electron flow is more primitive than cyclic flow of electrons.
E.Cyclic flow is more necessary than linear electron flow.
B.Photosynthesis with only photosystem I is more ancestral.
If photosynthesizing green algae are provided with CO2 containing heavy oxygen (18O), later analysis will show that all of the following molecules produced by the algae contain 18O except
A.3-phosphoglycerate.
B.glyceraldehyde 3-phosphate (G3P).
C.glucose.
D.ribulose bisphosphate (RuBP).
E.O2.
E.O2.
In any ecosystem, terrestrial or aquatic, which of the following are always necessary?
A.autotrophs and heterotrophs
B.producers and primary consumers
C.photosynthesizers
D.autotrophs
E.green plants
D.autotrophs
As a research scientist, you measure the amount of ATP and NADPH consumed by the Calvin cycle in 1 hour. You find 30,000 molecules of ATP consumed, but only 20,000 molecules of NADPH. Where did the extra ATP molecules come from?
A.photosystem II
B.photosystem I
C.cyclic electron flow
D.linear electron flow
E.chlorophyll
C. cyclic electron flow
Theodor W. Engelmann illuminated a filament of algae with light that passed through a prism, thus exposing different segments of algae to different wavelengths of light. He added aerobic bacteria and then noted in which areas the bacteria congregated. He noted that the largest groups were found in the areas illuminated by the red and blue light.
An outcome of this experiment was to help determine the relationship between
A.heterotrophic and autotrophic organisms.
B.wavelengths of light and the rate of aerobic respiration.
C.wavelengths of light and the amount of heat released.
D.wavelengths of light and the rate of photosynthesis.
E.the concentration of carbon dioxide and the rate of photosynthesis.
D.wavelengths of light and the rate of photosynthesis.
What would be the expected effect on plants if the atmospheric CO2 concentration was doubled?
A.All plants will experience increased rates of photosynthesis.
B.C3 plants will have faster growth; C4 plants will be minimally affected.
C.C4 plants will have faster growth; C3 plants will be minimally affected.
D.C3 plants will have faster growth; C4 plants will have slower growth.
E.Plant growth will not be affected because atmospheric CO2 concentrations are never limiting for plant growth.
B.C3 plants will have faster growth; C4 plants will be minimally affected.
To identify the molecule that accepts CO2, Calvin and Benson manipulated the carbon-fixation cycle by either cutting off CO2 or cutting off light from cultures of photosynthetic algae. They then measured the concentrations of various metabolites immediately following the manipulation. How would these experiments help identify the CO2 acceptor? Study Figure 8.2 to help you in determining the correct answer.
A.The CO2 acceptor concentration would decrease when either the CO2 or light is cut off.
B.The CO2 acceptor concentration would increase when either the CO2 or light is cut off.
C.The CO2 acceptor concentration would increase when the CO2 is cut off, but decrease when the light is cut off.
D.The CO2 acceptor concentration would decrease when the CO2 is cut off, but increase when the light is cut off.
E.The CO2 acceptor concentration would stay the same regardless of the CO2 or light.
C.The CO2 acceptor concentration would increase when the CO2 is cut off, but decrease when the light is cut off.
If there are 20 chromatids in a cell, how many centromeres are there?
A.10
B.20
C.30
D.40
E.80
...
Movement of the chromosomes during anaphase would be most affected by a drug that prevents
A.nuclear envelope breakdown.
B.cell wall formation.
C.elongation of microtubules.
D.shortening of microtubules.
E.formation of a cleavage furrow.
D.shortening of microtubules.
During which phase of mitosis do the chromatids become chromosomes?
A.telophase
B.anaphase
C.prophase
D.metaphase
E.cytokinesis
B.anaphase
Using which of the following techniques would enable your lab group to distinguish between a cell in G2 and a cell from the same organism in G1?
A.fluorescence microscopy
B.electron microscopy
C.spectrophotometry
D.radioactive-labeled nucleotides
E.labeled kinetochore proteins
D.radioactive-labeled nucleotides
You have the technology necessary to measure each of the following in a sample of animal cells: chlorophylls, organelle density, picograms of DNA, cell wall components, and enzymatic activity. Which would you expect to increase significantly from M to G1?
A.organelle density and enzymatic activity
B.cell wall components and DNA
C.chlorophyll and cell walls
D.organelle density and cell walls
E.chlorophyll and DNA
A.organelle density and enzymatic activity
Cells from advanced malignant tumors often have very abnormal chromosomes as well as an abnormal number of chromosomes. What might explain the association between malignant tumors and chromosomal abnormalities?
A.Cancer cells are no longer density dependent.
B.Cancer cells are no longer anchorage dependent.
C.Cell cycle checkpoints are not in place to stop cells with chromosome abnormalities.
D.Chromosomally abnormal cells still have normal metabolism.
E.Transformation introduces new chromosomes into cells.
C.Cell cycle checkpoints are not in place to stop cells with chromosome abnormalities.
Besides the ability of some cancer cells to overproliferate, what else could logically result in a tumor?
A.enhanced anchorage dependence
B.changes in the order of cell cycle stages
C.lack of appropriate cell death
D.inability to form spindles
E.inability of chromosomes to meet at the metaphase plate
C.lack of appropriate cell death
For a chemotherapeutic drug to be useful for treating cancer cells, which of the following is most desirable?
A.It is safe enough to limit all apoptosis.
B.It does not alter metabolically active cells.
C.It only attacks cells that are density dependent.
D.It interferes with cells entering G0.
E.It interferes with rapidly dividing cells.
E.It interferes with rapidly dividing cells.
Several organisms, primarily protists, have what are called
intermediate mitotic organization.
What is the most probable
hypothesis about these intermediate forms of cell division?
A.They represent a form of cell reproduction that must have evolved completely separately from those of other organisms.
B.They demonstrate that these species are not closely related to any of the other protists and may well be a different kingdom.
C.They rely on totally different proteins for the processes they undergo.
D.They may be more closely related to plant forms that also have unusual mitosis.
E.They show some but not all of the evolutionary steps toward complete mitosis.
D.They may be more closely related to plant forms that also have unusual mitosis.
Prior to cell division, prokaryotes must...
A.duplicate their chromosomes.
B.anchor the chromosome to the cell membrane.
C.increase the volume of the original cell.
D.know when the entire chromosome has been copied.
E.All of these must happen
E.All of these must happen
A given organism has 46 chromosomes in its karyotype. We can therefore conclude which of the following?
A.It must be human.
B.It must be a primate.
C.It must be an animal.
D.It must be sexually reproducing.
E.Its gametes must have 23 chromosomes.
E.Its gametes must have 23 chromosomes.
Experiments with cohesins have found that
A.cohesins are protected from destruction throughout meiosis I and II.
B.cohesins are cleaved from chromosomes at the centromere before anaphase I.
C.cohesins are protected from cleavage at the centromere during meiosis I.
D.a protein cleaves cohesins before metaphase I.
E.a protein that cleaves cohesins would cause cellular death.
C.cohesins are protected from cleavage at the centromere during meiosis I.
A triploid cell contains three sets of chromosomes. If a cell of a usually diploid species with 42 chromosomes per cell is triploid, this cell would be expected to have which of the following?
A.63 chromosomes in 31 1/2 pairs
B.63 chromosomes in 21 sets of 3
C.63 chromosomes, each with three chromatids
D.21 chromosome pairs and 21 unique chromosomes
B.63 chromosomes in 21 sets of 3
Independent assortment of chromosomes is a result of
A.the random and independent way in which each pair of homologous chromosomes lines up at the metaphase plate during meiosis I.
B.the random nature of the fertilization of ova by sperm.
C.the random distribution of the sister chromatids to the two daughter cells during anaphase II.
D.the relatively small degree of homology shared by the X and Y chromosomes.
E.the random and independent way in which each pair of homologous chromosomes lines up at the metaphase plate during meiosis I, the random nature of the fertilization of ova by sperm, the random distribution of the sister chromatids to the two daughter cells during anaphase II, and the relatively small degree of homology shared by the X and Y chromosomes.
A.the random and independent way in which each pair of homologous chromosomes lines up at the metaphase plate during meiosis I.
If a horticulturist breeding gardenias succeeds in having a single plant with a particularly desirable set of traits, which of the following would be her most probable and efficient route to establishing a line of such plants?
A.Backtrack through her previous experiments to obtain another plant with the same traits.
B.Breed this plant with another plant with much weaker traits.
C.Clone the plant asexually to produce an identical one.
D.Force the plant to self-pollinate to obtain an identical one.
E.Add nitrogen to the soil of the offspring of this plant so the desired traits continue.
C.Clone the plant asexually to produce an identical one.
The karyotype of one species of primate has 48 chromosomes. In a particular female, cell division goes awry and she produces one of her eggs with an extra chromosome (25). The most probable source of this error would be a mistake in which of the following?
A.mitosis in her ovary
B.metaphase I of one meiotic event
C.telophase II of one meiotic event
D.telophase I of one meiotic event
E.either anaphase I or II
E.either anaphase I or II
There is a group of invertebrate animals called rotifers, among which a particular group of species reproduces, as far as is known, only asexually. These rotifers, however, have survived a long evolutionary history without evidence of having been overcome by excessive mutations.
How is natural selection related to sexual reproduction as opposed to asexual reproduction?
A.Sexual reproduction results in many new gene combinations, some of which will lead to differential reproduction.
B.Sexual reproduction results in the most appropriate and healthiest balance of two sexes in a population.
C.Sexual reproduction results in the greatest number of new mutations.
D.Sexual reproduction allows the greatest number of offspring to be produced.
E.Sexual reproduction utilizes far less energy than asexual reproduction.
A.Sexual reproduction results in many new gene combinations, some of which will lead to differential reproduction.
Whether during mitosis or meiosis, sister chromatids are held together by proteins referred to as cohesins. Such molecules must have which of the following properties?
A.They must persist throughout the cell cycle.
B.They must be removed before meiosis can begin.
C.They must be removed before sister chromatids or homologous chromosomes can separate.
D.They must reattach to chromosomes during G1.
E.They must be intact for nuclear envelope re-formation.
C.They must be removed before sister chromatids or homologous chromosomes can separate.
Which of the following might result in a human zygote with 45 chromosomes?
A.an error in either egg or sperm meiotic anaphase
B.failure of the egg nucleus to be fertilized by the sperm
C.fertilization of a 23 chromosome human egg by a 22 chromosome sperm of a closely related species
D.an error in the alignment of chromosomes on the metaphase plate
E.lack of chiasmata in prophase I
A.an error in either egg or sperm meiotic anaphase
Which of the following provides an example of epistasis?
A.Recessive genotypes for each of two genes (aabb) result in an albino corn snake.
B.The allele b17 produces a dominant phenotype, although b1 through b16 do not.
C.In rabbits and many other mammals, one genotype (ee) prevents any fur color from developing.
D.In Drosophila (fruit flies), white eyes can be due to an X-linked gene or to a combination of other genes.
E.In cacti, there are several genes for the type of spines.
C.In rabbits and many other mammals, one genotype (ee) prevents any fur color from developing.
In the cross AaBbCc x AaBbCc, what is the probability of producing the genotype AABBCC?
A.1/4
B.1/8
C.1/16
D.1/32
E.1/64
E.1/64
One of two major forms of a human condition called neurofibromatosis (NF 1) is inherited as a dominant gene, although it may range from mildly to very severely expressed. If a young child is the first in her family to be diagnosed, which of the following is the best explanation?
A.The mother carries the gene but does not express it at all.
B.One of the parents has very mild expression of the gene.
C.The condition skipped a generation in the family.
D.The child has a different allele of the gene than the parents.
B.One of the parents has very mild expression of the gene.
Mendel's observation of the segregation of alleles in gamete formation has its basis in which of the following phases of cell division?
A.prophase I of meiosis
B.anaphase II of meiosis
C.metaphase I of meiosis
D.anaphase I of meiosis
E.anaphase of mitosis
D.anaphase I of meiosis
Why did Mendel continue some of his experiments to the F2 or F3 generation?
A.to obtain a larger number of offspring on which to base statistics
B.to observe whether or not a recessive trait would reappear
C.to observe whether or not the dominant trait would reappear
D.to distinguish which alleles were segregating
E.to be able to describe the frequency of recombination
B.to observe whether or not a recessive trait would reappear
The frequency of heterozygosity for the sickle-cell anemia allele is unusually high, presumably because this reduces the frequency of malaria. Such a relationship is related to which of the following?
A.Mendel's law of independent assortment
B.Mendel's law of segregation
C.Darwin's explanation of natural selection
D.Darwin's observations of competition
E.the malarial parasite changing the allele
C.Darwin's explanation of natural selection
In cattle, roan coat color (mixed red and white hairs) occurs in the heterozygous (Rr) offspring of red (RR) and white (rr) homozygotes. Which of the following crosses would produce offspring in the ratio of 1 red:2 roan:1 white?
A.red X white
B.roan X roan
C.white X roan
D.red X roan
E.The answer cannot be determined from the information provided.
B.roan X roan
How many unique gametes could be produced through independent assortment by an individual with the genotype AaBbCCDdEE?
A.4
B.8
C.16
D.32
E.64
B. 8
Mendel's second law of independent assortment has its basis in which of the following events of meiosis I?
A.synapsis of homologous chromosomes
B.crossing over
C.alignment of tetrads at the equator
D.separation of homologs at anaphase
E.separation of cells at telophase
C.alignment of tetrads at the equator
10. The fact that all seven of the pea plant traits studied by Mendel obeyed the principle of independent assortment most probably indicates which of the following?
A.None of the traits obeyed the law of segregation.
B.The diploid number of chromosomes in the pea plants was 7.
C.All of the genes controlling the traits were located on the same chromosome.
D.All of the genes controlling the traits behaved as if they were on different chromosomes.
E.The formation of gametes in plants occurs by mitosis only.
D.All of the genes controlling the traits behaved as if they were on different chromosomes.
Tallness (T) in snapdragons is dominant to dwarfness (t), while red
(R) flower color is dominant to white (r). The heterozygous condition
results in pink (Rr) flower color.
57) A dwarf, red snapdragon is crossed with a plant homozygous
for tallness and white flowers. What are the genotype and phenotype of
the F1 individuals?
A) ttRr—dwarf and pink
B) ttrr—dwarf
and white
C) TtRr—tall and red
D) TtRr—tall and pink
E) TTRR—tall and red
D) TtRr—tall and pink
21) Which of the following calculations require that you utilize the
addition rule?
A) Calculate the probability of black offspring
from the cross AaBb × AaBb, when B is the symbol for black.
B)
Calculate the probability of children with both cystic fibrosis and
polydactyly when parents are each heterozygous for both genes.
C) Calculate the probability of each of four children having
cystic fibrosis if the parents are both heterozygous.
D)
Calculate the probability of a child having either sickle-cell anemia
or cystic fibrosis if parents are each heterozygous for both.
E)
Calculate the probability of purple flower color in a plot of 50
plants seeded from a self-fertilizing heterozygous parent plant.
D) Calculate the probability of a child having either sickle-cell anemia or cystic fibrosis if parents are each heterozygous for both.
Tallness (T) in snapdragons is dominant to dwarfness (t), while red
(R) flower color is dominant to white (r). The heterozygous condition
results in pink (Rr) flower color.
58) If snapdragons are heterozygous for height as well as for
flower color, a mating between them will result in what ratio?
A) 9:3:3:1
B) 6:3:3:2:1:1
C) 1:2:1
D)
27:9:9:9:3:3:3:1
E) 9:4:3
B) 6:3:3:2:1:1
The image below indicates an experimental set-up before it reaches equilibrium. After allowing the solutions to reach equilibrium, what should you expect to see? (The membrane is permeable only to water).
a. The water level on side A will be higher
b. DNA concentration will be higher on side B
c. The concentration of DNA on both sides of the membrane will be equal
d. The water level on side B will be higher
c. The concentration of DNA on both sides of the membrane will be equal