Fundamentals of General, Organic, and Biological Chemistry: Chapter 17 Flashcards


Set Details Share
created 10 years ago by JuliusSneezer
updated 10 years ago by JuliusSneezer
Subjects:
education, teaching methods & materials, science & technology, science, chemistry
show moreless
Page to share:
Embed this setcancel
COPY
code changes based on your size selection
Size:
X
Show:

1
card image

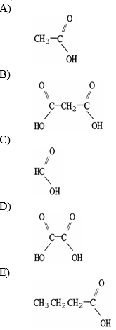
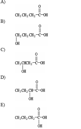
1) Which molecule is a carboxylic acid?

Answer: D

2

2) Which functional group contains a carbonyl group and a hydroxyl group bonded to the same carbon atom?

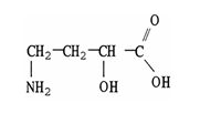
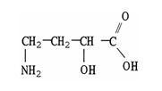
A) aldehyde

B) amide

C) carboxylic acid

D) ester

E) ketone

Answer: C

3

3) Which functional group contains a carbonyl group and an ether linkage bonded to the same carbon atom?

A) aldehyde

B) amide

C) carboxylic acid

D) ester

E) ketone

Answer: D

4
card image

4) Which molecule is an ester?

Answer: C

5
card image

5) Which molecule is an amide?

Answer: B

6

6) The similarities in properties of carboxylic acids, esters, and amides can best be explained by

A) their polarity and structural similarities.

B) their similarities in molar mass.

C) hydrogen bonding.

D) the ease with which they form ions.

E) none of these.

Answer: A

7

7) The most common reactions of carboxylic acids or their derivatives involve

A) addition across the double bond between carbon and oxygen.

B) replacement of the oxygen atom in the carbonyl group.

C) replacement of the group bonded to the carbonyl atom.

D) oxidation of the R group.

E) reduction of the R group.

Answer: C

8
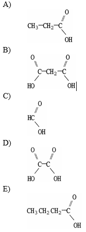
card image

8) Which molecule shown is β-hydroxy butyric acid?

Answer: C

9
card image

9) Which molecule is formic acid?

Answer: C

10

10) All of the statements concerning citric acid are true except

A) it contains three carboxylic acid groups because its carbon skeleton is branched.

B) it is very soluble in water.

C) its salts are used in many consumer products.

D) it is produced only by plants.

E) it is a weak acid.

Answer: D

11

11) Which of the following bonds is not present in a carboxylic acid functional group?

A) C=C

B) C=O

C) C-O

D) O-H

E) none of the above

Answer: A

12

12) The pleasant, characteristic odor of fruit flavorings is often associated with the presence of

A) esters

B) carboxylic acids

C) carboxylate salts

D) ketones

Answer: A

13

13) Which compound is a carboxylic acid?

A) CH3COO-K+

B) CH3COOH

C) (CH3)2CHOOCH3

D) (CH3CO)2O

E) (CH3)2O

Answer: B

14

14) All of the statements about carboxylic acids are true except

A) they undergo substitution reactions involving the -OH group.

B) at low molecular weights they are liquids with sharp stinging odors.

C) they form hydrogen bonds, causing their boiling points to be higher than expected on the basis of molecular weight.

D) they react with bases to form salts which are often more soluble than the original acid.

E) when they behave as acids, the -OH group is lost leaving the CO-

Answer: E

15

15) Which acid would be expected to have the lowest boiling point?

A) acetic, CH3CO2H

B) benzoic, C6H5CO2H

C) formic, HCO2H

D) oxalic, (CO2H)2

E) stearic, CH3(CH2)16CO2H

Answer: C

16

16) Which acid would be expected to have the highest boiling point?

A) acetic, CH3CO2H

B) benzoic, C6H5CO2H

C) formic, HCO2H

D) oxalic, (CO2H)2

E) stearic, CH3(CH2)16 CO2H

Answer: E

17

17) Which of the following has the highest boiling point?

A) ethane, CH3CH3

B) dimethyl ketone, CH3COCH3

C) ethyl alcohol, CH3CH2OH

D) acetic acid, CH3COOH

E) formaldehyde, HCHO

Answer: D

18
card image

18) What is the IUPAC name of the compound shown?

A) 1-butanoic acid

B) 4-butanoic acid

C) 1-butenoic acid

D) 3-butenoic acid

E) none of the above

Answer: D

19
card image

19) What is the IUPAC name of the compound shown?

A) 3-hexanoic acid

B) 2-ethyl pentanoate

C) 2-ethylpentanoic acid

D) 3-heptanoic acid

E) 4-heptanoic acid

Answer: C

20
card image

20) What is the common name of the molecule shown?

A) γ-amino-α-hydroxybutyric acid

B) 4-amino-2-hydroxybutanoic acid

C) α-amino-γ-hydroxybutyric acid

D) 1-amino-3-hydroxybutanoic acid

E) none of these

Answer: A

21
card image

21) What is the IUPAC name of the molecule shown?

A) γ-amino-α-hydroxybutyric acid

B) 4-amino-2-hydroxybutanoic acid

C) α-amino-γ-hydroxybutyric acid

D) 1-amino-3-hydroxybutanoic acid

E) none of these

Answer: B

22
card image

22) What is the IUPAC name of the molecule shown?

A) ethyl butanoate

B) butyl ethanoate

C) acetyl butyrate

D) butyl acetate

E) 2-hexanoic ester

Answer: A

23
card image

23) What is the common name of the molecule shown?

A) ethyl butanoate

B) butyl ethanoate

C) ethyl butyrate

D) butyl acetate

E) 2-hexanoic ester

Answer: C

24
card image

24) What is the IUPAC name of the molecule shown?

A) diethanoic acid

B) ethanedioc

C) dibutanoic acid

D) butanedioic acid

E) pentanedioic acid

Answer: D

25

25) An acyl group is a group in which
A) an amine and a carbonyl are bonded to the same carbon atom.
B) a hydroxyl and an alkene are bonded to the same carbon atom.
C) an alpha carbon is bonded to an alkyl group.
D) an alkyl group is bonded to a carbonyl carbon atom.
E) an acidic group is bonded to an aromatic group.

Answer: D

26
card image

26) When common names are used for acids, the underlined carbon atom in the molecule shown would be designated as the ________ C atom.

A) alpha

B) beta

C) gamma

D) #1

E) #2

Answer: B

27
card image

27) Which molecule is acetic acid?

Answer: A

28
card image

28) Which molecule is oxalic acid?

Answer: D

29
card image

29) What is the common name of the molecule shown?

A) acetic acid

B) butyric acid

C) formic acid

D) lactic acid

E) oxalic acid

Answer: B

30

30) Which acid would be expected to have the lowest boiling point?

A) acetic

B) benzoic

C) formic

D) oxalic

E) stearic

Answer: C

31

31) Which acid would be expected to have the highest boiling point?

A) acetic

B) benzoic

C) formic

D) oxalic

E) stearic

Answer: E

32

32) What is the IUPAC name of the compound shown?

CH3CH2COOCH3

A) 2-butanoic acid

B) 3-butanoic acid

C) methyl ethanoate

D) propyl methanoate

E) methyl propanoate

Answer: E

33
card image

33) What is the IUPAC name of the compound shown?

A) 2-methyl propanamide

B) N-methyl propanamide

C) 2-methyl butanamide

D) 3-methyl butanamide

E) N-methyl butanamide

Answer: D

34

34) An alpha hydroxy carboxylic acid has an additional -OH group attached to the molecule at which location?

A) the carbonyl carbon atom

B) the #2 carbon atom

C) the carbon atom farthest from the carboxyl group

D) the carbon atom that contains the amine group

E) none of the above

Answer: B

35
card image

35) What is the IUPAC name of the compound shown?

A) 1-methylpropanamide

B) N-methylpropanamide

C) N-butylethanamide

D) N-methylbutanamide

E) N-butylformamide

Answer: D

36

36) Carboxylic acids generally taste ________.

A) sour

B) sweet

C) bitter

D) salty

E) spicy

Answer: A

37
card image

72) This compound is

A) an anhydride only.

B) an ester only.

C) both an ester and an anhydride.

D) neither an ester nor an anhydride.

E) phosphoric acid.

Answer: C

38

38) The solubility of compounds containing the carboxylic acid group can be increased by reaction with

A) sulfuric acid.

B) nitric acid.

C) sodium hydroxide.

D) water.

E) benzoic acid.

Answer: C

39

39) Which equation correctly represents the dissociation of a carboxylic acid in water?
A) CH3COOH + H2O CH3CHCOOH2+ + OH-
B) CH3COOH CH3COO- + H+
C) CH3COOH + H2O CH3COO- + H3O+
D) CH3COOH + H3O+ CH3COOH2+ + H2O
E) CH3COOH + 2 H2O CH3COO2- + 2 H3O+

Answer: C

40

40) The ion formed from a carboxylic acid is called the

A) carboxylate anion.

B) carboxylate cation.

C) ester anion.

D) ester cation.

E) amide cation

Answer: A

41
card image

41) Which formula correctly illustrates the form which acetic acid would take in a basic solution?

Answer: D

42

42) Reaction of a carboxylic acid with a base like sodium hydroxide, NaOH gives ________

A) a carboxylate salt.

B) an alkoxide salt.

C) an ester.

D) an alcohol.

E) none of the above.

Answer: A

43

43) Which of the following conditions would favor the carboxylate ion form of a carboxylic acid?

A) low pH

B) high pH

C) both A and B

D) neither A nor B

Answer: B

44

44) Which of these compounds is the most soluble in water?

A) CH3CH2CH2CH2CH2COOH

B) CH3CH2CH2CH2CH2COO-Na+

C) CH3CH2CH2CH2CH2OH

D) CH3CH2CH2CH2CH2CH3

E) CH3CH2OCH2CH2CH3

Answer: B

45

45) In the production of an ester, the carboxylic acid loses which atom or group of atoms?

A) oxygen from the C=O

B) H from the OH group

C) the OH group

D) the entire COOH group

E) oxygen from the OH

Answer: C

46

46) When an alcohol reacts with a carboxylic acid the major product is

A) an amide.

B) an amine.

C) an ester.

D) a salt.

E) a soap.

Answer: C

47

47) Reaction of butanoic acid with ethanol produces

A) butyl ethanoate.

B) ethyl butanoate.

C) butyl ethanamide.

D) ethyl butanamide.

E) butyl ethyl ester.

Answer: B

48
card image

48) Which carboxylic acid is used to prepare the ester shown?

Answer: D

49
card image

49) What is the major organic product of the reaction shown?

Answer: B

50

50) When an amine reacts with a carboxylic acid at high temperature the major product is

A) an ester.

B) an amide.

C) a thiol.

D) an ether.

E) an alcohol.

Answer: B

51

51) The common chemical name of aspirin is

A) acetamide.

B) acetylsalicylic acid.

C) phenylalanyl aspartic acid.

D) acetaminophen.

E) lidocaine.

Answer: B

52

52) The reactants needed to produce simple polyamides (nylons) are

A) diacids and dialcohols.

B) diacids and diamines

C) diamines and dialcohols.

D) alkenes and catalysts.

E) diacids and phosphates.

Answer: B

53

53) The reactants needed to produce simple polyesters are

A) diacids and dialcohols.

B) diacids and diamines

C) diamines and dialcohols.

D) alkenes and catalysts.

E) diacids and phosphates

Answer: A

54
card image

54) The functional groups in the aspirin molecule shown are

A) aromatic, carboxylic acid.

B) aromatic, ester.

C) carboxylic acid, ester.

D) aromatic, carboxylic acid, ester.

E) amide, aromatic, carboxylic acid.

Answer: D

55

55) The products of acid hydrolysis of an ester are

A) another ester + water.

B) alcohol + acid.

C) alcohol + water.

D) acid + water.

E) salt + water.

Answer: B

56

56) The products of basic hydrolysis of an ester are

A) another ester + water.

B) alcohol + acid.

C) alcohol + water.

D) acid + water.

E) carboxylate salt + alcohol.

Answer: E

57
card image

57) What are the major organic products of the reaction shown?

A) CH3CH2CH2COOH + HOCH2CH3

B) CH3CH2CH2COO- + +H2OCH2CH3

C) CH3COOH + HOCH2CH2CH2CH3

D) CH3CH2CH2CH2OH + CH3CH2OH

E) CH3CH2CH2COOH + CH3COOH

Answer: A

58

58) Reaction of an ester with a strong base is called

A) reverse esterification.

B) esterification.

C) saponification.

D) oxidation.

E) condensation.

Answer: C

59

59) Hydrolysis of the ester ethyl acetate produces

A) ethanol and acetic acid.

B) butanol.

C) butanal and ethanol.

D) ethanal and acetic acid.

E) butanoic acid.

Answer: A

60

60) The potassium or sodium salt of a long chain carboxylic acid is called a

A) soap.

B) triglyceride.

C) ester.

D) emollient.

E) none of the above

Answer: A

61

61) When an amide is hydrolyzed under acidic conditions, the products are

A) an amine and a carboxylic acid.

B) an amine and a carboxylate ion.

C) an ammonium ion and a carboxylate ion.

D) an ammonium ion and a carboxylic acid.

E) There is no reaction.

Answer: D

62

62) The amide produced from pentanoic acid and ammonia is

A) N-pentanamide.

B) N-methylpentanamide.

C) pentanoicamide.

D) pentanamide.

Answer: D

63

63) When an amide is hydrolyzed under basic conditions, the products are

A) an amine and a carboxylic acid.

B) an amine and a carboxylate ion.

C) an ammonium ion and a carboxylate ion.

D) an ammonium ion and a carboxylic acid.

E) There is no reaction.

Answer: B

64

64) Hydrolysis of a carboxylic acid ester using base is called ________.

A) saponification

B) decarboxylation

C) detoxification

D) alcoholysis

E) extraction.

Answer: A

65
card image

65) Which of the following might be obtained as one of the products in this reaction?

Answer: B

66
card image

66) What are the products of this reaction?

Answer: D

67

67) The two monomers used to make Dacron polyester fabric are

A) ethylene glycol and mylar.

B) terephthalic acid and mylar.

C) propylene glycol and mylar.

D) ethylene glycol and terephthalic acid.

E) none of the above

Answer: D

68

68) Nylons and proteins are both referred to as polyamides because

A) each reactant molecule contains an amide group.

B) they are produced by reaction between an amide and an ester.

C) they are formed when an acid reacts with ammonia.

D) they are produced by basic hydrolysis of an amine.

E) they are formed when an acid functional group reacts with an amine functional group.

Answer: E

69

69) One requirement for the reactants in the formation of polyester is that each molecule contain

A) at least one carbon-carbon double bond.

B) one aromatic ring.

C) at least two functional groups that can form ester linkages.

D) an amine group somewhere on the carbon skeleton.

E) none of these

Answer: C

70

70) When an alcohol reacts with phosphoric acid, the product is referred to as a

A) phosphate salt.

B) phosphate ester.

C) phosphate anion.

D) pyrophosphate.

E) none of the above

Answer: B

71

71) Phosphate esters are prepared from

A) phosphoric acid + alcohol.

B) phosphoric acid + ester.

C) phosphoric acid + carboxylic acid.

D) phosphate + ester.

E) phosphate + alcohol.

Answer: A