Chapter 16 Flashcards


Set Details Share
created 10 years ago by JuliusSneezer
updated 10 years ago by JuliusSneezer
Subjects:
chemistry
show moreless
Page to share:
Embed this setcancel
COPY
code changes based on your size selection
Size:
X
Show:

1

1) Which type of compound does not contain a carbonyl group?

A) ketone

B) aldehyde

C) amine

D) ester

E) carboxylic acid

C

2

2) Which functional group contains a carbonyl group and a hydroxyl group bonded to the same carbon atom?

A) ester

B) amide

C) ketone

D) aldehyde

E) carboxylic acid

E

3

3) Which functional group contains a carbonyl group and an ether linkage bonded to the same carbon atom?

A) amide

B) ketone

C) carboxylic acid

D) ester

E) aldehyde

D

4

4) One of the major differences between aldehydes and ketones as compared to other carbonyl compounds is that in aldehydes and ketones

A) the carbonyl carbon has bond angles of 120°C, unlike the comparable bond angles in other carbonyl compounds. B) the polar carbon-oxygen bond is less reactive than the hydrocarbon portion of the molecule.

C) the molar masses tend to be much smaller than in the other types of compounds.

D) the carbonyl group carbon atom is bonded to atoms that do not attract electrons strongly.

E) none of the above

D

5

5) The carbonyl group is

A) found only in aldehydes and ketones.

B) produced by reduction reactions of primary or secondary alcohols.

C) a functional group in which carbon and oxygen are joined by a double bond.

D) a general term for any functional group involving a carbon-oxygen bond.

E) a functional group with a 6-membered ring where at least one atom is oxygen

C

6

6) All of the statements concerning the carbonyl group in aldehydes and ketones are true except

A) The bond is polar, with a slight negative charge on the oxygen atom.

B) The bond angles about the central carbon atom are 120°.

C) Because the bond is polar, carbonyl groups readily form hydrogen bonds with each other.

D) In condensed form the carbonyl group can be written as -CHO.

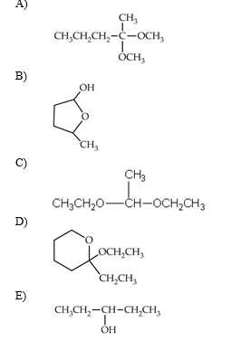
E) The carbonyl group is planar.

C

7
card image

7) Which molecule is formaldehyde?

A

8
card image

8) Which molecule is 2-butanone?

C

9
card image

9) Which molecule is propanal?

E

10
card image

10) Which molecule is acetone?

D

11
card image

11) Which is the correct systematic name for the molecule shown?

A) ethyl methyl acetone

B) methyl propyl ketone

C) 4-hexanone

D) propyl methyl ketone

E) 3-hexanone

E

12
card image

12) Which molecule is a ketone?

A

13
card image

13) Which molecule is an aldehyde?

D

14

14) The IUPAC name for acetone is

A) 2-propanone.

B) dimethyl ketone.

C) 1-propanone.

D) 3-propanal.

E) 2-propanal.

A

15

15) The IUPAC name for dimethyl ketone is

A) 3-propanal.

B) 2-propanone.

C) acetone.

D) 1-propanone.

E) 2-propanal.

B

16

16) The correct name for CH3-CH(CH3)-CH2-CHO is

A) 3-methyl-1-butanone.

B) 2-methylbutanal.

C) 3-methylbutanal.

D) isopentanal.

E) 3-methyl-1-butanal.

C

17

17) The correct name for

CH3-CH(CH3)-CH2-CO-CH3 is

A) isobutyl acetone.

B) 2-methyl-4-butanone.

C) 4-methyl-2-butanone.

D) 4-methyl-2-pentanone.

E) 2-methyl-4-pentanone.

D

18
card image

18) What is the IUPAC name of the compound shown?

A) 4-heptanone

B) 2-methyl-3-hexanone

C) 3-heptanone

D) isopropyl n-propyl ketone

E) 4-methyl-5-hexanone

B

19
card image

19) What is the IUPAC name of the compound shown?

A) isopentanal

B) 2-methyl-4-butanone

C) 2-methyl-1-butanone

D) 2-methylbutanal

E) 3-methylbutanal

E

20

20) Which of the following names does not fit a real compound?

A) 3-octanone

B) 2-butanone

C) 3-methyl-3-pentanone

D) all are correct

E) 3-methyl-1-pentanone

E

21

21) Which of the following names does not fit a real compound?

A) 3-ethylpentanal

B) 4-methylpentanal

C) all are correct

D) ethanal

E) 3-methyl-2-pentanal

E

22

22) Which of the following is not a property of aldehydes and ketones?

A) They cannot form hydrogen bonds with water because they have no hydrogen atoms bonded to oxygen.

B) Most have distinctive odors.

C) They have higher boiling points than alkanes of similar molar mass.

D) They are polar.

E) They have lower boiling points than alcohols of similar molar mass.

A

23

23) All of the following are properties of acetone except

A) flammable.

B) intoxicating.

C) solvent for organic substances.

D) volatile.

E) nutrient

E

24

24) Which of the following is a use of formaldehyde?

A) flavoring

B) preservative

C) hormone

D) solvent

E) sweetener

B

25

25) Which compound has the lowest boiling point?

A) CH3-CO-CH3

B) CH3-CHO

C) CH3-CH2-OH

D) CH3-CH2-CH2-OH

E) CH3-CH2-CHO

B

26

26) Which compound has the highest boiling point?
A) CH3-CHO
B) CH3-CH2-CHO
C) CH3-CH2-OH
D) CH3-CO-CH3
E) CH3-CH2-CH2-OH

E

27

27) Which compound has the lowest boiling point?

A) CH3-CH2-CHO

B) CH3-CH2-CH3

C) CH3-CH2-CH2-OH

D) CH3-CH2-CH2-CH3

E) CH3-CH2-OH

B

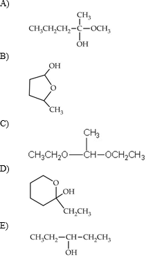
28
card image

29) All of the following are true concerning a two-carbon aldehyde except

A

29
card image

30) All of the following are true concerning a three-carbon ketone except

B

30
card image

31) The common name of an industrial solvent used in many manufacturing processes is methyl ethyl ketone. The correct systematic name and structural formula of this compound are

A

31

32) Tollens' reagent is used to

A) distinguish amines from aldehydes.

B) distinguish aldehydes from ketones.

C) reduce aldehydes.

D) reduce ketones.

E) oxidize ketones.

B

32

33) Oxidation of an aldehyde produces a

A) primary alcohol.

B) secondary alcohol.

C) carboxylic acid.

D) ketone.

E) tertiary alcohol.

C

33

34) Oxidation of a ketone produces

A) an aldehyde

B) a carboxylic acid

C) a primary alcohol

D) a secondary alcohol

E) no reaction

E

34

35) All of the following statements about oxidation of carbonyls are true except

A) Oxidation of ketones produces esters.

B) Tollen's test involves reduction of Ag+.

C) Oxidation of aldehydes produces carboxylic acids.

D) Benedict's test involves reduction of Cu2+.

E) none of the above

A

35

36) All of the following statements about oxidation of carbonyls are true except

A) The Benedict's test involves reduction of Cu2+.

B) Ketones do not react with mild oxidizing agents.

C) The Tollens' test involves oxidation of Ag+.

D) Oxidation of aldehydes produces carboxylic acids.

E) All of the statements are true.

C

36

37) Which compound will give a positive Tollen's test?

A) pentanal

B) 3-pentanone

C) 2-pentanone

D) pentanoic acid

E) pentane

A

37

38) Which observation denotes a positive Tollen's test?

A) A silver wire dissolves.

B) A brick-red precipitate forms.

C) The light blue color of the reagent disappears.

D) A silver deposit forms on the glass surface.

E) Bubbles of oxygen gas are produced.

D

38

39) Which observation denotes a positive Benedict's test?

A) A mirror-like deposit forms from a colorless solution.

B) A red precipitate forms from a blue solution.

C) A red-brown solution becomes clear and colorless.

D) A pale yellow solution with an odor of chlorine changes to a purple color.

E) A purple solution yields a brown precipitate.

B

39

40) What is the product of oxidation of butanal?

A) butane

B) 2-butanol

C) 1-butanol

D) butanoic acid

E) no reaction

D

40

41) What is the product of oxidation of 2-butanone?

A) butanoic acid

B) butanal

C) 2-butanol

D) 1-butanol

E) no reaction

E

41
card image

42) Which compound will give a positive Tollen's test?

B

42

43) What is product of the oxidation of a ketone?

A) an aldehyde

B) a hemiacetal

C) a carboxylic acid

D) an alcohol

E) none, ketones don't oxidize.

E

43

44) What is the element that causes oxidation in the Tollens test for aldehydes?

A) gold

B) copper

C) lead

D) silver

E) platinum

D

44

45) Reduction of an aldehyde produces a

A) tertiary alcohol.

B) carboxylic acid.

C) secondary alcohol.

D) ketone.

E) primary alcohol.

E

45

46) Reduction of a ketone produces a(an)

A) carboxylic acid.

B) secondary alcohol.

C) aldehyde.

D) tertiary alcohol.

E) primary alcohol.

B

46

47) What is the product of reduction of butanal?

A) butanoic acid

B) butane

C) 2-butanol

D) 1-butanol

E) no reaction

D

47

48) What is the product of reduction of 2-butanone?

A) butanal

B) 1-butanol

C) 2-butanol

D) butanoic acid

E) no reaction

C

48

49) What is the product of the reduction of 3-methyl-2-pentanone?

A) 3-methyl-2-pentanal

B) 2-methyl-3-pentanol

C) 3-methyl-2-pentanol

D) 3-methyl-2-pentene

E) no reaction

C

49

50) In biochemical reactions, reduction of carbonyl groups is carried out by

A) H2.

B) lactic acid.

C) NADH.

D) pyruvic acid.

E) NaBH4

C

50

51) Reduction of aldehydes and ketones is a

A) one-step reaction involving the H- ion.

B) one-step reaction involving the H+ ion.

C) two-step reaction involving the H- and OH- ions.

D) two-step reaction involving the H- and H+ ions.

E) two-step reaction involving the OH- and H+ ions.

D

51

52) What reaction conditions are needed to cause formation of an acetal from the same reactants that form hemiacetals?

A) high temperature

B) limited amount of alcohol as reactant

C) metallic catalyst

D) excess aldehyde or ketone as reactant

E) acid catalyst

E

52

53) The reverse reaction of acetal formation is

A) oxidation.

B) combustion.

C) hydrolysis.

D) reduction.

E) esterification.

C

53

54) Which pair of compounds can react to form a hemiacetal?

A) CH3CH2CHO and CH3CH2OH

B) CH3CH2CHO and CH3COOH

C) CH3COCH3 and CH3COOH

D) CH3COCH3 and CH3CH2CHO

E) CH3COOH and CH3CH2OH

A

54

55) A compound with an -OH group and an ether-like -OR group bonded to the same carbon atom is

A) an acetal.

B) a hemiacetal.

C) a simple ether.

D) an aldol.

E) a diol

B

55

56) A compound with two ether-like - OR groups bonded to the same carbon atom is

A) an aldol.

B) a hemiacetal.

C) a simple ether.

D) an acetal.

E) a diol

D

56

57) Hydrolysis of an acetal will produce

A) one aldehyde or ketone + two ethers.

B) one aldehyde or ketone + two alcohols.

C) one aldehyde or ketone + two waters.

D) two aldehydes or ketones + one alcohol.

E) two aldehydes or ketones + one ether.

B

57

58) Since hemiacetals are unstable, they are seldom found in significant quantities in reaction mixtures. An exception to this statement is the formation of hemiacetals

A) in an acid-catalyzed reaction.

B) in a base-catalyzed reaction.

C) from aldehyde and alcohol groups within the same molecule.

D) from carbonyl compounds and alcohols with different R groups.

E) from carbonyl compounds and alcohols with identical R groups.

C

58

59) To what class of compounds does glucose belong?

A) cyclic ketone

B) cyclic aldehyde

C) cyclic acetal

D) cyclic hemiacetal

E) cyclic acid

D

59
card image

59) Which of the following is a hemiacetal?

B

60
card image

60) Which of the following is an acetal?

C

61
card image

61) What is the major organic product of the following reaction?

B

62

62) The result of a hydrolysis reaction is what?

A) getting the chemicals wet

B) having an oxidation reduction reaction result in hydration of the molecule

C) splitting of a molecule into the component substances

D) one that forms water upon reaction

E) addition of water across a double bond

C

63

63) Which of the following products is formed when hydrogen is reacted with 3-methyl-2-butanone?

A) a primary alcohol

B) a secondary alcohol

C) a tertiary alcohol

D) an acetal

B