Chapter 14 Flashcards


Set Details Share
created 11 years ago by JuliusSneezer
updated 11 years ago by JuliusSneezer
Subjects:
ochem
show moreless
Page to share:
Embed this setcancel
COPY
code changes based on your size selection
Size:
X
Show:

1

1) Compounds with the -OH group attached to a saturated alkane-like carbon are known as
A) alcohols.
B) alkyl halides.
C) ethers.
D) hydroxyls.
E) phenols.

Answer: A

2

2) Compounds with an oxygen atom bonded to two organic groups are known as
A) alcohols.
B) ethers.
C) hydroxides.
D) hydroxyls.
E) phenols.

Answer: B

3

3) None of the following organic compounds is very likely to form hydrogen bonds except
A) alkanes.
B) alkenes.
C) alcohols.
D) aromatics.
E) ethers

Answer: C

4

4) Alcohols, ethers, and phenols can be considered organic derivatives of the inorganic compound
A) ammonia.
B) carbon dioxide.
C) sodium hydroxide.
D) water.
E) none of these

Answer: D

5
card image

5) Which molecule shown is an ether?

Answer: D

6

6) What is the inorganic compound that can be considered the structural basis for alcohols and ethers? Discuss two ways in which the physical properties of alcohols and ethers are similar to properties of this compound.

Answer: Alcohols and ethers can be considered to be derivatives of water. Similar physical properties include:
Polarity: Water is a very polar molecule; alcohols and ethers also display polarity.
Boiling point: Water has a higher boiling point than predicted on the basis of its molar mass. Alcohols also share this characteristic, but ethers do not.
Solubility: Water is miscible with other polar liquids; alcohols and ethers of low molar mass are miscible with water and with each other because of their polarity.

7

7) The alcohol which contains only one carbon atom and has the common name of wood alcohol is
A) ethanol.
B) glycerol.
C) glycol.
D) methanol.
E) phenol.

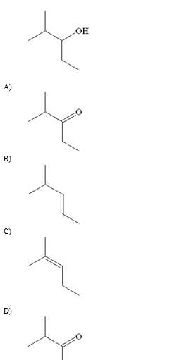
Answer: D

8

8) The common name of CH3OH is
A) grain alcohol.
B) wood alcohol.
C) rubbing alcohol.
D) antifreeze.
E) glycerol.

Answer: B

9

9) The alcohol which contains two carbon atoms and has the common name of grain alcohol is
A) ethanol.
B) glycerol.
C) glycol.
D) methanol.
E) phenol.

Answer: A

10

10) The common name of CH3CH2OH is
A) grain alcohol.
B) wood alcohol.
C) rubbing alcohol.
D) antifreeze.
E) glycerol.

Answer: A

11

11) The molecule with three carbon atoms with an -OH group on each, and used as a moisturizer is
A) ethanol.
B) glycerol.
C) glycol.
D) methanol.
E) phenol.

Answer: B

12

12) The common name of CH2(OH)CH2OH is
A) grain alcohol.
B) wood alcohol.
C) rubbing alcohol.
D) ethylene glycol (antifreeze).
E) glycerol.

Answer: D

13

13) Rubbing alcohol is a solution of
A) ethylene glycol.
B) glycerol.
C) isopropyl alcohol.
D) ethanol.
E) methanol.

Answer: C

14
card image

14) Which of the following is commonly known as glycerol?

Answer: B

15
card image

15) Which molecule shown is a glycol?

Answer: E

16

16) The common name of 1,2-ethanediol is
A) grain alcohol.
B) wood alcohol.
C) rubbing alcohol.
D) ethylene glycol (antifreeze)
E) glycerol.

Answer: D

17

17) The common name of CH3CH(OH)CH3 in water solution is
A) grain alcohol.
B) wood alcohol.
C) rubbing alcohol.
D) antifreeze.
E) glycerol

Answer: C

18
card image

18) What is the IUPAC name of the compound shown?

A) 4-methyl-2-pentanol
B) 2-methyl-4-pentanol
C) 4,4-dimethyl-2-butanol
D) 2,2-dimethyl-4-butanol
E) 2-isohexanol

Answer: A

19
card image

19) The IUPAC name of the alcohol shown is

A) 2,3-dimethyl-1-pentanol.
B) 2,3-dimethyl-5-pentanol.
C) 3,4-dimethyl-1-pentanol.
D) 3,4-dimethyl-5-pentanol.
E) primary 2,3-dimethylpentanol.

Answer: C

20
card image

20) What is the IUPAC name of the compound shown?

A) 4-ethyl-1-hexanol
B) 3-ethyl-6-hexanol
C) 3-ethyl-1-hexanol
D) 4,4-diethyl-1-butanol
E) isooctanol

Answer: A

21
card image

21) The name of the alcohol shown is

A) 2,4,4-trimethyl-3-pentanol.
B) 2,2,4-trimethyl-3-pentanol.
C) branched 3-octanol.
D) trimethyl-3-pentanol.
E) secondary 2,4,4-pentanol.

Answer: B

22
card image

22) What is the systematic name for the following compound?

A) 2-methyl-3-pentanol
B) 2-methyl-3-pentenol
C) 4-methyl-3-pentanol
D) 3-methyl-2-pentanol

Answer: A

23
card image

23) What is the IUPAC name of the compound shown?

A) butanetriol
B) 1,3,4-butanetriol
C) 1,2,4-butanetriol
D) 2-hydroxy-1,4-butanediol
E) butylene glycol

Answer: C

24

24) Compounds of the type R3C-OH are referred to as ________ alcohols.
A) primary
B) secondary
C) tertiary
D) quaternary
E) none of the above

Answer: C

25

25) Compounds of the type R2CH-OH are referred to as ________ alcohols.
A) primary
B) secondary
C) tertiary
D) quaternary
E) none of the above

Answer: B

26

26) Compounds of the type RCH2-OH are referred to as ________ alcohols.
A) primary
B) secondary
C) tertiary
D) quaternary
E) none of the above

Answer: A

27

27) Which compound is a tertiary alcohol?
A) 1-propanol
B) 2-methyl-1-hexanol
C) 2-methyl-2-hexanol
D) 3-methyl-2-hexanol
E) 3-hexanol

Answer: C

28
card image

28) Which molecule shown is a primary alcohol?

Answer: C

29
card image

29) The molecule shown is a ________ alcohol because ________.

A) primary; it has one -OH group
B) primary; its -OH group is on the end of the molecule
C) secondary; the carbon bonded to the -OH group is bonded to two other carbons
D) secondary; each group bonded to the hydroxyl carbon contains two carbon atoms
E) tertiary; the -OH is bonded to the number 3 carbon

Answer: C

30
card image

30) Which molecule shown is a secondary alcohol?

Answer: A

31

31) An alcohol is classified as primary, secondary or tertiary based on
A) the number of carbon atoms bonded to the carbon bearing the OH group.
B) the number of carbon atoms in the molecule.
C) the number of hydrogens present in the alcohol.
D) the number of OH groups present in the molecule.
E) the mass of the alcohol

Answer: A

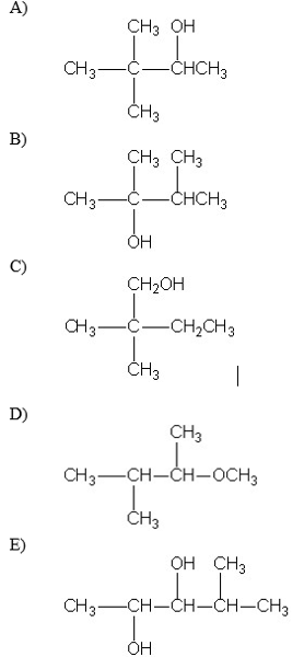
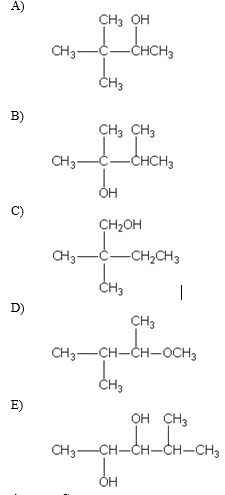
32
card image

32) Which molecule shown is a tertiary alcohol?

Answer: B

33

33) How many isomeric alcohols exist with the formula C4H10O ?
A) 4
B) 1
C) 2
D) 3
E) 5

Answer: A

34

34) The relatively high boiling point of alcohols in relation to their molecular weights is the result of
A) covalent bonding.
B) dipolar forces.
C) hydrogen bonding.
D) ionic bonding.
E) London forces.

Answer: C

35

35) All of the following properties of alcohols are affected by hydrogen bonding except
A) boiling point.
B) miscibility with water.
C) ability to dissolve polar substances.
D) molecular weight.
E) none of the above

Answer: D

36

36) Which compound is the most soluble in water?
A) CH3CH2CH2CH2OH
B) CH3CH2CH2OH
C) CH3CH2CH2CH3
D) CH3CH2CH3
E) CH3CH2CH2CH2CH2CH2CH2CH3

Answer: B

37

37) Which compound is the least soluble in water?
A) CH3CH2CH2CH2OH
B) CH3CH2CH2OH
C) CH3CH2CH2CH3
D) CH3CH2CH3
E) CH3CH2CH2CH2CH2CH2CH2CH3

Answer: E

38

38) Which compound has the lowest boiling point?
A) CH3CH2CH2CH2CH2OH
B) CH3CH2CH2CH2CH3
C) CH3CH2CH2CH2OH
D) CH3CH2CH2CH3
E) CH3CH2CH2OH

Answer: D

39

39) Which of the following would at best be only very slightly soluble in water?
A) 1-hexanol
B) 2-propanol
C) 1,5-pentanediol
D) 1-propanol
E) 2-butanol

Answer: A

40
card image

40) Which compound would have the highest boiling point?

Answer: B

41

41) Which compound has the highest boiling point?
A) CH3CH2CH2CH2CH2OH
B) CH3CH2CH2CH2CH3
C) CH3CH2CH2CH2OH
D) CH3CH2CH2CH3
E) CH3CH2CH2OH

Answer: A

42

42) Which of the following is the most soluble in water?
A) diethyl ether
B) methanol
C) 1-butanol
D) 1-decanol
E) decane

Answer: B

43

43) Which of the following is the most soluble in water?
A) HOCH2CH2CH2OH
B) CH3CH2CH2CH2OH
C) CH3CH2OCH2CH3
D) CH3CH2CH2CH3
E) CH3CH2CH2OCH3

Answer: A

44

44) Which of the following would be the least soluble in water?
A) HOCH2CH2CH2OH
B) CH3CH2CH2CH2OH
C) CH3CH2OCH2CH3
D) CH3CH2CH2CH3
E) CH3CH2CH2OCH3

Answer: D

45

45) Which compound has the lowest boiling point?
A) CH3CH2CH2CH2OH
B) CH3CH2CH2OH
C) CH3CH2OCH2CH3
D) CH3CH2OCH3
E) CH3CH2CH2OCH3

Answer: D

46

46) Which compound has the highest boiling point?
A) CH3CH2CH2CH2OH
B) CH3CH2CH2OH
C) CH3CH2OCH2CH3
D) CH3CH2OCH3
E) CH3CH2CH2OCH3

Answer: A

47

47) Which compound would you expect to have the lowest boiling point?
A) methane
B) methanol
C) dimethyl ether
D) ethanol
E) water

Answer: A

48

48) Which alcohol is most soluble in water?
A) ethanol
B) 1-propanol
C) 1-butanol
D) 1-pentanol
E) 1-hexanol

Answer: A

49

49) Describe and explain the change in water solubility of straight-chain primary alcohols as molar mass increases.

Answer: As the molar mass of these alcohols increases, the water solubility decreases. This occurs because the polarity of the hydroxyl group, which is the reason for the interaction with the polar water molecules, becomes less important as the size of the nonpolar hydrocarbon portion of the molecule increases.

50

50) The product of dehydration of an alcohol is an

A) alkane.
B) alkene.
C) aromatic.
D) ether.
E) aldehyde.

Answer: B

51

51) Oxidation of an alcohol group results in formation of a(an) ________ group.
A) alkyl
B) aromatic
C) carbonyl
D) ether
E) hydroxyl

Answer: C

52

52) The symbol [O] written above a reaction arrow means
A) oxygen is removed from one of the reactants during the reaction.
B) the reaction consumes oxygen from the atmosphere.
C) that an oxidation reaction is occurring.
D) that a reduction reaction is occurring and oxygen is liberated.
E) none of the above

Answer: C

53

53) Oxidation of R2CHOH will produce
A) an aldehyde.
B) a ketone.
C) an alkene.
D) a carboxylic acid.
E) no reaction.

Answer: B

54

54) Oxidation of a tertiary alcohol will produce
A) an aldehyde.
B) a ketone.
C) an alkene.
D) a carboxylic acid.
E) no reaction.

Answer: E

55

55) Treatment of CH3CH2CH2OH with a limited amount of oxidizing agent will produce
A) an aldehyde.
B) a ketone.
C) an alkene.
D) a carboxylic acid.
E) no reaction

Answer: A

56

56) Treatment of CH3CH2OH with an excess amount of oxidizing agent will produce
A) an aldehyde.
B) a ketone.
C) an alkene.
D) a carboxylic acid.
E) no reaction.

Answer: D

57

57) Gentle oxidation of a primary alcohol will produce
A) an aldehyde.
B) an alkene.
C) a carboxylic acid.
D) an ether.
E) a ketone.

Answer: A

58

58) Gentle oxidation of a secondary alcohol will produce
A) an aldehyde.
B) an alkene.
C) a carboxylic acid.
D) an ether.
E) a ketone.

Answer: E

59

59) Strong oxidation of a primary alcohol will produce

A) an aldehyde.
B) an alkene.
C) a carboxylic acid.
D) an ether.
E) a ketone.

Answer: C

60
card image

60) Which of the following would be the product of the oxidation of 2-methyl-3-pentanol?

Answer: B

61
card image

61) Treatment of the molecule shown with a strong oxidizing agent will produce

A) an aldehyde.
B) an alkene.
C) a carboxylic acid.
D) a ketone.
E) no reaction.

Answer: E

62
card image

62) Which of the following alcohols would not be able to be oxidized with any type of oxidizing agent?

Answer: C

63
card image

63) Treatment of the molecule shown with a dehydrating agent will produce

A) an aldehyde.
B) an alkene.
C) a carboxylic acid.
D) a ketone.
E) no reaction.

Answer: B

64

64) The major product obtained from dehydration of 2-hexanol is
A) 1-hexene.
B) 2-hexene.
C) 3-hexene.
D) 2-hexanone.
E) 2-hexanal

Answer: B

65

65) Which alcohol should be used to produce 2-methyl-3-pentene by dehydration?
A) 2-methyl-3-pentanol
B) 4-methyl-2-pentanol
C) 4-methyl-1-pentanol
D) 2-methyl-1-pentanol
E) 1-propanol and 2-propanol

Answer: B

66
card image

66) The major product resulting from the dehydration of

A) 1-pentene.
B) 2-pentene.
C) n-pentane.
D) 1,2-pentanediol.
E) 1,3-pentanediol.

Answer: B

67
card image

67) Which of the following is the major product formed from dehydration of the following alcohol?

Answer: C

68

68) What is the product of the oxidation of a secondary alcohol?
A) ketone
B) aldehyde
C) alkene
D) carboxylic acid
E) alkyne

Answer: A

69

69) Oxidation reactions are defined differently in organic chemistry than they are in inorganic chemistry. Give the definition of both and explain their similarities.

Answer: The inorganic definition of oxidation is loss of electrons. The organic definition is formation of additional bonds between carbon and oxygen (or a decrease in the number of carbon-hydrogen bonds). These are similar because when carbon forms a bond with electronegative oxygen, it essentially loses some of its attraction for its electrons.

70

70) The simplest aromatic alcohol, recognized by its strong medicinal odor and used as a disinfectant is
A) ethanol.
B) glycerol.
C) glycol.
D) methanol.
E) phenol.

Answer: E

71

71) Which compound is sometimes called carbolic acid?
A) ethanol
B) methanol
C) glycerol
D) ether
E) phenol

Answer: E

72

72) Compounds with the -OH group attached to an aromatic ring are known as
A) alcohols.
B) alkyl halides.
C) ethers.
D) hydroxyls.
E) phenols.

Answer: E

73
card image

73) Which molecule would be considered a derivative of phenol?

Answer: C

74

74) Which molecule would be the most acidic?
A) dimethyl ether
B) ethanol
C) phenol
D) water
E) 1-hexanol

Answer: C

75

75) When phenol acts as an acid, a ________ ion is produced.
A) phenyl
B) benzyl
C) phenolate
D) phenolic
E) phenoxide

Answer: E

76

76) The molecule CH3CH2CH2OCH2CH3 can be classified as
A) an alcohol.
B) an aldehyde.
C) an alkane.
D) an ether.
E) a ketone

Answer: D

77

77) All of the following are properties of ethers except
A) the molecules are polar, but do not form hydrogen bonds with other ether molecules.
B) low molecular weight ethers are flammable and evaporate easily.
C) ethers dissolve readily in water in all proportions.
D) ethers are relatively unreactive except for flammability.
E) ethers dissolve many organic compounds readily.

Answer: C

78

78) What is the IUPAC name of the compound shown?

CH3CH2CH2OCH3

A) 1,2-etherbutane
B) methyl propyl ether
C) propyl methyl ether
D) butyl ether
E) isobutyl ether

Answer: B

79

79) Ether molecules are polar, but do not form hydrogen bonds with other ether molecules because
A) the molecules are generally too large.
B) there is no hydrogen atom bonded to the oxygen.
C) there are too many hydrogen atoms on the molecules to bond with just one oxygen atom.
D) only binary compounds form hydrogen bonds.
E) ether molecules are so reactive that they never have an opportunity to form hydrogen bonds.

Answer: B

80
card image

80) What is the systematic name of the following compound?

A) 2-methoxy propane
B) 2-ethoxy propane
C) ethyl methyl ether
D) diethyl ether

Answer: A

81

81) Organic compounds which are sulfur analogs of alcohols are referred to as

A) sulfuric alcohols.
B) disulfides
C) halides.
D) thiols.
E) carbonyls

Answer: D

82

82) Which property of thiols makes them useful as additives to natural gas?
A) flammability
B) solubility
C) odor
D) color
E) disinfectant

Answer: C

83

83) The reaction conditions which would result in formation of disulfides from thiols are
A) mild oxidizing.
B) gentle heat.
C) strong heat.
D) strong acid.
E) none of these

Answer: A

84
card image

84) What is the IUPAC name of the compound shown?

A) 2-thiobutane
B) 3-thiobutanol
C) 2-butanethiol
D) 1-methyl-1-thiopropane
E) 1-methyl-1-propanethiol

Answer: C

85

85) When a thiol is oxidized the product is
A) an aldehyde.
B) a ketone.
C) sulfuric acid.
D) a disulfide.
E) an alkene

Answer: D

86

86) The most characteristic feature of thiols is ________
A) odor
B) solubility in water
C) reactivity with water
D) boiling point
E) color

Answer: A

87
card image

87) What is the IUPAC name of the compound shown?

A) di(chloroethane)
B) 2,3-dichlorobutane
C) 1,2-dichloro-1,2-dimethylethane
D) 1,2-dichloro-1-methylpropane
E) 2,3-dichlorbutane

Answer: B

88
card image

88) What is the IUPAC name for the compound shown?

A) 3-bromo-2-chloro-3-methylpentane
B) 3-bromomethyl-2-chloro-pentane
C) bromochlorohexane
D) 3-bromo-4-chloro-3-methylpentane
E) none of these

Answer: A

89
card image

89) Give the IUPAC name for the following compound:

A) 1,2-dibromo-1-methyl butane
B) 2,3-dibromopentane
C) 3,4-dibromopentane
D) 2,3-bromopentane

Answer: B

90

90) All of the following can be classified as alkyl halides except
A) styrene, the monomer used to make foam coffee cups.
B) chloroform, an anesthetic.
C) iodoform, an disinfectant
D) methyl bromide, an insecticide.
E) CFC's used as refrigerants

Answer: A