After taking the first exam, 15 of the students dropped the class.
A) Statistic
B) Parameter
B) Parameter
The height of 2-year-old maple tree is 28.3 ft.
A) Continuous
B) Discrete
A) Continuous
The sample of spheres categorized from softest to hardest.
A) Interval
B) Ratio
C) Nominal
D) Ordinal
D) Ordinal
Identify the sample and population. Also, determine whether the
sample is likely to be representative of the population.
An employee at the local ice cream parlor asks three customers
if they like chocolate ice cream.
Sample: the 3 selected customers
Population: all customers
Not representative
Is this accurate data?
An airline company advertises that 100% of their flights are on
time after checking 5 randomly selected flights and finding that these
5 were on time.
No, The sample was too small.
Convert 2.5 to an equivalent fraction and percent.
A) 2 1/2, 250%
B) 2, 25%
C) 2, 250%
D) 2
1/2, 25%
A) 2 1/2, 250%
Alex and Juana went on a 116-mile canoe trip with their class. On the
first day they traveled 29 miles. What percent of the total distance
did they canoe?
A) 25%
B) 0.25%
C) 400%
D) 4%
A) 25%
An advertisement for a heating pad says that it can reduce back pain by 200%. What is wrong with this statement?
If a person's back pain was reduced by 100%, it would be completely eliminated, so it is not possible for a person's back pain to be reduced by more than 100%.
A marketing firm does a survey to find out how many people use a
product. Of the one hundred people contacted, fifteen said they use
the product.
A) Experiment
B) Observational study
B) Observational study
A quality control specialist compares the output from a machine with
a new lubricant to the output of machines with the old lubricant.
A) Observational study
B) Experiment
B) Experiment
49, 34, and 48 students are selected from the Sophomore, Junior, and
Senior classes with 496, 348, and 481 students respectively.
A) Systematic
B) Convenience
C) Stratified
D)
Cluster
E) Random
C) Stratified
A pollster uses a computer to generate 500 random numbers, then
interviews the voters corresponding to those numbers.
A) Cluster
B) Random
C) Stratified
D)
Convenience
E) Systematic
B) Random
An education researcher randomly selects 48 middle schools and
interviews all the teachers at each school.
A) Stratified
B) Cluster
C) Convenience
D)
Random
E) Systematic
B) Cluster
An electronics store receives a shipment of eight boxes of
calculators. Each box contains ten calculators. A quality control
inspector chooses a box by putting eight identical slips of paper
numbered 1 to 8 into a hat, mixing thoroughly and then picking a slip
at random. He then chooses a calculator at random from the box
selected using a similar method with ten slips of paper in a hat. He
repeats the process until he obtains a sample of 5 calculators for
quality control testing. Does this sampling plan result in a random
sample? Simple random sample? Explain.
A) No; yes. The sample is not random because not all calculators
have the same chance of being selected. It is a simple random sample
because all samples of 5 calculators have the same chance of being
selected.
B) Yes; no. The sample is random because all calculators have
the same chance of being selected. It is not a simple random sample
because some samples are not possible, such as a sample containing 5
calculators from the same box.
C) No; no. The sample is not random because not all calculators
have the same chance of being selected. It is not a simple random
sample because some samples are not possible, such as a sample
containing 5 calculators from the same box.
D) Yes; yes. The sample is random because all calculators have
the same chance of being selected. It is a simple random sample
because all samples of 5 calculators have the same chance of being selected.
D) Yes; yes. The sample is random because all calculators have the same chance of being selected. It is a simple random sample because all samples of 5 calculators have the same chance of being selected.

The scores on a recent statistics test are given in the frequency distribution below. Construct the corresponding relative frequency distribution.

On a math test, the scores of 24 students were
95 73 77 69 77 77 95 81 77 67 88 73
73 88 77 73 88 77 73
81 73 88 81 69
Construct a frequency distribution. Use 4 classes beginning with
a lower class limit of 60.


The frequency table below shows the number of days off in a given
year for 30 police detectives.
Construct a histogram. Use the class midpoints for the
horizontal scale. Does the result appear to be a normal distribution?
Why or why not?

The distribution does not appear to be normal. It is not bell-shaped and it is not symmetric.

Construct the dotplot for the given data.
A store manager counts the number of customers who make a
purchase in his store each day. The data are as follows.
10 11 8 14 7 10 10 11 8 7


Use the data to create a stemplot.
The midterm test scores for the seventh-period typing class are
listed below.
85 77 93 91 74 65 68 97 88 59 74 83 85 72 63 79


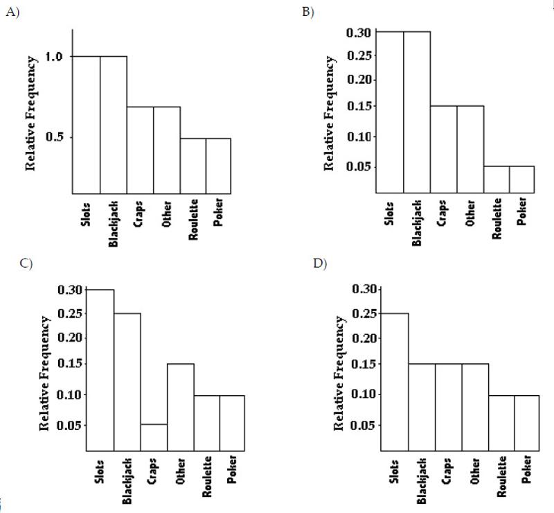
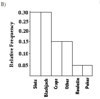
240 casino patrons, were interviewed as they left the casino. 72 of them said they spent most of the time playing the slots. 72 of them said they played blackjack. 36 said they played craps. 12 said roulette. 12 said poker. The rest were not sure what they played the most. Construct a Pareto chart to depict the gaming practices of the group of casino goers. Choose the vertical scale so that the relative frequencies are represented.


The following data give the distribution of the types of houses in a
town containing 24,000 houses.
Capes Garrisons Splits
6000 8400 9600


The pie chart shows the percent of the total population of 61,100 of
Springfield living in the given types of housing. Round your result to
the nearest whole number.
Find the number of people who live in condos.
A) 9165 people
B) 12,220 people
C) 51,935 people
D) 15 people
A) 9165 people

The graph below shows the number of car accidents occurring in one city in each of the years 2001 through 2006. The number of accidents dropped in 2003 after a new speed limit was imposed. Does the graph distort the data? How would you redesign the graph to be less misleading?
The graph distorts the data because the the vertical scale starts at 60 rather than 0, giving the impression of a large difference in the number of accidents, when actually the number of accidents only varies from 90 to 120. To make the graph less misleading, change the vertical scale so that it begins at 0 and increases in increments of 20.
Find the mean for the given sample data.
Andrew asked seven of his friends how many cousins they had. The
results are listed below. Find the mean number of cousins.
18 10 7 14 4 3 8
A) 9.1 cousins
B) 10.7 cousins
C) 10.6 cousins
D) 8.6 cousins
A) 9.1 cousins
mean = average
A store manager kept track of the number of newspapers sold each week
over a seven-week period. The results are shown below. Find the median
number of newspapers sold.
36 30 201 152 278 242 230
A) 230 newspapers
B) 167 newspapers
C) 201
newspapers
D) 152 newspapers
C) 201 newspapers
put in order and find middle value
Find the mode(s) for the given sample data.
77 52 32 52 29 77
A) 52
B) 53.2
C) 77
D) 77, 52
D) 77, 52
both #'s appear twice
Find the midrange for the given sample data.
49 52 52 52 74 67 55 55
A) 61.5
B) 12.5
C) 25
D) 53.5
A) 61.5
Midrange = (high + low) /2
(74 + 52)/2
The weights (in ounces) of 18 cookies are shown. Find the midrange.
0.63 1.28 0.87 0.99 0.81 1.43
1.28 1.20 0.63 1.45 1.37
1.08
1.37 1.45 0.81 1.37 0.99 0.87
A) 1.130 oz
B) 1.040 oz
C) 1.08 oz
D) 1.030 oz
B) 1.040 oz
Midrange = (high + low) /2
(1.45 +.63)/2

Find the mean and median for each of the two samples, then compare
the two sets of results.
A comparison is made between summer electric bills of those who
have central air and those who have window units.
Central air: mean = $66.20; median = $65
Window unit: mean =
$71.60; median = $84
Window units appear to be significantly more expensive.
Use stat list
Run 1-var stats on each to find mean and median

The test scores of 40 students are summarized in the frequency
distribution below. Find the mean score.
A) 77.3
B) 69.6
C) 74.5
D) 73.4
A) 77.3
Use stat list
L1 score (high +low)/2
L2 students
Run 1-var stats
A student earned grades of B, B, A, C, and D. Those courses had these
corresponding numbers of credit hours: 4, 5, 1, 5, 4. The grading
system assigns quality points to letter grades as follows:
A =
4, B = 3, C = 2, D = 1, and F = 0.
Compute the grade point
average (GPA)
A) 9.00
B) 1.37
C) 3.46
D) 2.37
D) 2.37
Use stat list
L1 quality points
L2 hours
Run
1-var stats
Jorge has his own business as a painter. The amounts he made in the
last five months are shown below. Find the range for the given sample
data.
$2446 $2498 $1566 $2041 $1134
A) $880
B) $1364
C) $932
D) $1312
B) $1364
Range = High - Low
$2498 - $1134
Find the variance for the given data.
-7 7 10 -8 4
A) 67.7
B) 67.6
C) 54.2
D) 68.0
A) 67.7
Variance = standard dev 2
Run 1-var stats to
get standard deviation then 2
(8.228000972)2
Christine is currently taking college astronomy. The instructor often
gives quizzes. On the past seven quizzes, Christine got the following
scores:
54 20 36 23 15 40 59
Find the standard deviation
A) 36
B) 8715.6
C) 10,447
D) 17
D) 17
Run 1-var stats to get standard deviation

The heights of a group of professional basketball players are
summarized in the frequency distribution below. Find the standard
deviation.
A) 3.2 in.
B) 3.3 in.
C) 2.8 in.
D) 2.9 in.
C) 2.8 in.
Use stat list
L1 Height (high +low)/2
L2 frequency
Run 1-var stats
The race speeds for the top eight cars in a 200-mile race are listed
below.
188.1 180.4 189.2 188.4 175.6 177.1 181.6 177.4
Use the range rule of thumb to estimate the standard deviation.
A) 6.8
B) 3.4
C) 1.1
D) 7.5
B) 3.4
range rule of thumb = range/4
(189.2 - 175.6)/4
The amount of Jen's monthly phone bill is normally distributed with a
mean of $74 and a standard deviation of $8. What percentage of her
phone bills are between $50 and $98?
A) 99.99%
B) 99.7%
C) 68%
D) 95%
B) 99.7%
Empirical Rule
68% are within 1 standard deviation
95% are within 2 standard deviation
99.7% are within 3
standard deviation
(98-74)/8 or
(74-50)/8
The ages of the members of a gym have a mean of 47 years and a
standard deviation of 10 years. What can you conclude from Chebyshev's
theorem about the percentage of gym members aged between 32 and 62?
A) The percentage is approximately 33.3%
B) The
percentage is at least 55.6%
C) The percentage is at least 33.3%
D) The percentage is at most 55.6%
B) The percentage is at least 55.6%

The test scores of 32 students are listed below. Construct a boxplot
for the data set.
32 37 41 44 46 48 53 55
57 57 59 63 65 66 68 69
70
71 74 74 75 77 78 79
81 82 83 86 89 92 95 99

Run 1-var stats

Construct a modified boxplot for the data. Identify any outliers.
The weights (in ounces) of 27 tomatoes are listed below.
1.7 2.0 2.2 2.2 2.4 2.5 2.5 2.5 2.6
2.6 2.6 2.7 2.7 2.7
2.8 2.8 2.8 2.9
2.9 2.9 3.0 3.0 3.1 3.1 3.3 3.6 4.2

For data which are heavily skewed to the right, P10 is likely to be
closer to the median than P90.
True or false?
A) False
B) True
B) True
"You have one chance in ten of winning the race."
Express as a probability value.
A) 0.90
B) 1
C) 0.5
D) 0.10
D) 0.10
A bag contains 6 red marbles, 3 blue marbles, and 5 green marbles. If
a marble is randomly selected from the bag, what is the probability
that it is blue?
A)1/11
B)1/3
C)3/14
D)1/5
C)3/14

If one of the results is randomly selected, what is the probability
that it is a false positive (test indicates the person has the disease
when in fact they don't)? What does this probability suggest about the
accuracy of the test?
A) 0.405; The probability of this error is high so the test is
not very accurate.
B) 0.0967; The probability of this error is
high so the test is not very accurate.
C) 0.145; The probability
of this error is high so the test is not very accurate.
D)
0.0260; The probability of this error is low so the test is fairly accurate.
B) 0.0967; The probability of this error is high so the test is not
very accurate.
26/269
Of 1936 people who came into a blood bank to give blood, 200 people
had high blood pressure.
Estimate the probability that the next
person who comes in to give blood will have high blood pressure.
A) 0.071
B) 0.103
C) 0.022
D) 0.154
B) 0.103
200/1936
Two white mice mate. The male has both a white and a black fur-color
gene. The female has only white fur-color genes. The fur color of the
offspring depends on the pairs of fur-color genes that they receive.
Assume that neither the white nor the black gene dominates. List the
possible outcomes.
A) WW, WW
B) WW, BB
C) WB, BW
D) WW, BW
D) WW, BW
A spinner has equal regions numbered 1 through 15. What is the
probability that the spinner will
stop on an even number or a
multiple of 3?
A)2/3
B) 12
C)1/3
D)7/9
A)2/3
5 multiples of 3
5 even that are not multiple of 3
10/15

If one of the 1124 people is randomly selected, find the probability
that the person is a man or a heavy smoker.
A) 0.514
B) 0.549
C) 0.483
D) 0.516
D) 0.516
total of men + women heavy smokers / total
(545+35)/1124
A 6-sided die is rolled. Find P(3 or 5).
A)1/36
B)1/6
C)1/3
D) 2
C)1/3
A card is drawn from a well-shuffled deck of 52 cards. Find P(drawing
a face card or a 4).
A)2/13
B)4/13
C) 16
D)12/13
B)4/13
12 facecards + 4 fours /52
16/52

100 employees of a company are asked how they get to work and whether
they work full time or part time. The figure below shows the results.
If one of the 100 employees is randomly selected, find the probability
that the person drives alone or cycles to work.
1. Public
transportation: 7 full time, 10 part time
2. Bicycle: 4 full
time, 5 part time
3. Drive alone: 29 full time, 31 part time
4. Carpool: 6 full time, 8 part time
A) 0.60
B) 0.33
C) 0.64
D) 0.69
D) 0.69
(9 cycle + 60 drive)/100
69/100
In one town, 61% of adults have health insurance. What is the
probability that 6 adults selected at random from the town all have
health insurance? Round to the nearest thousandth if necessary.
A) 3.66
B) 0.098
C) 0.052
D) 0.61
C) 0.052
.616
You are dealt two cards successively (without replacement) from a
shuffled deck of 52 playing cards. Find the probability that both
cards are black. Express your answer as a simplified fraction.
A)13/51
B)25/102
C)25/51
D)1/2,652
B)25/102
(26/52)*(25/51)

If two different people are randomly selected from the 933 subjects,
find the probability that they
are both heavy smokers.
A) 0.0001778
B) 0.002026
C) 0.006462
D) 0.006383
D) 0.006383
(75/933)*(74/932)
In a batch of 8,000 clock radios 6% are defective. A sample of 8
clock radios is randomly selected without replacement from the 8,000
and tested. The entire batch will be rejected if at least one of those
tested is defective. What is the probability that the entire batch
will be rejected?
A) 0.0600
B) 0.610
C) 0.125
D) 0.390
D) 0.390
binomcdf
8 = trials
.6 = P
0 = x value
find the compliment
1-.609568
In a blood testing procedure, blood samples from 3 people are
combined into one mixture. The mixture will only test negative if all
the individual samples are negative. If the probability that an
individual sample tests positive is 0.1, what is the probability that
the mixture will test positive?
A) 0.271
B) 0.729
C) 0.999
D) 0.00100
A) 0.271
compliment 3
then compliment
(1-.01)3 = .729
1-.729

If one of the 87 flights is randomly selected, find the probability
that the flight selected arrived on time.
A)43/87
B)76/87
C)11/76
D) None of the above
is correct.
B)76/87
Probability of being late is 11/87
probability of being on
time is 1-(11/87)

If one of the 1026 subjects is randomly selected, find the
probability that the person chosen is a nonsmoker given that it is a
woman.
A) 0.437
B) 0.706
C) 0.543
D) 0.379
B) 0.706
nonsmoking women/total women
389/551
The library is to be given 7 books as a gift. The books will be
selected from a list of 16 titles. If each book selected must have a
different title, how many possible selections are there?
A) 268,435,456
B) 11,440
C) 57,657,600
D) 112
B) 11,440
16 nCr 7
The organizer of a television show must select 5 people to
participate in the show. The participants will be selected from a list
of 24 people who have written in to the show. If the participants are
selected randomly, what is the probability that the 5 youngest people
will be selected?
A)1/42,504
B)1/120
C)1/3
D)1/5,100,480
A)1/42,504
1/(24 nCr 5)
How many 3-digit numbers can be formed using the digits 1, 2, 3, 4,
5, 6, 7 if repetition of digits is not allowed?
A) 343
B) 5
C) 6
D) 210
D) 210
7 nPr 3
order matters
A class has 8 students who are to be assigned seating by lot. What is
the probability that the students will be arranged in order from
shortest to tallest? (Assume that no two students are the same
height.)
A) 0.00019841
B) 0.1000
C) 0.00024802
D) 0.0000248
D) 0.0000248
1/(8 nPr 8)
order matters
12 wrestlers compete in a competition. If each wrestler wrestles one
match with each other wrestler, what are the total numbers of matches?
A) 66
B) 156
C) 132
D) 78
A) 66
12 nCr 2
2 = paired wrestling
The cost of a randomly selected orange
A) Discrete
B) Continuous
A) Discrete
The height of a randomly selected student
A) Continuous
B) Discrete
A) Continuous

Determine whether the following is a probability distribution. If not, identify the requirement that is not satisfied.
Not a probability distribution. The sum of the P(x)'s is not 1, since 1.077 1.000.

The number of golf balls ordered by customers of a pro shop has the
following probability distribution. Find the mean
A) μ = 8.46
B) μ = 9
C) μ = 9.06
D) μ = 5.79
A) μ = 8.46
Use 1-Var stats
The probabilities that a batch of 4 computers will contain 0, 1, 2,
3, and 4 defective computers are 0.5729, 0.3424, 0.0767, 0.0076, and
0.0003, respectively. Find the mean
A) μ = 2.00
B) μ = 0.42
C) μ = 0.52
D) μ = 1.09
C) μ = 0.52
Use 1-Var stats

In a certain town, 70% of adults have a college degree. The
accompanying table describes the probability distribution for the
number of adults (among 4 randomly selected adults) who have a college
degree. Find the standard deviation for the probability distribution.
A) σ = 2.95
B) σ = 0.84
C) σ = 0.92
D) σ = 1.06
C) σ = 0.92
Use 1-Var stats
Assume that there is a 0.05 probability that a sports playoff series
will last four games, a 0.45 probability that it will last five games,
a 0.45 probability that it will last six games, and a 0.05 probability
that it will last seven games. Is it unusual for a team to win a
series in 4 games?
A) Yes
B) No
A) Yes
.05 or above would be unusual

Find the probability of selecting 12 or more girls.
A) 0.006
B) 0.022
C) 0.001
D) 0.007
D) 0.007
.006+.001+.000

Find the probability of selecting exactly 4 girls.
A) 0.061
B) 0.001
C) 0.022
D) 0.122
A) 0.061

Find the probability of selecting 2 or more girls.
A) 0.999
B) 0.994
C) 0.001
D) 0.006
A) 0.999
compliment of (001 + .000)
1-.001
Ten apples, four of which are rotten, are in a refrigerator. Three apples are randomly selected without replacement. Let the random variable x represent the number chosen that are rotten. Construct a table describing the probability distribution, then find the mean and standard deviation for the random variable x.

μ = 1.200
σ = 0.748
P(x):
0 = 6c3/10c3 = 0.167
1 = (6c2*4c1)/10c3 = 0.5
2 = (6c1*4c2)/10c3 = 0.3
3 = 4c3/10c3 = .033
0 = 6good C 3need / 10total C 3trial
1 = (6good C 2need *
4bad C 1need) / 10total C 3trial
2 = (6good C 1need * 4bad C
2need) / 10total C 3trial
3 = 4bad C 3need / 10total C 3trial
Use 1-Var stats
Suppose you pay $2.00 to roll a fair die with the understanding that
you will get back $4.00 for rolling a 2 or a 4, nothing otherwise.
What is your expected value?
A) -$0.67
B) -$2.00
C) $4.00
D) $2.00
A) -$0.67
L1 = -2 , (4-2)
L2 = 4/6 , 2/6
Run 1-Var stats
The prizes that can be won in a sweepstakes are listed below together
with the chances of winning each one: $3800 (1 chance in 8600); $1700
(1 chance in 5400); $700 (1 chance in 4600); $200 (1 chance in 2600).
Find the expected value of the amount won for one entry if the cost of
entering is 55 cents.
A) $0.44
B) $0.47
C) $0.91
D) $200
A) $0.44
L1 = -.55 , $3800 , $1700 , $700 , $200
L2 = 1 , 1/8600 ,
1/5400 , 1/4600 , 1/2600
Run 1-Var stats
Multiple-choice questions on a test each have 4 possible answers, one
of which is correct.
Assume that you guess the answers to 5 such
questions.
a. Use the multiplication rule to find the probability that the
first 2 guesses are wrong and the last 3 guesses are correct. That is,
find P(WWCCC), where C denotes a correct answer and W denotes a wrong
answer.
b. Make a complete list of the different possible arrangements
of 2 wrong answers and 3 correct answers, then find the probability
for each entry in the list.
c. Based on the preceding results, what is the probability of
getting exactly 3 correct answers when 5 guesses are made?
a. 0.00879
b. WWCCC
WCWCC
WCCWC
WCCCW
CWWCC
CWCWC
CWCCW
CCWWC
CCWCW
CCCWW
Each
of the 10 arrangements has probability 0.00879
c. 0.0879
Assume that a procedure yields a binomial distribution with a trial
repeated n times. Use the binomial probability formula to find the
probability of x successes given the probability p of success on a
single trial. Round to three decimal places.
n =12, x = 5, p = 0.25
A) 0.027
B) 0.103
C) 0.082
D) 0.091
B) 0.103
use binompdf
An airline estimates that 90% of people booked on their flights
actually show up. If the airline books 71 people on a flight for which
the maximum number is 69, what is the probability that the number of
people who show up will exceed the capacity of the plane?
A) 0.004
B) 0.022
C) 0.005
D) 0.001
C) 0.005
use binomcdf
71 = trials
.9 = P
69 = X
= .9949
Compliment
1-.9949
A car insurance company has determined that 9% of all drivers were
involved in a car accident last year. Among the 11 drivers living on
one particular street, 3 were involved in a car accident last year. If
11 drivers are randomly selected, what is the probability of getting 3
or more who were involved in a car accident last year?
A) 0.424
B) 0.057
C) 0.070
D) 0.943
C) 0.070
use binomcdf
11 = trials
.09 = P
2 = X
= .9305
Compliment
1-.9305
=.0694?
An archer is able to hit the bull's-eye 50% of the time. If she
shoots 8 arrows, what is the probability that she gets exactly 4
bull's-eyes? Assume each shot is independent of the others.
A) 0.219
B) 0.0625
C) 0.273
D) 0.00391
C) 0.273
use binompdf
8 = trials
.5 = P
4 = X
Suppose that 11% of people are left handed. If 5 people are selected
at random, what is the probability that exactly 2 of them are left
handed?
A) 0.0105
B) 0.171
C) 0.0853
D) 0.0121
C) 0.0853
use binompdf
5 = trials
.11 = P
2 = X
Find the mean, μ,
n = 2164; p = 0.63
A) μ = 1358.0
B) μ = 1367.0
C) μ = 1363.3
D) μ = 1354.8
C) μ = 1363.3
2164 * 0.63
Find the standard deviation, σ.
n = 47; p = 3/5
A) σ = 0.95
B) σ = 3.36
C) σ = 7.48
D) σ = 6.63
B) σ = 3.36
sqrt(47*(3/5)*(2/5))
On a multiple choice test with 9 questions, each question has four
possible answers, one of which is correct. For students who guess at
all answers, find the mean for the number of correct answers.
A) 4.5
B) 3
C) 2.3
D) 6.8
C) 2.3
9 * 1/4
The probability is 0.6 that a person shopping at a certain store will
spend less than $20. For groups of size 24, find the mean number who
spend less than $20.
A) 12.0
B) 8.0
C) 9.6
D) 14.4
D) 14.4
24 * .6
On a multiple choice test with 18 questions, each question has four
possible answers, one of which is correct. For students who guess at
all answers, find the variance for the number of correct answers.
A) 11.4
B) 33.8
C) 3.4
D) 1.8
C) 3.4
18*(3/5)*(2/5)
Consider as unusual any result that differs from the mean by more
than 2 standard
deviations. That is, unusual values are either
less than μ - 2σ or greater than μ + 2σ.
A survey for brand recognition is done and it is determined that
68% of consumers have heard of Dull Computer Company. A survey of 800
randomly selected consumers is to be conducted. For such groups of
800, would it be unusual to get 595 consumers who recognize the Dull
Computer Company name?
A) Yes
B) No
A) Yes
Mean = 800 * .68 = 544
S = sqrt(800 *.68 * .32) = 13.1939
(595 - 544)/13.1939 = 3.9

What is the probability that the random variable has a value greater
than 4?
A) 0.450
B) 0.625
C) 0.500
D) 0.375
C) 0.500
(8-4)*.125

What is the probability that the random variable has a value less
than 7.4?
A) 1.0500
B) 0.6750
C) 0.9250
D) 0.8000
C) 0.9250
(7.4-0)*.125

What is the probability that the random variable has a value between
0.1 and 6.2?
A) 0.8875
B) 1.0125
C) 0.7625
D) 0.6375
C) 0.7625
(6.2-.1)*.125

Find the area of the shaded region. The graph depicts the standard
normal distribution with mean 0 and standard deviation 1.
A) 0.8485
B) 0.8708
C) 0.8907
D) 0.1292
B) 0.8708
use normalcdf
upper 1.13

Find the area of the shaded region. The graph depicts the standard
normal distribution with mean 0 and standard deviation 1.
A) 0.9699
B) 0.0301
C) 0.9398
D) 0.0602
C) 0.9398
use normalcdf
lower -1.88
upper 1.88

Find the indicated z score. The graph depicts the standard normal
distribution with mean 0 and standard deviation 1.
Shaded area is 0.0901.
A) -1.26
B) -1.45
C) -1.39
D) -1.34
D) -1.34
invNorm
The probability that z lies between -0.55 and 0.55
A) -0.4176
B) -0.9000
C) 0.4176
D) 0.9000
C) 0.4176
use normalcdf
lower -.55
upper .55
P(z > 0.59)
A) 0.2224
B) 0.7224
C) 0.2190
D) 0.2776
D) 0.2776
use normalcdf
lower .59
upper 99
P(-0.73 < z < 2.27)
A) 0.7557
B) 1.54
C) 0.4884
D) 0.2211
A) 0.7557
use normalcdf
lower -.73
upper 2.27
Find the indicated value.
z0.05
A) 1.545
B) 1.755
C) 1.645
D) 1.325
C) 1.645
invNorm

Find the area of the shaded region. The graph depicts IQ scores of
adults, and those scores are normally distributed with a mean of 100
and a standard deviation of 15 (as on the Wechsler test).
A) 0.6293
B) 0.8051
C) 0.4400
D) 0.7486
D) 0.7486
(110-100)/15
=.6666666667
use normalcdf
lower -99
upper .6666666667
Find the IQ score separating the top 14% from the others.
A) 83.7
B) 104.7
C) 99.8
D) 116.2
D) 116.2
1-.14 = .86
invNorm = 1.0803
(1.0803*15)+100 = 116.2
A bank's loan officer rates applicants for credit. The ratings are
normally distributed with a mean of 200 and a standard deviation of
50. Find P60, the score which separates the lower 60% from the top
40%.
A) 212.5
B) 211.3
C) 207.8
D) 187.5
A) 212.5
invNorm .6 = .2533
(.2533*50)+200
The serum cholesterol levels for men in one age group are normally
distributed with a mean of 178.1 and a standard deviation of 40.9. All
units are in mg/100 mL. Find the two levels that separate the top 9%
and the bottom 9%.
A) 123.3 mg/100mL and 232.9 mg/100mL
B) 161.3 mg/100mL
and 194.9 mg/100mL
C) 165.0 mg/100mL and 191.19 mg/100mL
D) 106.9 mg/100mL and 249.3 mg/100mL
A) 123.3 mg/100mL and 232.9 mg/100mL
invNorm .09 = 1.340755
(-1.340755*40.9)+178.1 = 123.263
invNorm (1-.09) = 1.340755
(1.340755*40.9)+178.1 = 232.9
The incomes of trainees at a local mill are normally distributed with
a mean of $1100 and a standard deviation of $150. What percentage of
trainees earn less than $900 a month?
A) 35.31%
B) 40.82%
C) 90.82%
D) 9.18%
D) 9.18%
(900-1100)/150 = -1.33333333
use normalcdf
lower
-99
upper -1.33333333
The weekly salaries of teachers in one state are normally distributed
with a mean of $490 and a standard deviation of $45. What is the
probability that a randomly selected teacher earns more than $525 a
week?
A) 0.7823
B) 0.2823
C) 0.2177
D) 0.1003
C) 0.2177
($525-$490)/$45 = .777
use normalcdf
lower .7777
upper 99
The lengths of human pregnancies are normally distributed with a mean
of 268 days and a standard deviation of 15 days. What is the
probability that a pregnancy lasts at least 300 days?
A) 0.0179
B) 0.9834
C) 0.0166
D) 0.4834
C) 0.0166
(300-268)/15 = 2.1333
use normalcdf
lower 2.1333
upper 99
A poll of 1700 randomly selected students in grades 6 through 8 was conducted and found that 37% enjoy playing sports. Is the 37% result a statistic or a parameter? Explain.
Statistic, because it is calculated from a sample, not a population.
The amount of snowfall falling in a certain mountain range is
normally distributed with a mean of 91 inches, and a standard
deviation of 10 inches. What is the probability that the mean annual
snowfall during 25 randomly picked years will exceed 93.8 inches?
A) 0.5808
B) 0.0808
C) 0.4192
D) 0.0026
B) 0.0808
New S = 10/sqrt(25)= 2
(93.8-91)/2 = 1.4
use normalcdf
lower 1.4
upper 99
A bank's loan officer rates applicants for credit. The ratings are
normally distributed with a mean of 200 and a standard deviation of
50. If 40 different applicants are randomly selected, find the
probability that their mean is above 215.
A) 0.3821
B) 0.4713
C) 0.0287
D) 0.1179
C) 0.0287
New S = 50/sqrt(40)= 7.90569415
(215-200)/7.90569415 =
1.897366596
use normalcdf
lower 1.4
upper 99
Assume that women's heights are normally distributed with a mean of
63.6 inches and a standard deviation of 2.5 inches. If 90 women are
randomly selected, find the probability that they have a mean height
between 62.9 inches and 64.0 inches.
A) 0.9318
B) 0.7248
C) 0.1739
D) 0.0424
A) 0.9318
New S = 2.5/sqrt(90)= .263523
(62.9-63.6)/.263523 =
-2.656314629
(64-63.6)/.263523 = 1.517894
use normalcdf
lower -2.656314629
upper 1.517894
A final exam in Math 160 has a mean of 73 with standard deviation
7.8. If 24 students are randomly selected, find the probability that
the mean of their test scores is greater than 71.
A) 0.8962
B) 0.9012
C) 0.0008
D) 0.5036
A) 0.8962
New S = 7.8/sqrt(24)= 1.592168
(71-73)/1.592168 = -1.2561
use normalcdf
lower -2.656314629
upper 1.517894
State whether or not it is suitable to use the normal distribution as
an approximation.
n = 59 and p = 0.7
A) Normal approximation is suitable.
B) Normal
approximation is not suitable.
A) Normal approximation is suitable.
59 * 0.7 = 41.3
59 * 0.3 = 17.7
both > 10 = suitable
State whether or not it is suitable to use the normal distribution as
an approximation.
n = 45 and p = 0.9
A) Normal approximation is suitable.
B) Normal
approximation is not suitable.
B) Normal approximation is not suitable.
45 * .9 = 40.5
45 * .1 = 4.5
4.5 < 10 = not suitable
Estimate the indicated probability by using the normal distribution
as an approximation to the binomial distribution.
A certain question on a test is answered correctly by 22% of the
respondents. Estimate the probability that among the next 150
responses there will be at most 40 correct answers.
A) 0.8997
B) 0.9306
C) 0.0694
D) 0.1003
B) 0.9306
binomcdf
Estimate the indicated probability by using the normal distribution
as an approximation to the binomial distribution.
In one county, the conviction rate for speeding is 85%. Estimate
the probability that of the next 100 speeding summonses issued, there
will be at least 90 convictions.
A) 0.1038
B) 0.3962
C) 0.0420
D) 0.8962
A) 0.1038
binomcdf
89 = X
1-.9006
Use the normal distribution to approximate the desired probability.
Find the probability that in 200 tosses of a fair die, we will
obtain at least 40 fives.
A) 0.0871
B) 0.3871
C) 0.1210
D) 0.2229
C) 0.1210
binomcdf
39 = X
1-.8777
Use the normal distribution to approximate the desired probability.
Merta reports that 74% of its trains are on time. A check of 60
randomly selected trains shows that 38 of them arrived on time. Find
the probability that among the 60 trains, 38 or fewer arrive on time.
Based on the result, does it seem plausible that the
"on-time" rate of 74% could be correct?
A) 0.0409, yes
B) 0.0409, no
C) 0.0316, yes
D) 0.0316, no
B) 0.0409, no
binomcdf
60 = trials
.74 = P
38 = X
Find the critical value zα/2 that corresponds to a 99% confidence
level.
A) 1.645
B) 2.33
C) 2.575
D) 1.96
C) 2.575
(1-.99)/2 = .005
invNorm
The following confidence interval is obtained for a population
proportion, p: 0.843 < p < 0.875. Use these confidence interval
limits to find the margin of error, E.
A) 0.032
B) 0.859
C) 0.016
D) 0.017
C) 0.016
(.875 - .843)/2
Assume that a sample is used to estimate a population proportion p.
Find the margin of error E that corresponds to the given statistics
and confidence level.
95% confidence; n = 250, x = 130
A) 0.0650
B) 0.0743
C) 0.0557
D) 0.0619
D) 0.0619
p = 130/250 = .52
q = 1 - .52 = .48
E = 1.96 * sqrt(.52*.48)/250
Assume that a sample is used to estimate a population proportion p.
Find the margin of error E that corresponds to the given statistics
and confidence level.
95% confidence; the sample size is 5700, of which 20% are
successes
A) 0.00780
B) 0.0104
C) 0.0137
D) 0.0120
B) 0.0104
x = 5700 * .2 = 1140
q = 1 - .20 = .80
E = 1.96 * sqrt(.20*.80)/5700
Assume that a sample is used to estimate a population proportion p.
Find the margin of error E that corresponds to the given statistics
and confidence level.
In a clinical test with 1400 subjects, 420 showed improvement
from the treatment. Find the margin of error for the 99% confidence
interval used to estimate the population proportion.
A) 0.0180
B) 0.0276
C) 0.0315
D) 0.0240
C) 0.0315
p = 1400 * 420 = .3
q = 1 - .3 = .7
E = 2.576 * sqrt(.3*.7)/1400
Use the given degree of confidence and sample data to construct a
confidence interval for the population proportion p.
n = 128, x = 61; 90% confidence
A) 0.407 < p < 0.547
B) 0.408 < p < 0.546
C) 0.403 < p < 0.551
D) 0.404 < p < 0.550
D) 0.404 < p < 0.550
1-PropZInt
find the minimum sample size required
Margin of error: 0.008; confidence level: 99%; phat and qhat
unknown
A) 25,894
B) 15,900
C) 25,901
D) 26,024
C) 25,901
(2.5762)*.25 = 1.658944
1.658944/(.0082)
find the minimum sample size required
Margin of error: 0.04; confidence level: 99%; from a prior
study, phat is estimated by 0.07.
A) 156
B) 270
C) 324
D) 11
B) 270
(2.5762)*(.07*.93) = .431989
.431989/(.042)
A survey of 865 voters in one state reveals that 408 favor approval
of an issue before the legislature.
Construct the 95% confidence
interval for the true proportion of all voters in the state who favor
approval.
A) 0.435 < p < 0.508
B) 0.444 < p < 0.500
C) 0.438 < p < 0.505
D) 0.471 < p < 0.472
C) 0.438 < p < 0.505
1-PropZInt
Of 123 adults selected randomly from one town, 26 of them smoke.
Construct a 99% confidence interval for the true percentage of
all adults in the town that smoke.
A) 15.1% < p < 27.2%
B) 12.6% < p < 29.7%
C) 13.9% < p < 28.4%
D) 11.7% < p < 30.6%
D) 11.7% < p < 30.6%
1-PropZInt
In a certain population, body weights are normally distributed with a
mean of 152 pounds and a standard deviation of 26 pounds. How many
people must be surveyed if we want to estimate the percentage who
weigh more than 180 pounds? Assume that we want 96% confidence that
the error is no more than 3 percentage points.
A) 411
B) 1168
C) 564
D) 890
B) 1168
1-.96/2 (invNorm) = 2.054
(2.0542*.25)/.032
Find the critical value zα/2 that corresponds to a 98% confidence
level.
A) 1.75
B) 2.05
C) 2.575
D) 2.33
D) 2.33
(1->98)/2 = .01
invNorm
find the margin of error E.
Weights of eggs: 95% confidence; n
= 45, x = 1.50 oz, σ = 0.20 oz
A) 0.06 oz
B) 0.44 oz
C) 0.05 oz
D) 0.01 oz
A) 0.06 oz
1.96 * (.2/sqrt45) =.058
find a confidence interval for estimating the population μ.
Test scores: n = 76, x = 46.1, σ = 5.7; 98% confidence
A) 44.4 < μ < 47.8
B) 45.0 < μ < 47.2
C) 44.8 < μ < 47.4
D) 44.6 < μ < 47.6
D) 44.6 < μ < 47.6
ZInterval
48 packages are randomly selected from packages received by a parcel
service. The sample has a mean weight of 10.1 pounds and a standard
deviation of 2.9 pounds. What is the 95% confidence interval for the
true mean weight, μ, of all packages received by the parcel service?
A) 9.1 lb < μ < 11.1 lb
B) 9.0 lb < μ < 11.2
lb
C) 9.3 lb < μ < 10.9 lb
D) 9.4 lb < μ <
10.8 lb
C) 9.3 lb < μ < 10.9 lb
TInterval
How many women must be randomly selected to estimate the mean weight
of women in one age group. We want 90% confidence that the sample mean
is within 2.7 lb of the population mean, and the population standard
deviation is known to be 22 lb.
A) 256
B) 180
C) 181
D) 178
B) 180
1.645 * (22/2.7) = 13.403
13.4032 = 179.6
find zα/2 or tα/2
98%; n = 7; σ = 27; population appears to be normally
distributed.
A) tα/2 = 2.575
B) tα/2 = 1.96
C) zα/2 = 2.05
D) zα/2 = 2.33
D) zα/2 = 2.33
σ is known so Z
(1-.98)/2 = .01
invNorm
95%; n = 11; σ is known; population appears to be very skewed.
A) zα/2 = 1.812
B) tα/2 = 2.228
C) zα/2 = 1.96
D) Neither the normal nor the t distribution applies.
D) Neither the normal nor the t distribution applies.
both must have approximate bell curve - since population appears
to be skewed neither applies
find the margin of error.
95% confidence, n = 91, xbar = 24, s = 14.7
A) 3.06
B) 5.26
C) 2.62
D) 2.75
A) 3.06
1.98 * (14.7/sqrt91)
A savings and loan association needs information concerning the
checking account balances of its local customers. A random sample of
14 accounts was checked and yielded a mean balance of $664.14 and a
standard deviation of $297.29. Find a 98% confidence interval for the
true mean checking account balance for local customers.
A) $493.71 < μ < $834.57
B) $455.65 < μ <
$872.63
C) $453.59 < μ < $874.69
D) $492.52 < μ
< $835.76
C) $453.59 < μ < $874.69
TInterval
The football coach randomly selected ten players and timed how long
each player took to perform a certain drill. Determine a 95%
confidence interval for the mean time for all players.
7.5 10.3 9.3 8.1 11.1
7.9 6.9 11.4 10.7 12.2
A) 10.80 min < μ < 8.28 min
B) 10.90 min < μ
< 8.18 min
C) 8.28 min < μ < 10.80 min
D) 8.18
min < μ < 10.90 min
C) 8.28 min < μ < 10.80 min
Identify the null hypothesis, alternative hypothesis, test statistic,
P-value, conclusion about the null hypothesis, and final conclusion
that addresses the original claim.
A manufacturer considers his production process to be out of
control when defects exceed 3%. In a random sample of 85 items, the
defect rate is 5.9% but the manager claims that this is only a sample
fluctuation and production is not really out of control. At the 0.01
level of significance, test the manager's claim.
H0: p = .03
H1: p > .03
Test statistic: z = 1.57
P-value: p = 0.0582
Critical value: z = 2.33
Fail to
reject null hypothesis.
There is not sufficient evidence to
warrant rejection of the manager's claim that production is not really
out of control.
Use 1 PropZTest
invNorm for critical value
P value
is greater than significance so fail to reject
Identify the null hypothesis, alternative hypothesis, test statistic,
P-value, conclusion about the null hypothesis, and final conclusion
that addresses the original claim.
An article in a journal reports that 34% of American fathers
take no responsibility for child care. A researcher claims that the
figure is higher for fathers in the town of Littleton. A random sample
of 234 fathers from Littleton yielded 96 who did not help with child
care. Test the researcher's claim at the 0.05 significance level.
H0: p = 0.34
H1: p > 0.34
Test statistic: z = 2.27
P-value: p = 0.0116
Critical value: z = 1.645
Reject
null hypothesis.
There is sufficient evidence to support the
researcher's claim that the proportion for fathers in Littleton is
higher than 34%.
Use 1 PropZTest
invNorm for critical value
Identify the null hypothesis, alternative hypothesis, test statistic,
P-value, conclusion about the null hypothesis, and final conclusion
that addresses the original claim.
In a clinical study of an allergy drug, 108 of the 202 subjects
reported experiencing significant relief from their symptoms. At the
0.01 significance level, test the claim that more than half of all
those using the drug experience relief.
H0: p = 0.5
H1: p > 0.5
Test statistic: z = 0.99
P-value: p = 0.1611
Critical value: z = 2.33
Fail to
reject null hypothesis.
There is not sufficient evidence to
support the claim that more than half of all those using the drug
experience relief.
Use 1 PropZTest
invNorm for critical value
Find the P-value for the indicated hypothesis test.
In a sample of 88 children selected randomly from one town, it
is found that 8 of them suffer from asthma. Find the P-value for a
test of the claim that the proportion of all children in the town who
suffer from asthma is equal to 11%.
A) -0.2843
B) 0.5686
C) 0.2843
D) 0.2157
B) 0.5686
Use 1 PropZTest
Find the P-value for the indicated hypothesis test.
An airline claims that the no-show rate for passengers booked on
its flights is less than 6%. Of 380 randomly selected reservations, 18
were no-shows. Find the P-value for a test of the airline's claim.
A) 0.0746
B) 0.1230
C) 0.3508
D) 0.1492
D) 0.1492
Use 1 PropZTest
Identify the null hypothesis, alternative hypothesis, test statistic,
P-value, conclusion about the null hypothesis, and final conclusion
that addresses the original claim.
The health of employees is monitored by periodically weighing
them in. A sample of 54 employees has a mean weight of 183.9 lb.
Assuming that σ is known to be 121.2 lb, use a 0.10 significance level
to test the claim that the population mean of all such employees
weights is less than 200 lb.
H0: μ = 200
H1: μ < 200
Test statistic: z = -0.98
P-value: 0.1635
Fail to reject H0.
There is not
sufficient evidence to support the claim that the mean is less than
200 pounds.
Use Z-Test
Identify the null hypothesis, alternative hypothesis, test statistic,
P-value, conclusion about the null hypothesis, and final conclusion
that addresses the original claim.
A random sample of 100 pumpkins is obtained and the mean
circumference is found to be 40.5 cm. Assuming that the population
standard deviation is known to be 1.6 cm, use a 0.05 significance
level to test the claim that the mean circumference of all pumpkins is
equal to 39.9 cm.
H0: μ = 39.9
H1: μ 39.9
Test statistic: z = 3.75
P-value: 0.0002
Reject H0.
There is sufficient
evidence to warrant rejection of the claim that the mean equals 39.9
cm.
Use Z-Test
Identify the null hypothesis, alternative hypothesis, test statistic,
critical value or P-value, conclusion about the null hypothesis, and
final conclusion that addresses the original claim.
The mean resting pulse rate for men is 72 beats per minute. A
simple random sample of men who regularly work out at Mitch's Gym is
obtained and their resting pulse rates (in beats per minute) are
listed below. Use a 0.05 significance level to test the claim that
these sample pulse rates come from a population with a mean less than
72 beats per minute.
Assume that the standard deviation of the
resting pulse rates of all men who work out at Mitch's Gym is known to
be 6.6 beats per minute. Use the traditional method of testing
hypotheses.
54 61 69 84 74 64 69
70 66 80 59 71 76 63
H0: μ = 72 beats per minute
H1: μ < 72 beats per minute
Test statistic: z = -1.94
P-value: 0.026
Critical-value: z = -1.645
Reject H0
At the 5%
significance level, there is sufficient evidence to support the claim
that .these sample pulse rates come from a population with a mean less
than 72 beats per minute.
Use Z-Test
load data in L1
Determine whether the hypothesis test involves a sampling
distribution of means that is a normal distribution, Student t
distribution, or neither.
Claim: μ = 119.
Sample data: n = 11, x = 110, s = 15.2.
The sample data appear to come from a normally distributed
population with unknown μ and σ.
A) Normal
B) Student t
C) Neither
B) Student t
*unknown σ
Assume that a simple random sample has been selected from a normally
distributed population. Find the test statistic, P-value, critical
value(s), and state the final conclusion.
Test the claim that for the population of female college
students, the mean weight is given by μ = 132 lb. Sample data are
summarized as n = 20, x = 137 lb, and s = 14.2 lb. Use a significance
level of α = 0.1.
α = 0.1
Test statistic: t = 1.57
P-value: p = 0.1318
Critical values: t = ±1.729
Because the test statistic, t
< 1.729, we fail to reject the null hypothesis.
There is not
sufficient evidence to warrant rejection of the claim that μ = 132 lb.
Assume that a simple random sample has been selected from a normally
distributed population and test the given claim.
Identify the
null and alternative hypotheses, test statistic, critical value(s) or
P-value (or range of P-values) as appropriate, and state the final
conclusion that addresses the original claim.
A large software company gives job applicants a test of
programming ability and the mean for that test has been 160 in the
past. Twenty-five job applicants are randomly selected from one large
university and they produce a mean score and standard deviation of 183
and 12, respectively. Use a 0.05 level of significance to test the
claim that this sample comes from a population with a mean score
greater than 160. Use the P-value method of testing hypotheses.
H0: μ = 160
H1: μ > 160
Test statistic: t = 9.583
P-value < 0.005
Reject H0
There is sufficient
evidence to support the claim that the mean is greater than 160.
Assume that a simple random sample has been selected from a normally
distributed population and test the given claim.
Identify the
null and alternative hypotheses, test statistic, critical value(s) or
P-value (or range of P-values) as appropriate, and state the final
conclusion that addresses the original claim.
A cereal company claims that the mean weight of the cereal in
its packets is 14 oz. The weights (in ounces) of the cereal in a
random sample of 8 of its cereal packets are listed below.
14.6 13.8 14.1 13.7 14.0 14.4 13.6 14.2
Test the claim at the 0.01 significance level.
H0: μ = 14 oz.
H1: μ 14 oz.
Test statistic: t =
0.408
Critical values: t = ±3.499.
Fail to reject H0.
There is not sufficient evidence to warrant rejection of the
claim that the mean weight is 14 ounces.
Assume that you plan to use a significance level of α = 0.05 to test
the claim that p1 = p2, Use the given sample sizes and numbers of
successes to find the pooled estimate p.
n1 = 100 n2 = 100
x1 = 33 x2 = 36
A) 0.241
B) 0.380
C) 0.310
D) 0.345
D) 0.345
2-PropZTest
A researcher finds that of 1000 people who said that they attend a religious service at least once a week, 31 stopped to help a person with car trouble. Of 1200 people interviewed who had not attended a religious service at least once a month, 22 stopped to help a person with car trouble. At the 0.05 significance level, test the claim that the two proportions are equal.
H0: p1 = p2
H1: p1 p2
Test statistic: z = 1.93
Critical values: z = ±1.96
Fail to reject the null
hypothesis.
There is not sufficient evidence to warrant
rejection of the claim that the two proportions are equal.
2-PropZTest
two-tailed test Critical values = (.05
significance level)/2 before InvNorm
Seven of 8500 people vaccinated against a certain disease later developed the disease. 18 of 10,000 people vaccinated with a placebo later developed the disease. Test the claim that the vaccine is effective in lowering the incidence of the disease. Use a significance level of 0.02.
H0: p1 = p2
H1: p1 < p2
Test statistic: z = -1.80.
Critical value: z = -2.05.
Fail to reject the null
hypothesis.
There is not sufficient evidence to support the
claim that the vaccine is effective in lowering the incidence of the
disease.
2-PropZTest
Critical values = InvNorm
In a random sample of 300 women, 50% favored stricter gun control
legislation. In a random sample of 200 men, 28% favored stricter gun
control legislation. Construct a 98% confidence interval for the
difference between the population proportions p1 - p2.
A) 0.109 < p1 - p2 < 0.331
B) 0.136 < p1 - p2
< 0.304
C) 0.120 < p1 - p2 < 0.320
D) 0.132 <
p1 - p2 < 0.308
C) 0.120 < p1 - p2 < 0.320
2-PropZInt

Test the indicated claim about the means of two populations. Assume
that the two samples are independent simple random samples selected
from normally distributed populations. Do not assume that the
population standard deviations are equal. Use the traditional method
or P-value method as indicated.
A researcher wishes to determine whether people with high blood
pressure can reduce their blood pressure, measured in mm Hg, by
following a particular diet. Use a significance level of 0.01 to test
the claim that the treatment group is from a population with a smaller
mean than the control group. Use the traditional method of hypothesis testing.
H0: μ1 = μ2.
H1: μ1 < μ2.
Test statistic: t = -8.426
Critical value: -2.364
Reject the null hypothesis.
There is sufficient evidence to support the claim that the
treatment group is from a population with a smaller mean than the
control group.
2-SampTTest
Critical value = InvNorm

Test the indicated claim about the means of two populations. Assume
that the two samples are independent simple random samples selected
from normally distributed populations. Do not assume that the
population standard deviations are equal. Use the traditional method
or P-value method as indicated.
A researcher wishes to determine whether the blood pressure of
vegetarians is, on average, lower than the blood pressure of
nonvegetarians. Independent simple random samples of 85 vegetarians
and 75 nonvegetarians yielded the following sample statistics for
systolic blood pressure
Use a significance level of 0.01 to test the claim that the mean
systolic blood pressure of vegetarians is lower than the mean systolic
blood pressure of nonvegetarians. Use the P-value method of hypothesis testing.
H0: μ1 = μ2
H1: μ1 < μ2
Test statistic: t = -2.365
0.005 < P-value < 0.01??????
Reject H0
At the
1% significance level, there is sufficient evidence to support the
claim that the mean systolic blood pressure of vegetarians is lower
than the mean systolic blood pressure of nonvegetarians.
2-SampTTest
Critical value = InvNorm
Construct the indicated confidence interval for the difference
between the two population means. Assume that the two samples are
independent simple random samples selected from normally distributed
populations. Do not assume that the population standard deviations are
equal.
Independent samples from two different populations yield the
following data. x1 = 260, x2 = 314, s1 = 75, s2 = 33. The sample size
is 399 for both samples. Find the 85% confidence interval for μ1 - μ2.
A) -55 < μ1 - μ2 < -53
B) -60 < μ1 - μ2 < -48
C) -70 < μ1 - μ2 < -38
D) -62 < μ1 - μ2 < -46
D) -62 < μ1 - μ2 < -46
I keep getting B) when using 2-SampTint
B) -60 < μ1 -
μ2 < -48
If anyone knows what I am doing wrong please comment below

A researcher was interested in comparing the amount of time spent
watching television by women and by men. Independent simple random
samples of 14 women and 17 men were selected, and each person was
asked how many hours he or she had watched television during the
previous week. The summary statistics are as follows.
The following 99% confidence interval was obtained for μ1 - μ2,
the difference between the mean amount of time spent watching
television for women and the mean amount of time spent watching
television for men: -7.33 hrs < μ1 - μ2 < 2.53 hrs.
What does the confidence interval suggest about the population
means?
A) The confidence interval includes only negative values which
suggests that the mean amount of time spent watching television for
women is smaller than the mean amount of time spent watching
television for men.
B) The confidence interval limits include 0 which suggests that
the two population means are unlikely to be equal. There appears to be
a significant difference between the mean amount of time spent
watching television for women and the mean amount of time spent
watching television for men.
C) The confidence interval includes only positive values which
suggests that the mean amount of time spent watching television for
women is larger than the mean amount of time spent watching television
for men.
D) The confidence interval limits include 0 which suggests that
the two population means might be equal. There does not appear to be a
significant difference between the mean amount of time spent watching
television for women and the mean amount of time spent watching
television for men.
D) The confidence interval limits include 0 which suggests that the two population means might be equal. There does not appear to be a significant difference between the mean amount of time spent watching television for women and the mean amount of time spent watching television for men.

Perform the indicated hypothesis test. Assume that the two samples
are independent simple random samples selected from normally
distributed populations. Also assume that the population standard
deviations are equal (σ1 = σ2), so that the standard error of the
difference between means is obtained by pooling the sample variances .
A researcher was interested in comparing the amount of time
spent watching television by women and by men. Independent simple
random samples of 14 women and 17 men were selected, and each person
was asked how many hours he or she had watched television during the
previous week. The summary statistics are as follows.
Use a 0.05 significance level to test the claim that the mean
amount of time spent watching television by women is smaller than the
mean amount of time spent watching television by men. Use the
traditional method of hypothesis testing.
H0: μ1 = μ2
H1: μ1 < μ2
Test statistic: t = -3.451
Critical value: t = -1.699
Reject H0.
At the 5%
significance level, there is sufficient evidence to support the claim
that the mean amount of time spent watching television by women is
smaller than the mean amount of time spent watching television by men.
2-SampTTest

Perform the indicated hypothesis test. Assume that the two samples
are independent simple random samples selected from normally
distributed populations. Also assume that the population standard
deviations are equal (σ1 = σ2), so that the standard error of the
difference between means is obtained by pooling the sample variances .
A researcher was interested in comparing the GPAs of students at
two different colleges. Independent simple random samples of 8
students from college A and 13 students from college B yielded the
following GPAs.
Use a 0.10 significance level to test the claim that the mean
GPA of students at college A is equal to the mean GPA of students at
college B. Use the traditional method of hypothesis testing.
(Note: x1 = 3.1125, x2 = 3.4385, s1 = 0.4357, s2 = 0.5485.)
H0: μ1 = μ2
H1: μ1 μ2
Test statistic: t = -1.423
Critical values: t = ±1.729
Do not reject H0.
At
the 10% significance level, there is not sufficient evidence to
warrant rejection of the claim that the mean GPA of students at
college A is equal to the mean GPA of students at college B.
2-SampTTest

Construct the indicated confidence interval for the difference
between the two population means. Assume that the two samples are
independent simple random samples selected from normally distributed
populations. Also assume that the population standard deviations are
equal (σ1 = σ2), so that the standard error of the difference between
means is obtained by pooling the sample variances .
A researcher was interested in comparing the amount of time
spent watching television by women and by men. Independent simple
random samples of 14 women and 17 men were selected and each person
was asked how many hours he or she had watched television during the
previous week. The summary statistics are as follows.
Construct a 95% confidence interval for μ1 - μ2, the difference
between the mean amount of time spent watching television for women
and the mean amount of time spent watching television for men.
A) -7.30 hrs < μ1 - μ2 < -0.50 hrs
B) -6.62 hrs
< μ1 - μ2 < -1.18 hrs
C) -7.18 hrs < μ1 - μ2 < -0.62
hrs
D) -7.45 hrs < μ1 - μ2 < -0.35 hrs
C) -7.18 hrs < μ1 - μ2 < -0.62 hrs

Construct the indicated confidence interval for the difference
between the two population means. Assume that the two samples are
independent simple random samples selected from normally distributed
populations. Also assume that the population standard deviations are
equal (σ1 = σ2), so that the standard error of the difference between
means is obtained by pooling the sample variances .
A paint manufacturer wanted to compare the drying times of two
different types of paint. Independent simple random samples of 11 cans
of type A and 9 cans of type B were selected and applied to similar
surfaces. The drying times, in hours, were recorded. The summary
statistics are as follows.
Construct a 99% confidence interval for μ1 - μ2, the difference
between the mean drying time for paint type A and the mean drying time
for paint type B.
A) -1.85 hrs < μ1 - μ2 < 8.25 hrs
B) -0.67 hrs <
μ1 - μ2 < 7.07 hrs
C) 0.17 hrs < μ1 - μ2 < 6.23 hours
D) -1.16 hrs < μ1 - μ2 < 7.56 hrs
D) -1.16 hrs < μ1 - μ2 < 7.56 hrs

The two data sets are dependent. Find d to the nearest tenth.
A) 43.0
B) 20.6
C) 34.4
D) 44.7
C) 34.4
Find sd.
The differences between two sets of dependent data are
15, 27, 3, 3, 12. Round to the nearest tenth.
A) 12.9
B) 19.8
C) 7.9
D) 9.9
D) 9.9

A coach uses a new technique in training middle distance runners. The
times for 9 different athletes to run 800 meters before and after this
training are shown below.
Construct a 99% confidence interval for the mean difference of
the "before" minus "after" times.
A) -0.85 < μd < 3.29
B) -0.76 < μd < 3.20
C) -0.82 < μd < 3.26
D) -0.54 < μd < 2.98
C) -0.82 < μd < 3.26

A test of abstract reasoning is given to a random sample of students
before and after they completed a formal logic course. The results are
given below. Construct a 95% confidence interval for the mean
difference between the before and after scores.
A) 0.2 < μd < 7.2
B) 1.2 < μd < 5.7
C)
0.8 < μd < 6.6
D) 1.0 < μd < 6.4
A) 0.2 < μd < 7.2

Use the traditional method of hypothesis testing to test the given
claim about the means of two populations. Assume that two dependent
samples have been randomly selected from normally distributed
populations.
Five students took a math test before and after tutoring. Their
scores were as follows.
Using a 0.01 level of significance, test the claim that the
tutoring has an effect on the math scores.
H0: μd = 0.
H1: μd 0.
Test statistic: t = -2.134.
Critical values: t = 4.604, -4.604.
Fail to reject H0.
There is not sufficient evidence to support the claim that the
tutoring has an effect.

Use the traditional method of hypothesis testing to test the given
claim about the means of two populations. Assume that two dependent
samples have been randomly selected from normally distributed
populations.
A coach uses a new technique to train gymnasts. 7 gymnasts were
randomly selected and their competition scores were recorded before
and after the training. The results are shown below.
Using a 0.01 level of significance, test the claim that the
training technique is effective in raising the gymnasts' scores.
H0: μd = 0.
H1: μd < 0
Test statistic t = -0.880.
Critical value: t = -3.143.
Fail to reject H0.
There is not sufficient evidence to support the claim that the
technique is effective in raising the gymnasts' scores.
Given the linear correlation coefficient r and the sample size n,
determine the critical values of r and use your finding to state
whether or not the given r represents a significant linear
correlation. Use a significance level of 0.05.
r = 0.41, n = 25
A) Critical values: r = ±0.487, no significant linear
correlation
B) Critical values: r = ±0.396, significant linear
correlation
C) Critical values: r = ±0.487, significant linear
correlation
D) Critical values: r = ±0.396, no significant
linear correlation
B) Critical values: r = ±0.396, significant linear correlation

Which shows the strongest linear correlation?


Find the value of the linear correlation coefficient r.
A) -0.209
B) 0
C) 0.209
D) 0.186
C) 0.209

Find the value of the linear correlation coefficient r.
The paired data below consist of the test scores of 6 randomly
selected students and the number of hours they studied for the test.
A) 0.224
B) 0.678
C) -0.224
D) -0.678
A) 0.224
Suppose you will perform a test to determine whether there is
sufficient evidence to support a claim of a linear correlation between
two variables. Find the critical values of r given the number of pairs
of data n and the significance level α.
n = 14, α = 0.01
A) r = ±0.661
B) r = ±0.532
C) r = 0.661
D)
r = 0.684
A) r = ±0.661
Describe the error in the stated conclusion.
Given: There is a significant linear correlation between the
number of homicides in a town and the number of movie theaters in a
town.
Conclusion: Building more movie theaters will cause the homicide
rate to rise.
Significant correlation does not imply causality. Both variables are affected by a third variable (a lurking variable), namely the population of the town.
Describe the error in the stated conclusion.
Given: Each school in a state reports the average SAT score of
its students. There is a significant linear correlation between the
average SAT score of a school and the average annual income in the
district in which the school is located.
Conclusion: There is a significant linear correlation between
individual SAT scores and family income.
Averages suppress individual variation and tend to inflate the correlation coefficient. The fact that there is significant linear correlation between average SAT scores and average incomes in the district does not necessarily imply that there is significant linear correlation between individual SAT scores and family incomes.
Describe the error in the stated conclusion.
Given: The linear correlation coefficient between scores on a
math test and scores on a test of athletic ability is negative and
close to zero.
Conclusion: People who score high on the math test tend to score
lower on the test of athletic ability.
Because the linear correlation coefficient is close to zero and is probably not significant, no conclusion can be reached regarding the relationship between scores on the math test and scores on the test of athletic ability.
Use the given data to find the best predicted value of the response
variable.
Six pairs of data yield r = 0.444 and the regression equation
yhat = 5x + 2. Also, ybar = 18.3. What is the best predicted value of
y for x = 5?
A) 27
B) 93.5
C) 4.22
D) 18.3
D) 18.3
Use the given data to find the best predicted value of the response
variable.
The regression equation relating attitude rating (x) and job
performance rating (y) for the employees of a company is yhat = 11.7 +
1.02x. Ten pairs of data were used to obtain the equation. The same
data yield r = 0.863 and ybar = 80.1. What is the best predicted job
performance rating for a person whose attitude rating is 68?
A) 80.1
B) 12.6
C) 81.1
D) 79.9
C) 81.1

Use the given data to find the equation of the regression line. Round
the final values to three significant digits, if necessary.
A) yhat = 0.15 + 3.0x
B) yhat = 3.0x
C) yhat =
0.15 + 2.8x
D) yhat = 2.8x
B) yhat = 3.0x

Use the given data to find the equation of the regression line. Round
the final values to three significant digits, if necessary.
Ten students in a graduate program were randomly selected. Their
grade point averages (GPAs) when they entered the program were between
3.5 and 4.0. The following data were obtained regarding their GPAs on
entering the program versus their current GPAs.
A) yhat = 5.81 + 0.497x
B) yhat = 2.51 + 0.329x
C)
yhat = 4.91 + 0.0212x
D) yhat = 3.67 + 0.0313x
D) yhat = 3.67 + 0.0313x

Use the given data to find the equation of the regression line. Round
the final values to three significant digits, if necessary.
Managers rate employees according to job performance and
attitude. The results for several randomly selected employees are
given below.
A) yhat = 92.3 - 0.669x
B) yhat = 2.81 + 1.35x
C)
yhat = -47.3 + 2.02x
D) yhat = 11.7 + 1.02x
D) yhat = 11.7 + 1.02x

Is the data point, P, an outlier, an influential point, both, or
neither?
A) Both
B) Influential point
C) Neither
D) Outlier
A) Both

Is the data point, P, an outlier, an influential point, both, or
neither?
A) Neither
B) Both
C) Outlier
D) Influential point
C) Outlier

Nine adults were selected at random from among those working full
time in the town of Workington.
Each person was asked the number
of years of college education they had completed and was also asked to
rate their job satisfaction on a scale of 1 to 10. The pairs of data
values area plotted in the scatterplot below.
The four points in the lower left corner correspond to employees
from company A and the five points in the upper right corner
correspond to employees from company B.
a. Using the pairs of
values for all 9 points, find the equation of the regression line.
b. Using only the pairs of values for the four points in the
lower left corner, find the equation of the regression line.
c.
Using only the pairs of values for the five points in the upper right
corner, find the equation of the regression line.
d. Compare the
results from parts a, b, and c.
a. yhat = 0.833 + 1.25x
b. yhat = 1.5 + 0.5x
c. yhat =
10.29 - 0.643x
d. The results are very different indicating that
combinations of clusters can produce results that differ dramatically
from results within each cluster alone.

The following residual plot is obtained after a regression equation is determined for a set of data. Does the residual plot suggest that the regression equation is a bad model? Why or why not?
No, the residual plot does not suggest that the regression equation is a bad model. The residual plot does not have an obvious pattern that is not a straight line. This confirms that a scatterplot of the sample data is a straight line. The residual plot does not become thicker or thinner when viewed from left to right. This confirms that for different fixed values of x, the distributions of the corresponding y-values all have the same standard deviation.