A mutation in the gene coding for a single-polypeptide enzyme results in the substitution of the amino acid serine, which has a polar R group, by the amino acid phenylalanine, which has a nonpolar R group. When researchers test the catalysis of the normal enzyme and the mutated enzyme, they find that the mutated enzyme has much lower activity than the normal enzyme does. Which of the following most likely explains how the amino acid substitution has resulted in decreased catalytic activity by the mutated enzyme?
The substitution altered the secondary and tertiary structure of the enzyme so that the mutated enzyme folds into a different shape than the normal enzyme does.
Bacteriophages are viruses that infect bacteria. In an experiment, bacteriophages were labeled with either radioactive phosphorus or radioactive sulfur. The labeled bacteriophages were incubated with bacteria for a brief amount of time and then removed. The infected bacteria cells were found to contain significant amounts of radioactive phosphorus but not radioactive sulfur. Based on the results of the experiment, which of the following types of molecules did the bacteriophages most likely inject into the bacteria cells?
DNA
Which of the following is responsible for the cohesive property of water?
Hydrogen bonds between the oxygen atom of one water molecule and a hydrogen atom of another water molecule
A typical bag of fertilizer contains high levels of nitrogen, phosphorus, and potassium but trace amounts of magnesium and calcium. Which of the following best matches the fertilizer component with the molecule in which it will be incorporated by organisms in the area?
Nitrogen will be incorporated into nucleic acids.
If 30% of the nucleotides in a single-stranded RNA molecule are adenine, then what percent are expected to be thymine?
0%
Amylase is an enzyme that converts carbohydrate polymers into monomers. Glycogen synthase is one of the enzymes involved in converting carbohydrate monomers into polymers. Which of the following best explains the reactions of these enzymes?
Amylase aids in the addition of a water molecule to break covalent bonds whereas glycogen synthase aids in the removal of a water molecule to form covalent bonds.
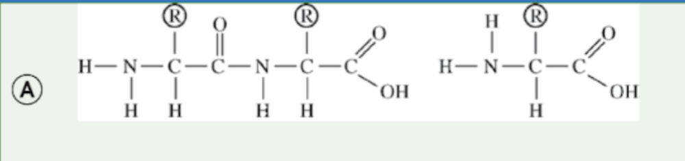
Which of the following correctly illustrates a dipeptide and an amino acid in the optimal position to form a tripeptide

- A researcher measured the temperature at which two different samples of double-stranded
DNA denature (separate into single strands). Sample 1denatured at a significantly lower temperature than sample 2 did. Based on the data, the researcher claims that the DNA in sample 2 is composed of a higher percentage of guanine and cytosine than the DNA
in sample 1 is. Which of the following best supports the researchers claim?
Guanine-cytosine pairs denature at a higher temperature because they have more hydrogen bonds between them than adenine-thymine pairs do.
High levels of certian plant nutrients in runoff can lead to rapid growth of algae in aquatic ecosystems. Which of the following best explains how higher concentrations of nitrogen and phosphorus contribute to eutrophication.
Algae require nitrogen and phosphorus to build macromolecules, so higher concentrations of these nutrients can result in algal blooms.
This group of questions refers to the following groups of biological compounds. Used to carry the genetic code
Nucleic acids
Which of the following best describes the hydrolysis of carbohydrates?
The addition of a water molecule breaks a covalent bond between sugar monomers.
A common test for liver function involves sprinkling sulfur powder onto a sample of urine (mostly water with dissolved bodily waste). Sulfur powder sprinkled on a sample from an individual with impaired liver function will sink because the urine contains a high level of bile salts, while the sulfur powder sprinkled on normal urine samples will float. Which of the following best explains why bile salts cause the sulfur powder to sink?
Bile salts decrease the surface tension of the urine sample
A feature of organic compounds NOT found in inorganic compounds is the presence of
carbon atoms covalently bonded to each other
Which of the following best explains why a cell’s plasma membrane is composed of two layers of phospholipids rather than just a single layer?
Having two oppositely oriented layers of phospholipids allows only the hydrophilic heads to interact with water inside and outside of the cell.
The amino acid in figure 1 is found in a region of a polypeptide that folds away from water. Which part of the amino acid most likely contributes to the hydrophobic behavior of this region of the polypeptide?
Methyl (CH3) group
Which of the following best describes the process by which gas from the atmosphere is obtained by plants and used to build lipids?
Gas is directly obtained by plants as part of the carbon cycle.
The diagram shows how water can adhere to the xylem stems of plants, which contributes to water movement in the plant. Which of the following best explains how water is able to move upward from the roots of a plant, through its xylem in the stem, and out to the leaves?
Water and the xylem are both polar. Water molecules have the ability to form hydrogen bonds with each other and with the walls of the xylem.
Humans produce sweat as a cooling mechanism to maintain a stable internal temperature. Which of the following best explains how the properties of water contribute to this physiological process?
The high heat of vaporization of water allows the body to remove excess heat through a phase change of water from liquid to gas.
The synthesis of protein or carbohydrate polymers always produces which of the following as a byproduct?
water
The sequences for two short fragments of DNA are shown above. Which of the following is one way in which these two segments would differ?
Segment 1 would become denatured at a lower temperature than would segment 2 because A-T base pairs have two hydrogen bonds whereas G-C base pairs have three.
A culture of Spirogyra (an autotrophic alga) is maintained in a water solution containing dissolved carbon dioxide and a source of phosphates but lacking nitrogen compounds. A researcher determines the rates of synthesis of several organic compounds found in the Spirogyra before and after several weeks in the water solution. Which of the following graphs best illustrates a likely result of the experiment?

Ultraviolet (UV) radiation can damage DNA by breaking weak bonds. Which of the following best explains how this occurs?
UV radiation disrupts the double helix structure by breaking the hydrogen bonds between the nitrogenous base pairs.
- A student analyzed a viral genome and found that the genome had the following nucleotide composition. Which of the following best describes the structure of the viral genome?
- 28% adenine
- 20% thymine
- 35% cytosine
- 17% guanine
Single-stranded DNA
Which of the following is most directly responsible for water’s unique properties?
it forms hydrogen bonds
Based on figure 1, the amino acids in region A are most likely to have which of the following characteristics?
Most amino acids will be hydrophobic because they interact most favorably with the phospholipid tails.
A researcher analyzed four different samples of macromolecules, where all macromolecules in each sample are of the same type. The researcher measured the percent of carbon, oxygen, hydrogen, nitrogen, phosphorus, and sulfur atoms in each sample. The results are shown in Table 1. Which of the following claims is best supported by the data in Table 1 ?
Sample B contains protein.
Scientists examined the folded structure of a purified protein resuspended in water and found that amino acids with nonpolar R groups were primarily buried in the middle of the protein, whereas amino acids with polar R groups were primarily on the surface of the protein. Which of the following best explains the location of the amino acids in the folded protein?
Nonpolar R groups that cannot form hydrogen bonds with water are pushed into the middle of the protein.
A chemical binds to a protein composed of a single polypeptide chain and prevents the formation of an alpha helix that is typically formed in the absence of the chemical. Which of the following best describes the effect the chemical has on the structure of the protein?
The secondary structure held together by hydrogen bonds is affected.
Simple cuboidal epithelial cells line the ducts of certain human exocrine glands. Various materials are transported into or out of the cells by diffusion. (The formula for the surface area of a cube is 6 X S2, and the formula for the volume of a cube is S3, where S = the length of a side of the cube.) Which of the following cube-shaped cells would be most efficient in removing waste by diffusion?

The following questions refer to the following diagram. For each phrase or sentence, select the labeled part to which it is most closely related. Each option may be used once, more than once, or not at all for each group. Site of glucose synthesis
B
The following questions refer to the following diagram. For each phrase or sentence, select the labeled part to which it is most closely related. Each option may be used once, more than once, or not at all for each group. Site of conversion of chemical energy of glucose to ATP
A
The following questions refer to the following diagram. For each phrase or sentence, select the labeled part to which it is most closely related. Each option may be used once, more than once, or not at all for each group. Site of modification and packaging of proteins and lipids prior to export from the cell
C
The following questions refer to the following diagram. For each phrase or sentence, select the labeled part to which it is most closely related. Each option may be used once, more than once, or not at all for each group. Site of transport of materials into and out of the cell
D
The following questions refer to the following diagram. For each phrase or sentence, select the labeled part to which it is most closely related. Each option may be used once, more than once, or not at all for each group. Evolved from a photoautotrophic prokaryote
B
The figure above represents a rough endoplasmic reticulum. Which of the following best describes the role of the structure labeled Y?
Structure Y is the location where proteins are synthesized.
Liver cells manufacture glycoproteins, while adipose cells store fat. Which of the following subcellular structures is likely to be more prominent in liver cells than in adipose cells?
Golgi apparatus
Which of the following best describes the hydrolysis of carbohydrates?
The addition of a water molecule breaks a covalent bond between sugar monomers.
Which of the following describes the most likely location of cholesterol in an animal cell?
Embedded in the plasma membrane
The diagram above represents a typical rod-shaped bacterium. Which of the following best describes a feature shown in the diagram that is unique to archaea and bacteria?
The organism does not have a nuclear membrane surrounding its genetic material.
In an experiment, the efficiency of oxygen exchange across the plasma membrane is being assessed in four artificial red blood cells. The table above lists some properties of those artificial cells. Other conditions being equal, which artificial cell is predicted to be the most efficient in exchanging oxygen with the environment by diffusion?
The cuboidal cell
Humans produce sweat as a cooling mechanism to maintain a stable internal temperature. Which of the following best explains how the properties of water contribute to this physiological process?
The high heat of vaporization of water allows the body to remove excess heat through a phase change of water from liquid to gas.
A student formulated a hypothesis that water-soluble pollutants damage living organisms by increasing the permeability of cellular membranes. To test the hypothesis, the student investigated the effect of isopropanol and acetone on beet root cells. The vacuoles of beet root cells contain large amounts of betacyanin, a water-soluble pigment that is released into the extracellular environment as a result of increased membrane permeability.
The student prepared identical samples of beet root tissue and incubated each sample for 15 minutes in the specific solution for that group. At the end of the incubation period, the student measured the absorbance of 460 nm light for each sample. A greater concentration of betacyanin in the solution surrounding the beet root cells results in a greater absorbance of 460 nm light. The results of the experiment are shown in the table above.
Question
Which of the following graphs is the most appropriate representation of the experimental data?

Which of the following is the dependent variable in the experiment
The absorbance of 460 nm light by the treatment solutions
The illustration above is a model of a typical beet root cell. Based on the experimental results, which of the following best represents the effect of acetone on the permeability of cellular membranes?

The student analyzed the data from the investigation and concluded that the estimate of the mean of one treatment group was unreliable. Which of the following identifies the treatment group most likely to have provided an unreliable estimate of the mean, and correctly explains why the estimate appears unreliable?
Treatment group II; it has a lower than expected mean absorbance and the largest standard error of the mean.
Paramecia are unicellular protists that have contractile vacuoles to remove excess intracellular water. In an experimental investigation, paramecia were placed in salt solutions of increasing osmolarity. The rate at which the contractile vacuole contracted to pump out excess water was determined and plotted against osmolarity of the solutions, as shown in the graph. Which of the following is the correct explanation for the data?
The contraction rate increases as the osmolarity decreases because the amount of water entering the paramecia by osmosis increases.
Which of the following processes is most likely to occur as a result of an animal cell receiving a signal to initiate apoptosis?
Lysosomes will release digestive enzymes into the cytosol.
A human kidney filters about 200 liters of blood each day. Approximately two liters of liquid and nutrient waste are excreted as urine. The remaining fluid and dissolved substances are reabsorbed and continue to circulate throughout the body. Antidiuretic hormone (ADH) is secreted in response to reduced plasma volume. ADH targets the collecting ducts in the kidney, stimulating the insertion of aquaporins into their plasma membranes and an increased reabsorption of water. If ADH secretion is inhibited, which of the following would initially result?
The person would produce greater amounts of dilute urine.
The manner in which several different ions and molecules move through a cell membrane is shown in the diagram above. For each ion or molecule, the relative concentration on each side of the membrane is indicated. Which of the following accurately describes one of the movements taking place?
Na+ transport out of the cell requires ATP hydrolysis.
Membrane-bound organelles have been an important component in the evolution of complex, multicellular organisms. Which of the following best summarizes an advantage of eukaryotic cells having internal membranes?
Organelles isolate specific reactions, increasing metabolic efficiency.
A student peeled the skins from grapes, exposing cells with membranes that are only permeable to water and small diffusible solutes. The student measured the mass of the peeled grapes. The student then placed each peeled grape into one of five solutions. After 24 hours, the student removed the peeled grapes from the solutions, measured their final mass, and calculated the percent change in mass (Table 1). Based on Table 1, which of the following best explains the difference in water potential between certain solutions and the grapes?
Grape soda and NaCl have a lower water potential because these two solutions caused the grape to lose water.
A student peeled the skins from grapes, exposing cells with membranes that are only permeable to water and small diffusible solutes. The student measured the mass of the peeled grapes. The student then placed each peeled grape into one of five solutions. After 24 hours, the student removed the peeled grapes from the solutions, measured their final mass, and calculated the percent change in mass (Table 1). Based on Table 1, which of the following percentages is closest to the solute concentration of the grape?
5.5%
higher than the solute concentration of the actual grape because the grape juice has added sugar.
Based on the data in Table 1, which of the following best evaluates the student’s hypothesis?
The hypothesis is not supported because the mass of the grape increased in the grape juice.
Assuming a negligible pressure potential, which of the following best predicts the net movement of the small diffusible solutes and water in the second experiment (Table 2) ?
Small diffusible solutes will diffuse into the grape cells, followed by water.
Mercurial sulfhydryl is an inhibitor of aquaporins. Which of the following is the most likely effect of adding mercurial sulfhydryl to the distilled water solution?
The grape cells will gain water more slowly because of a lack of facilitated diffusion.
Which of the following best explains why larger grapes have a different rate of water absorption per gram of mass than smaller grapes do?
The rate is slower because smaller grapes have a larger surface-area-to-volume ratio than the larger grapes do.
A sample of human blood was placed in a test tube containing a physiological saline solution (0.9% sodium chloride). This type of solution is often used intravenously to quickly rehydrate patients. A drop of the blood from the test tube was placed on a slide and red blood cells (RBCs) were observed under a microscope. Three possible outcomes are diagrammed below. Which of the following best predicts which diagrammed microscope view the laboratory worker would see and best explains why?
View 2 because the rate of water movement into the RBCs equals the rate of water movement out of the cells
- Which of the following groups of cellular components are found in eukaryotic cells but not prokaryotic cells?
An endoplasmic reticulum, mitochondria, and a nucleus
- Bacteriophages are viruses that infect bacteria. In an experiment, bacteriophages were labeled with either radioactive phosphorus or radioactive sulfur. The labeled bacteriophages were incubated with bacteria for a brief amount of time and then removed. The infected bacteria cells were found to contain significant amounts of radioactive phosphorus but not radioactive sulfur. Based on the results of the experiment, which of the following types of molecules did the bacteriophages most likely inject into the bacteria cells?
DNA
A scientist is developing a mathematical model of cells of different shapes. To construct the model, the scientist has specified that the width of each cell at its widest point must be 30μ and the height of each cell must be 90μ. Table 1 shows the three-dimensional shapes that the scientist is considering for the model cells. Which of the proposed shapes for the model cells will allow the most efficient exchange of materials with the surrounding environment?
Triangular Prism
- A researcher measured the temperature at which two different samples of double-stranded
DNA denature (separate into single strands). Sample 1 denatured at a significantly lower temperature than sample 2 did. Based on the data, the researcher claims that the DNA in sample 2 is composed of a higher percentage of guanine and cytosine than the in sample 1 is. Which of the following best supports the researcher’s claim?
Guanine-cytosine pairs denature at a higher temperature because they have more hydrogen bonds between them than adenine-thymine pairs do.