1

What function is this?
The Constant Function
2

What function is this?
Linear (Identity) Function
3

What function is this?
Absolute Value Function
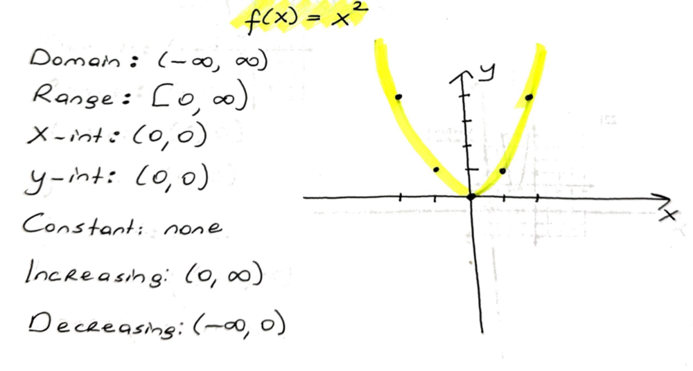
4

What function is this?
Quadratic Function
5

What function is this?
Square Root Function
6

What function is this?
Cubic Function
7

What function is this?
Cube Root Function