
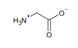
Which amino acid is pictured?
Glycine

Which amino acid is pictured?
Alanine

Which amino acid is pictured?
Valine

Which amino acid is pictured?
Leucine

Which amino acid is pictured?
Isoleucine

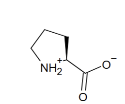
Which amino acid is pictured?
Proline

Which amino acid is pictured?
Methionine

Which amino acid is pictured?
Tryptophan

Which amino acid is pictured?
Phenylalanine

Which amino acid is pictured?
Serine

Which amino acid is pictured?
Threonine

Which amino acid is pictured?
Tyrosine

Which amino acid is pictured?
Glutamine

Which amino acid is pictured?
Asparagine

Which amino acid is pictured?
Cysteine

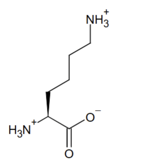
Which amino acid is pictured?
Lysine

Which amino acid is pictured?
Arginine

Which amino acid is pictured?
Histidine

Which amino acid is pictured?
Aspartate

Which amino acid is pictured?
Glutamate
What is the 3 letter abbreviation of Glycine
Gly
What is the 3 letter abbreviation of Alanine
Ala
What is the 3 letter abbreviation of Valine
Val
What is the 3 letter abbreviation of Leucine
Leu
What is the 3 letter abbreviation of Isoleucine
Ile
What is the 3 letter abbreviation of Proline
Pro
What is the 3 letter abbreviation of Methionine
Met
What is the 3 letter abbreviation of Tryptophan
Trp
What is the 3 letter abbreviation of Phenylalanine
Phe
What is the 3 letter abbreviation of Serine
Ser
What is the 3 letter abbreviation of Threonine
Thr
What is the 3 letter abbreviation of Tyrosine
Tyr
What is the 3 letter abbreviation of Asparagine
Asn
What is the 3 letter abbreviation of Glutamine
Gln
What is the 3 letter abbreviation of Cysteine
Cys
What is the 3 letter abbreviation of Lysine
Lys
What is the 3 letter abbreviation of Arginine
Arg
What is the 3 letter abbreviation of Histidine
His
What is the 3 letter abbreviation of Aspartate
Asp
What is the 3 letter abbreviation of Glutamate
Glu
What is the 1 letter abbreviation of Glutamate
E
What is the 1 letter abbreviation of Aspartate
D
What is the 1 letter abbreviation of Histidine
H
What is the 1 letter abbreviation of Arginine
R
What is the 1 letter abbreviation of Lysine
K
What is the 1 letter abbreviation of Serine
S
What is the 1 letter abbreviation of Threonine
T
What is the 1 letter abbreviation of Tyrosine
Y
What is the 1 letter abbreviation of Asparagine
N
What is the 1 letter abbreviation of Glutamine
Q
What is the 1 letter abbreviation of Cysteine
C
What is the 1 letter abbreviation of Glycine
G
What is the 1 letter abbreviation of Alanine
A
What is the 1 letter abbreviation of Valine
V
What is the 1 letter abbreviation of Leucine
L
What is the 1 letter abbreviation of Isoleucine
I
What is the 1 letter abbreviation of Proline
P
What is the 1 letter abbreviation of Methionine
M
What is the 1 letter abbreviation of Tryptophan
W
What is the 1 letter abbreviation of Phenylalanine
F