1
Formation of Hemiacectal (vinyl ether forms it as well)
Product: OH and OR
Reagent: R OH

2
Formation Acetal
Product: OR & OR
Reagent: R OH /H

3
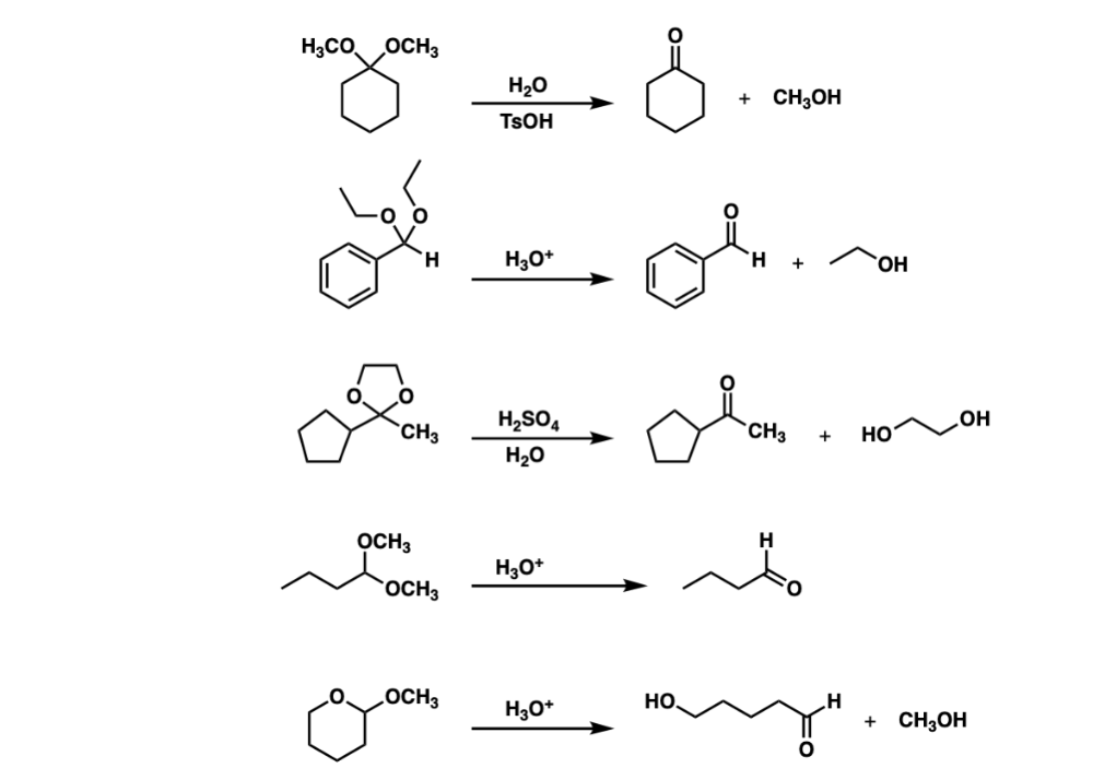
Hydrolysis to Regenerate Carbonyl and Alcohol Constituents
Product: Any carbonyl group; alcohol group
Reagent: H3O+

4
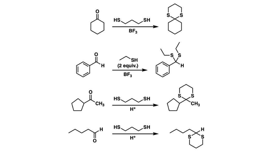
Thioacetal formation
Product: SR SR
Reagent: RSH/ ZnCl2

5
Thioacetal Hydrolysis
Product: Ketones and other carbonyl groups
Reagent: HgCl2, CaCo3/ H2O, CH3CN

6
Desulfurization
Product: More hydrogens
Reagent: Raney Ni

7
Carbohydrates undergo reduction to form alditols
Product: OH - H or H - OH
Reagent: NaBH4/ EtOH

8
Carbohydrates undergo oxidation to form Aldonic acid
Product: CooH (1)
Reagent: Br2/H2O

9
Carbohydrates undergo oxidation to form aldaric acids
Product: COOH (2)
Reagent: HNO3
