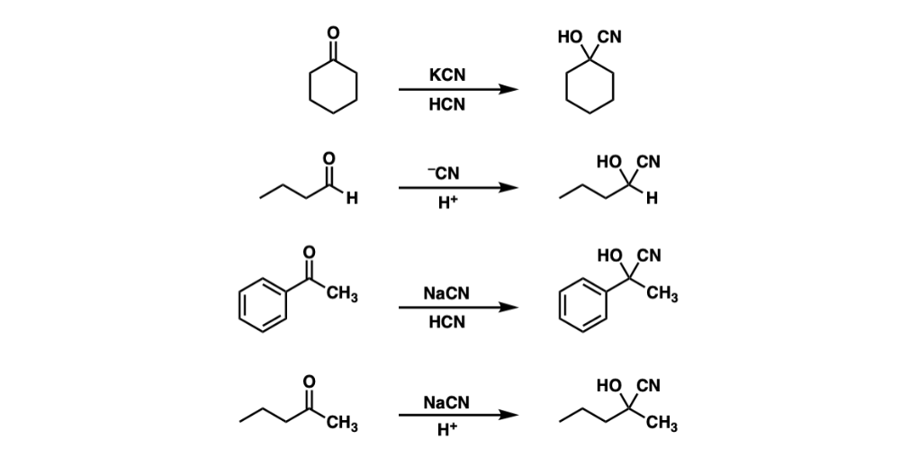
Formation of Cyanohydrin From ketones/Aldehydes
Product: OH/CN

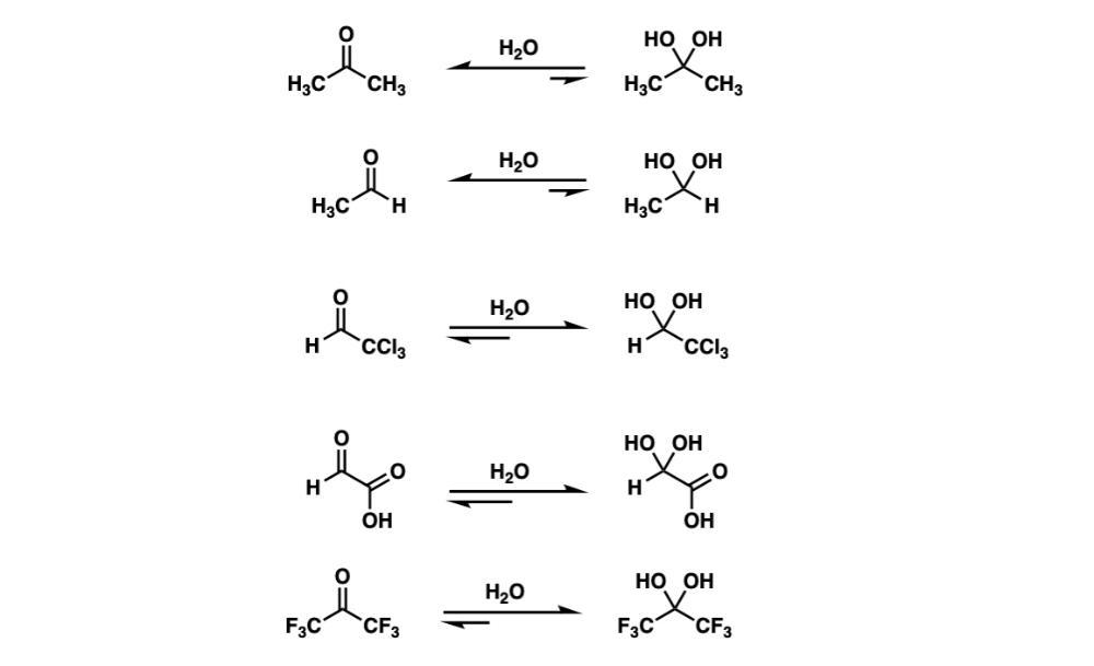
Hydrate/ Gem-doil formation from aldehydes/ketones
Product: 2 OH
Reagent: H2O

Reaction between aldehydes/ketones and HX
Product: HX and OH (x = F, Br, I, Cl)
Regeant: HX

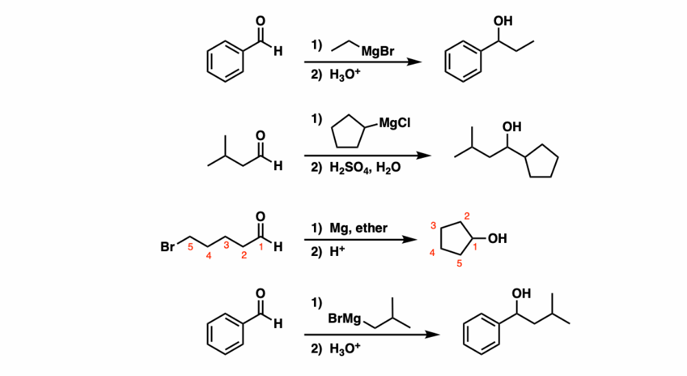
Grignard Regeant Reaction between Aldehydes/ketones
Product: OH
Reagent: RMgX/H3O

Organolithium Reagent Reaction between Aldehydes/ketones
Product: OH
Reagent:

Reduction of Aldehydes
Product: OH
Reagent: LiAlH4/H3O+

Reduction of Aldehydes
Product: OH
Reagent: NaBH4/ EtOH

Reduction of Ketones
Product: OH
Reagent: NaBH4/ EtOH &

Reduction of Ketones
Product: OH
Reagent: LiAlH4/H3O+

Aldehyde/Ketone Reduction using NADH & enzyme catalysts
Product: OH
Reagent: NADH/enzyme

Clemmensen reduction
Product: More H
Reagent: Zn(Hg)/ HCL

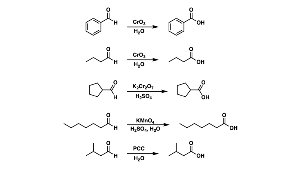
Oxidation of aldehydes to COOH(carboxylic acids)
Product: COOH
Reagent: (KMnO4, OH-/ H3O+) + more-->

Baeyer Villiger reaction: Ketone to esters
Product: esters
Reagent: CF3Co3H

Baeyer Villiger reaction: Aldehydes to Carboxylic acids
Product: COOH
Reagent: CF3CO3H
