Chlorination of Heptane
What was the purpose of the lab? (2)
- Demonstrate the formation of chloroheptane via the radical chlorination of heptane
- To determine the relative reactivities primary vs secondary Hs
Chlorination of Heptane
What is the mechanism?

Chlorination of Heptane
Why is it important to not expose sulfuryl chloride to H2O & acetone.
And why should we keep it in the hood?
- Sulfuryl chloride reacts vigorously w/ H2O & acetone → sulfuryl chloride gets consumed ∴ yield decreases.
- Sulfuryl chloride is kept in the hoood as it's toxic/harmful if inhaled.
Chlorination of Heptane
What chemical rxn is occuring in the gas trap?
Write out the chemical rxn
- Neutralization rxn
- NaOH + HCl → NaCl + H2O

Chlorination of Heptane
Calculate the relative reactivity of the Cl radical for 1o, 2o, , and 3o Hs

Chlorination of Heptane
Why is the 2o chloroheptane have a greater reactivity than the 1o? (3)

- 2o more Hs (10) vs 1o Hs (6)
- 2o radical is more stable than the 1o radical
- 2o C-H bond is weaker (via inductive effect) ∴ easier to extract/break
Chlorination of Heptane
How is the GC supposed to be labeled?


Chlorination of Heptane
Perform the following calculations for this lab.
- AY
- TY
- PY
- Relative Reactivity
Important info:
- 10 mL heptane
- Density = .6975 g/mL
- MM = 100.21 g
- 15 mL sulfuryl chloride
(SO2Cl2)
- Density = 1.665 g/mL
- MM = 134.98 g
- Mass vial = 13.13 g
- Mass vial + chloroheptane = 14.23 g
- GC provided

Diels Alder
What is the purpose? (2)
- Demonstrate the Diels Alder reaction of E,E-2,4-hexadien-1-ol and maleic anhydride
- Verify the formation of Diels Alder (DA) product via 1H NMR and melting point
Diels Alder
What was the purpose of weighing the diene 1st?
it's sticky
Diels Alder
What is the purpose of using toluene for the rxn?
To allow for recrystallization. D/t toluene being nonpolar, when the solution is cooled (solubility ↓), the polar product will precipitate out & the impurities stay ∴ allowing for purification.
Diels Alder
Show how maleic anhydride is electrophilic.


Diels Alder
Assign the major IR stretches for the following compound.


Diels Alder
Complete the 1H NMR


Diels Alder
Complete the IR

Diels Alder
Perform the following calculations for this lab.
- AY
- TY
- PY
Important info:
- .4038 g maleic anhydride
- MM = 98.06 g/mol
- .4023 g

Diels Alder
What was the literature mp?
156-159 ℃
Electrophilic Bromination
What is the purpose? (2)
- Demonstrate the Electrophilic Bromination reaction of acetanilide and potassium bromate
- Verify formation of N-(4-bromophenyl)acetamide (EB product) via 1H NMR
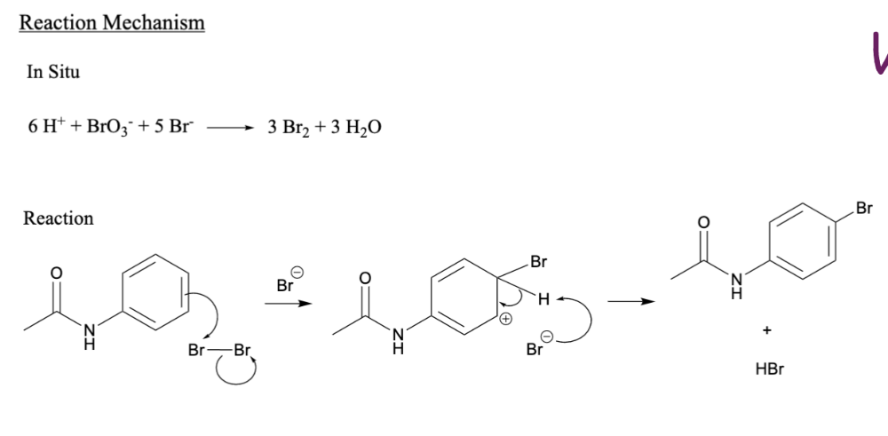
Electrophilic Bromination
Provide mechanism

Electrophilic Bromination
Using resonance, show how the amide group activates the ring & directs substitution at the ortho & para positions.

Electrophilic Bromination
What is the purpose of doing this rxn at room temp?
adding heat will cause BR to form too quickly & polybrominate

Electrophilic Bromination
Identify the peaks & determine the final structure for the following rxn.

Electrophilic Bromination
Perform the following calculations for this lab.
- AY
- TY
- PY
Important info:
- .2064 g acetanilide
- MM = 135.16 g/mol
- .0852 g potassium bromate
- MM = 167.0 g/mol
- Mass watch glass = 20.563 g
- Mass watch glass + DA product = 20.694 g

not supposed to use postassium bromate when calculating TY & PY

Electrophilic Bromination
Complete 1H NMR


Electrophilic Bromination
Complete Mass Spec

Friedel Crafts Alkylation
What is the purpose of the lab?
- Demonstrate the Friedel-Crafts Alkylation reaction of p-xylene and n-bromopropane
- Verify the formation of n-propyl and iso-propyl (FC Products) via Gas Chromatogram data
Friedel Crafts Alkylation
Provide mechanism

Friedel Crafts Alkylation
Why do we use aluminum chloride (AlCl3) in this rxn?
AlCl3 acts as a catalyst & by binding to the E+ to form a complex, it increases the electrophilicity of the E+
Friedel Crafts Alkylation
What happens if the AlCl3 gets wet?
AlCl3 is very hydroscopic → gets consumed by absorbing H2O from the atmosphere ∴ affects PY
Friedel Crafts Alkylation
Why do we use a drying tube w/ calcium chloride (CaCl2)?
drying agent → absorbs H2O ∴ prevents H2O from messing up the PY
Friedel Crafts Alkylation
Why did we use a saturated NaCl solution for the extraction?
will force ions from the organic layer into the aqueous layer → clear organic & aqueous layers formed ∴ better extraction

Friedel Crafts Alkylation
Provide the mechanism, product, & labeled NMR based on the following.

Friedel Crafts Alkylation
Perform the following calculations for this lab.
- AY
- TY
- PY
Important info:
- 2 mL p-xylene
- Density = .861 g/mL
- MM = 106.17 g/mol
- .8 mL n-bromopropane
- Density = 1.354 g/mL
- MM = 122.99 g/mol
- Mass watch glass = 21.30 g
- Mass watch glass + product = 22.03 g

Friedel Crafts Alkylation
What does the labeled GC look like?
