
Identify the sample in the graph with the lowest temperature.
- C
- B
- A

A
While gases are usually assumed to have ideal behavior, sometimes the conditions of the sample result in non ideal, or real, behavior.
When do gases behave most like ideal gases?
- At low temperature and high pressure
- At high temperature and high pressure
- At high temperature and low pressure
- At low temperature and low pressure
At high temperature and low pressure
Ex.
Gases behave most like ideal gases at high temperature and low pressure because interactions are minimized under these conditions.
At high temperatures, molecules are moving faster and are less likely to interact with one another than at low temperatures.
At low pressures, molecules are farther apart and are less likely to interact with one another than at high pressures.

The root mean square velocity, expressed u rms , is for a collection of particles and is directly proportional to the temperature and inversely proportional to the molar mass according to the equation:
image attached
where R is the ideal gas constant (8.314 J/mol∙K), T is the temperature in kelvin, and M is the molar mass in kilograms/mole.
At what temperature is the root mean square velocity of He equal to 345 m/s?
- 19.1 K
- 298 K
- 55.4 K
- 7.44 K

19.1 K

Graham’s law of effusion shows the relationship between the rates of two substances and the molar masses of two substances according to the equation:
image attached
where rate is the rate of effusion for each substance and M is the molar mass for each substance.
The molar mass of substance B is four times the molar mass of substance A. How does the rate of effusion of substance A compare to the rate of effusion of substance B?
- rateA is 1/2 times rateB
- rateA is 2 times rateB
- rateA is 16 times rateB
- rateA is 4 times rateB

rate A is 2 times rate B
Which statement best describes the process of effusion?
- The process by which a gas spreads through a space occupied by another gas
- The process of preparing a less concentrated solution from a more concentrated solution
- The process by which a gas escapes from a container into a vacuum through a small hole
The process by which a gas escapes from a container into a vacuum through a small hole
Ex.
Effusion is the process by which a gas escapes from a container into a vacuum through a small hole .
Diffusion is the process by which a gas spreads through a space occupied by another gas.
Dilution is the process of preparing a less concentrated solution from a more concentrated solution.

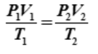
The gas laws describe the behavior of gases under specific conditions of temperature, pressure, and volume. Three gas laws show the relationship between two variables when all others are held constant: Boyle’s law (pressure and volume are inversely proportional), Charles’s law (volume and temperature are directly proportional), and Gay-Lussac’s law (temperature and pressure are directly proportional).
The three laws can be combined into one law, called the combined gas law.
image attached
A sample of radon gas has a volume of 1.53 L, a pressure of 1.15 atm, and a temperature of 305 K. What is the new pressure if the new volume is 1.78 and the new temperature is 325 K?
- 0.928 atm
- 1.05 atm
- 1.43 atm
- 1.26 atm

1.05 atm
Gases are typically a mixture of several different gases, and each of these gases exerts its own pressure on the walls of the container. The partial pressure of a gas in a mixture is proportional to the mole fraction of the gas in a mixture.
The mole fraction of CH 4 in a mixture of gases is 0.285 with a partial pressure of 0.498 atm. What is the total pressure of the sample?
- 0.780 atm
- 0.572 atm
- 1.42 atm
- 1.75 atm

1.75 atm
Gases are typically a mixture of several different gases, and each of these gases exerts its own pressure on the walls of the container. The partial pressure of a gas in a mixture is proportional to the mole fraction of the gas in a mixture.
The total pressure of a sample is 1.35 atm, and the partial pressure of N 2 in the sample is 0.742 atm. What is the mole fraction of N 2 in the sample?
- 0.450
- 0.550
- 0.742
- 1.00

0.550

The gas laws describe the behavior of gases under specific conditions of temperature, pressure, and volume. Three gas laws show the relationship between two variables when all others are held constant: Boyle’s law (pressure and volume are inversely proportional), Charles’s law (volume and temperature are directly proportional), and Gay-Lussac’s law (temperature and pressure are directly proportional). Avogadro's Law shows the relationship between volume and moles of gas particles present when pressure and temperature are controlled.
For gas samples with different numbers of particles, which volume, A, B, or C, would have the state of more moles of gas than the initial sample of gas when pressure and temperature are constant?
- Balloon C, When the number of moles of gas is greater, the volume is greater at constant temperature and pressure.
- Balloon B, When the number of moles of gas is greater, the volume stays the same at constant temperature and pressure.
- Balloon A, When the number of moles of gas is greater, the volume is less at constant temperature and pressure.
Balloon C, When the number of moles of gas is greater, the volume is greater at constant temperature and pressure.
Ex.
The volume of the balloon will increase , resulting in the conditions shown in balloon C . According to Avogadro’s Law, as the moles increase, the volume of a gas increases under constant temperature and pressure.

Identify gas A on the figure.
- O2
- N2
- H2O
- H2
- He

O 2
Gases are typically a mixture of several different gases, and each of these gases exerts its own pressure on the walls of the container. The partial pressure of a gas in a mixture is proportional to the mole fraction of the gas in a mixture.
A mixture of gases contains 0.55 moles of He, 0.45 moles of Ne, and 0.95 moles of Ar, under a total pressure of 1.2 atm. What is the partial pressure of Ar in the sample?
- 0.49 atm
- 0.59 atm
- 0.95 atm
- 1.1 atm

0.59 atm

The root mean square velocity, expressed u rms , is for a collection of particles and is directly proportional to the temperature and inversely proportional to the molar mass according to the equation:
image attached
where R is the ideal gas constant (8.314 J/mol∙K), T is the temperature in kelvin, and M is the molar mass in kilograms/mole.
What is the root mean square velocity of N 2 at 425 K?
- 378 m/s
- 195 m/s
- 615 m/s
- 143 m/s

615 m/s
Several properties of gases can be experimentally measured: temperature, pressure, volume, and the amount of the gas (i.e., the number of moles). The ideal gas law states the relationship between these properties, or variables, in a mathematical formula.
The ideal gas law is PV = nRT .
P is the pressure in atmospheres (atm), V is the volume in liters (L), n is the number of moles, R is the gas constant (0.0821 L∙atm/(mol∙K)), and T is the temperature in kelvins (K).
Using the ideal gas law, determine the temperature of a 2.63-mole sample of xenon gas with a volume of 1.60 × 10 4 mL, under a pressure of 2.20 atm.
- 163 K
- 436 K
- 274 K

163 K

The gas laws describe the behavior of gases under specific conditions of temperature, pressure, and volume. Three gas laws show the relationship between two variables when all others are held constant: Boyle’s law (pressure and volume are inversely proportional), Charles’s law (volume and temperature are directly proportional), and Gay-Lussac’s law (temperature and pressure are directly proportional).
The three laws can be combined into one law, called the combined gas law.
image attached
For additional help related to this question, please view Key Concept Video: Simple Gas Laws and Ideal Gas Law. This can also be found in your text: Chapter 6, Section 3.
A sample of sulfur dioxide gas has a volume of 0.871 L and a temperature of 315 K, under a constant pressure. What is the new volume if the temperature is increased to 385 K?
- 0.943 L
- 1.40 L
- 1.06 L
- 0.713 L

1.06 L
Several properties of gases can be experimentally measured: temperature, pressure, volume, and the amount of the gas (i.e., the number of moles). The ideal gas law states the relationship between these properties, or variables, in a mathematical formula.
The ideal gas law is PV = nRT .
P is the pressure in atmospheres (atm), V is the volume in liters (L), n is the number of moles, R is the gas constant (0.0821 L ∙ atm/(mol ∙ K)), and T is the temperature in kelvins (K).
Consider the following conditions: a 3,500 mL tank is filled with 27 moles of argon gas under a pressure of 12 atm.
Assume you are going to use the ideal gas law to solve for the unknown variable.
- What variable are you solving for?
- Are all of the variables in the correct units? If not, which variable needs to be converted to the correct units?
- 1) Temperature 2) Volume needs to be converted to L, liters
- 1) Temperature 2) All of the variables are in the correct units
- 1) Pressure 2) Volume needs to be converted to mL, milliliters
- 1) Moles of gas 2) Temperature needs to be converted to K, kelvins
- 1) Volume 2) Pressure needs to be converted to torr
1) Temperature
2) Volume needs to be converted to L, liters
Ex.
If you were going to use the ideal gas law, you would be solving for the temperature of the gas. In order to complete the calculation, the volume would need to be converted to L, liters . All of the units should match the units of the R value you are given (0.0821 L∙atm/(mol∙K)).
The gas laws describe the behavior of gases under specific conditions of temperature, pressure, and volume. Three gas laws show the relationship between two variables when the number of gas particles and another variable are held constant. Avogadro's Law states that the volume of a gas represents the number of moles of gas particles present when pressure and temperature are controlled.
Which statement best describes Avogadro’s Law?
- Pressure and moles are inversely proportional to one another.
- Pressure and moles are directly proportional to one another.
- Moles and volume are directly proportional to one another.
- Moles and volume are inversely proportional to one another.
Moles and volume are directly proportional to one another.
Ex.
Avogadro’s law states that moles of particles of gas present and volume are directly proportional to one another .
Pressure and moles are directly proportional according to Dalton’s law.
Gaseous substances are frequently involved in chemical reactions. If the pressure, volume, and temperature of a gas are known, the ideal gas law can be used to calculate the moles of a gas, making it possible to complete stoichiometry calculations based on the balanced chemical equation.
What volume of H 2 is produced at 315 K and 1.25 atm when 3.50 grams of Zn reacts with excess HCl?
Zn( s ) + 2 HCl( aq ) → H 2 ( g ) + ZnCl 2 ( aq )
- 1.73 L
- 0.148 L
- 1.11 L
- 72.4 L

1.11 L
Gaseous substances are frequently involved in chemical reactions. If the pressure, volume, and temperature of a gas are known, the ideal gas law can be used to calculate the moles of a gas, making it possible to complete stoichiometry calculations based on the balanced chemical equation.
What pressure of O 2 is needed at 298 K in a container with a volume of 10.0 L to completely combust 10.0 grams of C 2 H 6 ?
2 C 2 H 6 ( g ) + 7 O 2 ( g ) → 4 CO 2 ( g ) + 6 H 2 O( g )
- 0.814 atm
- 0.232 atm
- 1.90 atm
- 2.85 atm

2.85 atm

The van der Waals equation is used to calculate the relationship among the pressure, volume, and temperature of a gas sample under nonideal conditions. There are two additional constants in the equation, a and b, which are specific to each substance.
Assuming nonideal behavior, what is the pressure of a 1.25-mole sample of Ar in a 0.950-L container at 298 K?
- 32.2 atm
- 30.2 atm
- 31.3 atm
- 25.5 atm

31.3 atm
Which statement best describes the process of diffusion?
- The process of preparing a less concentrated solution from a more concentrated solution
- The process by which a gas spreads through a space occupied by another gas
- The process by which a gas escapes from a container into a vacuum through a small hole
The process by which a gas spreads through a space occupied by another gas
Ex.
Diffusion is the process by which a gas spreads through a space occupied by another gas .
Effusion is the process by which a gas escapes from a container into a vacuum through a small hole.
Dilution is the process of preparing a less concentrated solution from a more concentrated solution.
Gaseous substances are frequently involved in chemical reactions. If the pressure, volume, and temperature of a gas are known, the ideal gas law can be used to calculate the moles of a gas, making it possible to complete stoichiometry calculations based on the balanced chemical equation.
How many moles of hydrogen gas, H 2 , are present if the reaction conditions are 295 K, 1.1 atm, and 0.35 L of hydrogen, H 2 ?
2 Al( s ) + 6 HCl( aq ) → 2 AlCl 3 ( aq ) + 3 H 2 ( g )
Now, how many grams of hydrogen gas, H 2 , are present?
For the calculations in this module, the molar mass of an element will be rounded to the hundredths place (0.01 g). Remember to also select an answer with the correct number of significant figures.
- n = 0.0161 moles of H2 grams = 0.0323 g of H2
- n = 63 moles of H2 grams = 130 g of H2
- n = 62.9 moles of H2 grams = 127 g of H2
- n = 0.016 moles of H2 grams = 0.032 g of H2

n = 0.016 moles of H 2
grams = 0.032 g of H 2
What is u rms ?
- The average mass of a collection of gas particles
- The velocity of an individual gas particle
- The root mean square velocity of a collection of particles
The root mean square velocity of a collection of particles
Ex.
u rms is the root mean square velocity of a collection of particles . The root mean square velocity is similar to average velocity but is not exactly the same.
Gases are typically a mixture of several different gases, and each of these gases exerts its own pressure on the walls of the container. The partial pressure of a gas in a mixture is proportional to the mole fraction of the gas in a mixture.
A mixture of gases contains 12.0 grams of N 2 and 15.0 grams of Ar, under a total pressure of 1.32 atm. What is the partial pressure of N 2 ?
- 0.616 atm
- 0.565 atm
- 0.428 atm
- 0.704 atm

0.704 atm
Gases are typically a mixture of several different gases, and each of these gases exerts its own pressure on the walls of the container. The pressure for each of the individual gases is referred to as the partial pressure, or the pressure that the individual gas would exert on the container if it was the only gas in the container.
Dalton’s law of partial pressures states that the total pressure of a mixture of gases is equal to the sum of the partial pressures of each of the individual gases.
What is the total pressure within a gas cylinder if the cylinder consists of 6.2 atm of sulfur dioxide and 1.205 atm of helium?
- 12.4 atm
- 7.4 atm
- 6.2 atm
- 5.0 atm

7.4 atm

The root mean square velocity, u rms , is the expression for a collection of particles and is directly proportional to the temperature and inversely proportional to the molar mass according to the equation:
image attached
where R is the ideal gas constant (8.314 J/mol∙K), T is the temperature in kelvin, and M is the molar mass in kilograms/mole.
Identify the gas that has a root mean square velocity of 412 m/s at 191 K.
- N2
- O2
- NO
- Ne

N 2
The gas laws describe the behavior of gases under specific conditions of temperature, pressure, and volume. Three gas laws show the relationship between two variables when the moles of gas particles present and another variable are held constant: Boyle’s law (pressure and volume are inversely proportional), Charles’s law (volume and temperature are directly proportional), and Gay-Lussac’s law (temperature and pressure are directly proportional). Avogadro's Law shows the relationship between volume and moles of gas particles present when pressure and temperature are controlled. Dalton's Law of partial pressure tells us that as the number of moles of gas add up, the pressure also goes up.
What would happen to the pressure of a gas if the number of moles of particles of gas decreases while the temperature and volume areheld constant?
- Pressure stays the same
- Pressure decreases
- Pressure increases

Pressure decreases
Ex.
The pressure of a gas decreases as the moles of particles of gas decrease.
According to Dalton’s Law of partial pressure, as the number of moles of gas particles decreases, the pressure of a gas also decreases under constant temperature and volume.