3) Which statement most accurately describes how matter and energy
are used in ecosystems?
A) Matter is cycled through ecosystems;
energy is not.
B) Energy is cycled through ecosystems; matter is
not.
C) Energy can be converted into matter; matter cannot be
converted into energy.
D) Matter can be converted into energy;
energy cannot be converted into matter.
E) Matter is used in
ecosystems; energy is not.
A) Matter is cycled through ecosystems; energy is not.
4) The law of conservation of matter states that matter cannot be
created, yet matter is sometimes gained or lost to an ecosystem. What
is the reason for this seeming contradiction?
A) Chemoautotrophic
organisms can convert matter to energy.
B) Matter can be moved
in/out of an ecosystem from/to another ecosystem.
C)
Photosynthetic organisms convert solar energy to sugars.
D)
Detrivores convert matter to energy.
E) Heterotrophs convert heat
to energy.
B) Matter can be moved in/out of an ecosystem from/to another ecosystem.
6) A cow's herbivorous diet indicates that it is a(n)
A) primary
consumer.
B) secondary consumer.
C) decomposer.
D)
autotroph.
E) producer.
A) primary consumer.
7) To recycle nutrients, an ecosystem must have, at a
minimum,
A) producers.
B) producers and decomposers.
C)
producers, primary consumers, and decomposers.
D) producers,
primary consumers, secondary consumers, and decomposers.
E)
producers, primary consumers, secondary consumers, top carnivores, and decomposers.
B) producers and decomposers.
8) Which of the following terms encompasses all of the
others?
A) heterotrophs
B) herbivores
C)
carnivores
D) primary consumers
E) secondary consumers
A) heterotrophs
10) Which of the following is an example of an ecosystem?
A) All
of the brook trout in a 500 hectare² river drainage system.
B)
The plants, animals, and decomposers that inhabit an alpine
meadow.
C) A pond and all of the plant and animal species that
live in it.
D) The intricate interactions of the various plant
and animal species on a savanna during a drought.
E) Interactions
between all of the organisms and their physical environment in a
tropical rain forest.
E) Interactions between all of the organisms and their physical environment in a tropical rain forest.
13) The major role of detrivores in ecosystems is to
A) provide
a nutritional resource for heterotrophs.
B) recycle chemical
nutrients to a form capable of being used by autotrophs.
C)
prevent the buildup of the organic remains of organisms, feces, and so
on.
D) return energy lost to the ecosystem by other organisms.
B) recycle chemical nutrients to a form capable of being used by autotrophs.
33) What is secondary production?
A) energy converted by
secondary consumers from primary consumers
B) solar energy that
is converted to chemical energy by photosynthesis
C) food that is
converted to new biomass by consumers
D) energy that is not used
by consumers for growth and reproduction
E) growth that takes
place during the second year of life in consumers
C) food that is converted to new biomass by consumers
34) How does inefficient transfer of energy among trophic levels
result in the typically high endangerment status of many top-level
predators?
A) Top-level predators are destined to have small
populations that are sparsely distributed.
B) Predators have
relatively large population sizes.
C) Predators are more
disease-prone than animals at lower trophic levels.
D) Predators
have short life spans and short reproductive periods.
E)
Top-level predators are more likely to be stricken with parasites.
A) Top-level predators are destined to have small populations that are sparsely distributed.
38) For most terrestrial ecosystems, pyramids of numbers, biomass,
and energy are essentially the samethey have a broad base and a
narrow top. The primary reason for this pattern is that
A)
secondary consumers and top carnivores require less energy than
producers.
B) at each step, energy is lost from the system as a
result of keeping the organisms alive.
C) as matter passes
through ecosystems, some of it is lost to the environment.
D)
biomagnification of toxic materials limits the secondary consumers and
top carnivores.
E) top carnivores and secondary consumers have a
more general diet than primary producers.
B) at each step, energy is lost from the system as a result of keeping the organisms alive.
39) Which of the following is primarily responsible for limiting the
number of trophic levels in most ecosystems?
A) Many primary and
higher-order consumers are opportunistic feeders.
B) Decomposers
compete with higher-order consumers for nutrients and energy.
C)
Nutrient cycles involve both abiotic and biotic components of
ecosystems.
D) Nutrient cycling rates tend to be limited by
decomposition.
E) Energy transfer between tropic levels is in
almost all cases less than 20% efficient.
E) Energy transfer between tropic levels is in almost all cases less than 20% efficient.
40) Which trophic level is most vulnerable to extinction?
A)
producer level
B) primary consumer level
C) secondary
consumer level
D) tertiary consumer level
E) decomposer level
D) tertiary consumer level
54) Why do logged tropical rain forest soils typically have
nutrient-poor soils?
A) Tropical bedrock contains little
phosphorous.
B) Logging results in soil temperatures that are
lethal to nitrogen-fixing bacteria.
C) Most of the nutrients in
the ecosystem are removed in the harvested timber.
D) The cation
exchange capacity of the soil is reversed as a result of
logging.
E) Nutrients evaporate easily into the atmosphere in the
post-logged forest.
C) Most of the nutrients in the ecosystem are removed in the harvested timber.
58) In a typical grassland community, which of the following has the
smallest biomass?
A) hawk
B) snake
C) shrew
D)
grasshopper
E) grass
A) hawk
59) In a typical grassland community, which of the following is the
primary consumer?
A) hawk
B) snake
C) shrew
D)
grasshopper
E) grass
D) grasshopper

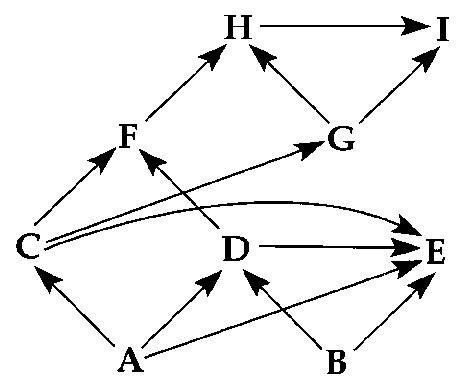
Food web for a particular terrestrial ecosystem (arrows represent
energy flow and letters represent species)
61) Examine
this food web for a particular terrestrial ecosystem. Which species is
autotrophic?
A) A
B) B
C) C
D) D
E) E
A) A

Food web for a particular terrestrial ecosystem (arrows represent
energy flow and letters represent species)
62) Examine
this food web for a particular terrestrial ecosystem. Which species is
most likely a decomposer on this food web?
A) A
B) B
C)
C
D) D
E) E
E) E

Food web for a particular terrestrial ecosystem (arrows represent
energy flow and letters represent species)
64) Examine
this food web for a particular terrestrial ecosystem. Which pair of
species could be omnivores?
A) A and B
B) A and D
C) B
and C
D) C and D
E) C and E
E) C and E
72) As big as it is, the ocean is nutrient-limited. If you wanted to
investigate this, one reasonable approach would be to
A) follow
whale migrations in order to determine where most nutrients are
located.
B) observe Antarctic Ocean productivity from year to
year to see if it changes.
C) experimentally enrich some areas of
the ocean and compare their productivity to that of untreated
areas.
D) compare nutrient concentrations between the photic zone
and the benthic zone in various marine locations.
E) contrast
nutrient uptake by autotrophs in marine locations that are different temperatures.
C) experimentally enrich some areas of the ocean and compare their productivity to that of untreated areas.