Which substance would be the most soluble in gasoline?
A)
water
B) NaNO3
C) HCl
D) hexane
E) NaCl
D

If each of the following represents an alkane, and a carbon atom is located at each vertex with the proper number of hydrogen atoms also bonded to it, which one is the most reactive?
D
Which of the following is not currently used as an
additive agent in gasoline?
A) toluene
B) ethanol
C)
MTBE
D) tetraethyl lead
D
How many isomers are possible for C4H10?
A) 1
B) 2
C)
3
D) 4
E) 10
B
How many isomers are possible for C5H12?
A) 1
B) 2
C)
3
D) 4
E) 10
C

The structure of 2,3-dimethylheptane is ________.
D
When petroleum is distilled to separate the components by boiling
point, the component with the highest boiling point is called
________.
A) gas
B) gasoline
C) kerosene
D)
paraffin
E) asphalt
E
What type of compound has been used to replace tetraethyl lead (( Pb)
as an antiknock agent in gasoline?
A) aromatic compounds
B)
olefins
C) fluorochlorocarbons
D) paraffins
E)
oxygenated hydrocarbons
E
How many structural isomers (include all types except optical) can be
drawn for C5H10?
A) 5
B) 6
C) 7
D) 10
E) 12
D
How many isomers of C2H2Br2 are polar?
A) none
B) 2
C)
1
D) 3
E) It is impossible to tell without more information.
B
Which statement about hydrocarbons is false?
A) The smallest
alkane to have structural (constitutional) isomers has 4 carbon
atoms.
B) Cyclic alkanes are structural isomers of
alkenes.
C) Alkanes are more reactive than alkenes.
D)
Alkanes can be produced by hydrogenating alkenes.
E) Alkenes can
be polymerized.
C
Which statement about addition reactions between alkenes and HBr is
false?
A) The addition occurs at the double bond.
B) Bromine
attacks the alkene carbon atom possessing a partial positive
charge.
C) A hydrogen atom attaches to the alkene carbon atom
possessing a partial negative charge.
D) The π bond breaks in the
course of the reaction.
E) The proposed mechanism involves radicals.
E
Benzene behaves differently from a hydrocarbon which simply contains
three C C bonds in that the latter would be expected to react much
more readily with ________.
A) H2
B) Cl2
C) Br2
D)
HCl
E) all of the above
E
Alcohols are hydrocarbon derivatives in which one or more hydrogens
have been replaced by a hydroxyl functional group. ________ is the
general formula of an alcohol.
A) R—O—R
B) R—CO—R
C)
R—CO—OH
D) R—OH
E) R—CO—H
D
Which one of the following is not an alcohol?
A)
acetone
B) glycerol
C) ethanol
D) cholesterol
E)
ethylene glycol
A
The oxidation of ethanol produces ________.
A) acetic
acid
B) formic acid
C) citric acid
D) lactic
acid
E) oxalic acid
A

Which one of the following compounds is an isomer of CH3CH2CH2CH2OH?
D
Which of the following compounds do not contain an sp3 hybridized
oxygen atom?
A) ketones
B) alcohols
C) ethers
D)
esters
E) water
A

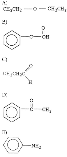
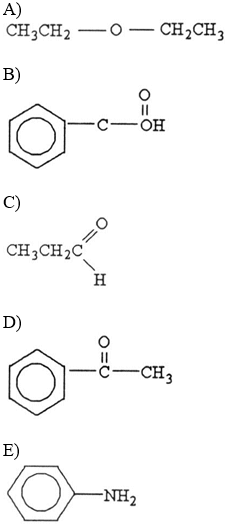
Of the compounds below, ________ is an isomer of [see image]

Which structure below represents a ketone?

Which structure below represents an amine?


Which structure below represents an aldehyde?
C

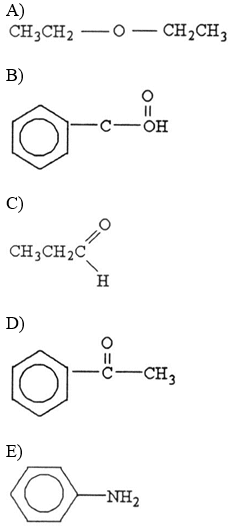
Which structure below represents an ether?
A

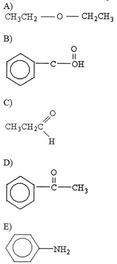
Which structure below is not correctly drawn?
B

All of the following are achiral except ________ which is a chiral molecule.
B
How many chiral carbon atoms does the neopentane (2, 2 -
dimethylpropane) have?
A) 0
B) 1
C) 2
D) 3
E) 4
A
How many chiral centers are there in CH3CHClCH2Cl?
A) 1
B)
0
C) 3
D) 2
E) 4
A
Proteins are biopolymers formed via multiple condensation coupling of
which two functional groups?
A) ester and amine
B) amine and
carboxylic acid
C) alcohol and carboxylic acid
D) alcohol
and amine
E) ester and carboxylic acid
B
Which amino acid is not chiral?
A)
leucine
B) isoleucine
C) glycine
D) alanine
E) threonine
C
The tertiary structure of proteins is maintained by ________
bonds.
A) hydrogen
B) dipole-dipole
C)
ion-dipole
D) covalent
E) all of the above
E

Which of the following contains a peptide linkage?
A
Sugars are examples of what type of molecule?
A)
proteins
B) carbohydrates
C) nucleic acids
D) amino
acids
E) salts
B
The principal difference between fructose and glucose is that
________.
A) fructose is a disaccharide and glucose is a
monosaccharide
B) fructose is a monosaccharide and glucose is a
disaccharide
C) fructose is chiral and glucose is not
D)
glucose is chiral and fructose is not
E) fructose is a ketone
sugar and glucose is an aldehyde sugar
E
Which one of the following is a monosaccharide?
A)
fructose
B) lactose
C) sucrose
D) maltose
E) none
of the above
A
Consider the following types of compounds:
(i) amino acid
(ii) nitrogen-containing organic base
(iii) phosphoric
acid
(iv) five-carbon sugar
From which of the above compounds are the monomers of nucleic
acids, called nucleotides, formed?
A) none
B) (i) and
(ii)
C) (ii) and (iv)
D) (ii), (iii), and (iv)
E) all
D
The basic building block of nucleic acids is the ________.
A)
nucleoside
B) nucleotide
C) ester linkage
D) nitrogen
base
E) phosphoric acid
B
The double helix of DNA is stabilized mainly by ________.
A)
ionic bonds
B) covalent bonds
C) ion-dipole bonds
D)
ester bonds
E) hydrogen bonds
E
Hybridization of the carbon atom indicated by (*) in CH3-*CH2-CH3,
*CH2 CH2, and CH3-*C≡CH is ________, ________, and ________,
respectively.
A) sp3, sp2, sp
B) sp3, sp, sp2
C) sp,
sp2, sp3
D) sp, sp3, sp2
E) sp2, sp3, sp
A
Hydrocarbons containing only single bonds between the carbon atoms
are called ________.
A) alkenes
B) alkynes
C)
aromatics
D) alkanes
E) ketones
D
What general class of compounds is also known as olefins?
A)
alkenes
B) alkynes
C) aromatics
D) alkanes
E) ketones
A
The simplest alkyne is ________.
A) ethylene
B)
ethane
C) acetylene
D) propyne
E) benzene
C
The melting and boiling points of hydrocarbons are determined by
________.
A) ion-dipole attraction
B) dipole-dipole
attraction
C) London forces
D) hydrogen bonding
E)
ionic bonding
C
Hydrocarbons containing carbon-carbon triple bonds are called
________.
A) alkanes
B) aromatic hydrocarbons
C)
alkynes
D) alkenes
E) olefins
C
Alkynes always contain a ________.
A) C=C bond
B) C≡C
bond
C) C—C bond
D) C=H bond
E) C≡H bond
B
Alkenes always contain a ________.
A) C=C bond
B) C≡C
bond
C) C-C bond
D) C=H bond
E) C≡H bond
A
The molecular geometry of each carbon atom in an alkane is
________.
A) octahedral
B) square planar
C) trigonal
planar
D) tetrahedral
E) trigonal pyramidal
D
The minimum number of carbons necessary for a hydrocarbon to form a
branched structure is ________.
A) 4
B) 6
C) 3
D)
9
E) 12
A
Cyclohexane has ________ fewer hydrogens than n-hexane.
A)
0
B) 1
C) 2
D) 3
E) 4
C
How many structural isomers of heptane exist?
A) 2
B)
4
C) 6
D) 8
E) 9
E
The general formula of an alkane is ________.
A)
C2nH2n+2
B) CnH2n
C) CnH2n+2
D) CnH2n-2
E) CnHn
C
Alkanes with ________ to ________ carbons are found in straight-run
gasoline.
A) 2, 3
B) 5, 12
C) 1, 5
D) 9,
15
E) 20, 60
B
Gasoline and water do not mix because gasoline is ________.
A)
less dense than water
B) less viscous than water
C) nonpolar
and water is polar
D) volatile and water is not
E) polar and
water is nonpolar
C
Isooctane is assigned an octane number of 100, whereas ________ is
assigned an octane number of 0.
A) methane
B)
propane
C) benzene
D) heptane
E) nitrous oxide
D
The octane number of straight-run gasoline is about ________.
A)
0
B) 25
C) 50
D) 75
E) 93
C
Alkenes have the general formula ________.
A) CnH2n
B)
CnH2n-2
C) CnH2n+2
D) CnHn
E) C2nHn
A
The compound below is an ________.
H2C=CH—CH3
A) alkyne
B) alkene
C) alkane
D) aromatic
compound
E) olefin
B

What is the name of the compound below?
A) 2,4-methylbutene
B) 2,5-dimethylpentane
C)
2,4-ethylbutene
D) 2,4-dimethyl-1-pentene
E) 2,4-dimethyl-4-pentene
D
The name of CH3-CH=C=CH-CH-CH=CH-CH3 is ________.
A) 2, 3, 5 -
octatriene
B) 2, 5, 6 - octatriene
C) 2, 3, 6 -
octatriene
D) 3, 5, 6 - octatriene
E) 3, 4, 7 - octatriene
C
________ could be the formula of an alkene.
A) C3H8
B)
C3H6
C) C6H6
D) C17H36
E) CH8
B
In general, ________ are the least reactive hydrocarbons.
A)
alkenes
B) alkynes
C) alkanes
C
The addition of HBr to 2-butene produces ________.
A)
1-bromobutane
B) 2-bromobutane
C) 1,2-dibromobutane
D)
2,3-dibromobutane
E) no reaction
B
________ contains a series of π bonds on several consecutive carbon
atoms.
A) pentane
B) cyclohexane
C) benzene
D) hexane
C
How many hydroxyl groups are in a glycerol molecule?
A)
0
B) 1
C) 2
D) 3
E) 4
D

The general formula for an ether is ________.
A
Ethers can be made by condensation of two ________ molecules by
splitting out a molecule of water.
A) alkyne
B)
alcohol
C) ketone
D) aldehyde
E) olefin
B

The general formula of an aldehyde is ________.
E

The general formula of a carboxylic acid is ________.
C

The general formula of an ester is ________.
E

is called a(n) ________.
A) amine
B) amide
C)
ketone
D) aldehyde
E) ester
B

The compound below is a(n) ________.
A) carboxylic acid
B) ketone
C) aldehyde
D)
ester
E) amine
D
The hybridization of the central carbon atom in formaldehyde is
________.
A) sp
B) sp3
C) d2sp3
D) sp2
E) sp4
D
Optically active molecules that are mirror images of each other are
called ________.
A) allotropes
B) geometrical
isomers
C) enantiomers
D) cofactors
E) chiral compounds
C
The secondary structure of a protein is the result of ________
bonding.
A) covalent
B) peptide
C) ionic
D)
hydrogen
E) none of the above
D
Starch, glycogen, and cellulose are made of repeating units of
________.
A) lactose
B) glucose
C) fructose
D)
sucrose
E) amino acids
B
How many chiral atoms does the open-chain form of glucose
have?
A) 1
B) 2
C) 3
D) 4
E) 5
D
________ acts as a kind of energy bank in the body, and is found
concentrated in muscles and liver.
A) Lactose
B)
Starch
C) Cellulose
D) Glycogen
E) Sucrose
D
What forces hold the strands of DNA together?
A) covalent
bonds
B) hydrogen bonding
C) ion-dipole attraction
D)
coordinate covalent bonds
B
Which one of the following could be a straight-chain alkane?
A)
C9H20
B) C3H3
C) C4H6
D) C5H4
E) C3H6
A
Which one of the following could be a non-branched alkene?
A)
C6H5
B) C7H9
C) C7H14
D) C2H6
E) C9H20
C
Which one of the following could be a cycloalkane?
A) C6H5
B) C3H5
C) C2H6
D) C10H22
E) C5H10
E
Pentane has ________ structural isomers.
A) 3
B) 2
C)
1
D) 4
E) 5
A
What geometric shape will the structure of cyclohexane appear as when
drawn as a line structure?
A) hexagon
B) heptagon
C)
octagon
D) triangle
E) square
A
Gas, isolated from petroleum, has a minimum of ________ carbon
atoms.
A) 1
B) 36
C) 20
D) 16
E) 12
A
The correct name for the molecule CH3CH3 is ________.
A)
ethane
B) propane
C) ethyl
D) propyne
E) butaneA
A
In an addition reaction, H2 is added to 1-propene in the presence of
a nickel catalyst to form ________.
A) propanol
B)
propyne
C) propane
D) 2-butene
E) propanoic acid
C
Primary alcohols can be oxidized to produce ________.
A)
amides
B) esters
C) aldehydes
D) secondary
alcohols
E) amines
C

What is the general formula for an aldehyde?
A
All of the following contain a C=O bond except ________.
A)
aldahydes
B) carboxylic acids
C) alcohols
D)
esters
E) none of the above
C
The suffix used for organic molecules containing the ketone
functional group is ________.
A) -one
B) -oic acid
C)
-oate
D) -amide
E) -ene
A
How many chiral centers are there in CH3CHCHCH2CHBr2?
A)
0
B) 1
C) 2
D) 3
E) 4
A
________ is a disaccharide.
A) Sucrose
B) Fructose
C)
Ribose
D) Cellulose
E) UracilA
A
________ is a monosaccharide.
A) Fructose
B)
Lactose
C) Guanine
D) Glycogen
E) none of the above
A
________ is a polysaccharide.
A) Cellulose
B)
Galactose
C) Ribose
D) Sucrose
E) Uracil
A
What is the electron group geometry surrounding the carbon atoms in alkanes?
tetrahedral
The resistance of gasoline to engine knocking is referred to as its ________.
octane number or octane rating
Why is cyclopropane more reactive than propane?
The small ring of cyclopropane forces the C-C-C bond angle to be significantly less than the 109.5° bond angle of C within the tetrahedral structure of propane.

What is the name of the compound below?
4-propyloctane
Write the formula for 2-methyl-4-propylnonane.

What is the correct name for the compound, Ch3CH=CHCh2CH=CHCH3?
2,2-heptadiene

What is the name of the compound below?
4,6-dimethyl-1-heptyne
Hydrogenation of an alkene requires high temperatures and a catalyst such as nickel. Why is this?
due to the large bond enthalpy of H2
Predict the product of the catalytic hydrogenation of 6-ethyl-3-decene.
6-ethyldecane
Hydrogenation of what alkyne produces propane?
propyne
In the reaction of nitric acid with benzene, which isomer is formed when a second nitro group is substituted?
meta
The addition of an alkyl halide to an aromatic ring compound is called the ________ reaction.
Friedel-Crafts
The anaerobic conversion of carbohydrates to ethanol is driven by the presence of ________.
yeast
What is the name of the compound CH3CH2CH(OH)CH2CH2CH3?
3-hexanol
The formation of aspirin by reacting salicylic acid with acetic acid is a(n) ________ reaction.
condensation
In the oxidation of ethanol the intermediate formed is ________.
acetaldehyde
The primary ingredient in vinegar is ________.
acetic acid
The aromas of different fruit are due to the chemical compounds known as ________.
esters
The hydrolysis of an ester in the presence of a base is called ________.
saponification
Non-superimposable mirror-image isomers of a substance are called ________.
enantiomers
Living organisms must expend energy to counter any increase in ________.
entropy
The doubly ionized form of an amino acid is called a(n) ________.
zwitterion
Of the 20 amino acids found in our bodies, ________ of them must be ingested because our bodies cannot synthesize sufficient quantities of them.
10
Large protein molecules that act as catalysts are called ________.
enzymes
The most important acidic and basic functional groups in all amino acids are the ________ and the ________ groups, respectively.
carboxylic acid, amino
The condensation reaction of a carboxyl group of one amino acid and the amino group of a second amino acid results in the formation of a(n) ________.
peptide bond
Lactose is a disaccharide of glucose and ________.
galactose
The monomers of nucleic acids, called nucleotides, consist of three parts. These are ________.
phosphoric acid, a five-carbon sugar, and a nitrogen-containing organic base
In DNA, adenine is always paired with ________.
thymine
The overall polarity of organic molecules is high.
false
Cyclobutane is more reactive than butane.
true
The stability of benzene is a major function of delocalized π bonding.
true
Aldehydes are less reactive than ketones.
false
A carbon with three or more attached groups will be chiral.
false
Racemic mixtures of enantiomers do not rotate the plane of polarized light.
true
The majority of glucose molecules exist in ring structure.
true
Humans digest starch but not cellulose because of differences in the type of linkage between the glucose monomers of these substances.
true
The DNA double helix is held together by hydrogen bonds and London dispersion forces.
true