
The velocity graph of a braking car is shown. Use it to estimate to the nearest foot the distance traveled by the car while the brakes are applied. Use a left sum with n = 7.
19

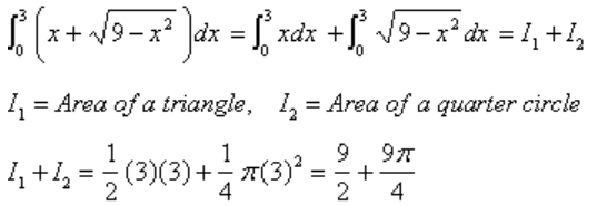
Evaluate by interpreting it in terms of areas.


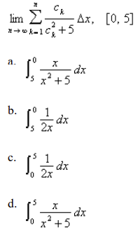
Express the limit as a definite integral on the given interval.

Find an expression for the area under the graph of f as a limit. Do not evaluate the limit.
f(x) = √sinx x, 0 ≤ x ≤ π


Find the limit.
3

Find gt(x) by evaluating the integral using Part 2 of the Fundamental Theorem and then differentiating.
6 + cos x
An animal population is increasing at a rate of 32 + 36t per year (where t is measured in years). By how much does the animal population increase between the fourth and tenth years?
1704

Evaluate the definite integral.
0

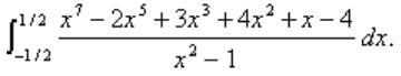
Evaluate the integral.
18.75

Evaluate the indefinite integral.
2/5 (x2 + 3)5 + C
Use the definition of area to find the area of the region under the graph of f on [a, b] using the indicated choice of ck.
f(x) = x2, [0,6], ck is the left endpoint
72

Evaluate the limit after first finding the sum (as a function of n) using the summation formulas.
76/3

The graph of a function f on the interval [0, 8] is shown in the figure. Compute the Riemann sum for f on [0, 8] using four subintervals of equal length and choosing the evaluation points to be (a) the left endpoints, (b) the right endpoints, and (c) the midpoints of the subintervals.
a. 18
b. 10
c. 10
You are given function f defined on an interval [a, b], the number n
of subintervals of equal length ∆x = (b-a)/n, and the evaluation
points ck in [xk -1, xk].
(a) Sketch the
graph of f and the rectangles associated with the Riemann sum for f on
[a, b], and
(b) find the Riemann sum.
f(x) = 2x - 3, [0,2], n=4, ck is the right endpoint


Evaluate
4

a. 5x2
b. 5/3x3 - 625/3
c. 5x2

Evaluate the integral.
2 - √2
The acceleration function of a body moving along a coordinate line is
a(t) = -7 cos 2t - 8 sin 2t t ≥ 0
Find its velocity and position functions at any time t if it is located at the origin and has an initial velocity of 4 m/sec.
v(t) = -7/2 sin 2t + 4 cos 2t, s(t) = 7/4 cos 2t + 2 sin 2t - 7/4

Find the indefinite integral.
2/15(3x + 16)√(x-8)3 + C

Show by interpreting the definite integral geometrically.

A sketch of the area between the curve and the x-axis, shows that the area below the x-axis is equal to the area above the x-axis.

The speed of a runner increased steadily during the first three seconds of a race. Her speed at half-second intervals is given in the table. Find a lower estimate for the distance that she traveled during these three seconds.
17.65

By reading values from the given graph of f, use five rectangles to find a lower estimate, to the nearest whole number, for the area from 0 to 10 under the given graph of f.
21
Approximate the area under the curve y = 2/x2 from 1 to 2 using ten approximating rectangles of equal widths and right endpoints. Round the answer to the nearest hundredth.
0.93

The velocity graph of a braking car is shown. Use it to estimate to the nearest foot the distance traveled by the car while the brakes are applied. Use a left sum with n = 7.
19
Find an expression for the area under the graph of f as a limit. Do not evaluate the limit.
f(x) = √sin x, 0 ≤ x ≤ π

If f(x) = √x-4, 1≤x≤6, find the Riemann sum with n = 5 correct to 3 decimal places, taking the sample points to be midpoints.
-10.857

A table of values of an increasing function f(x) is shown. Use the table to find an upper estimate of:
-210

Express the limit as a definite integral on the given interval.

Find the area of the region that lies under the given curve.
y = sin x, 0 ≤ x ≤ π/2
1

Express the sum as a single integral in the form

Find an expression for the area under the graph of f as a limit. Do not evaluate the limit.
f(x) = √sin x, 0 ≤ x ≤ π


43.2

Find the limit.
3

f(x) = 4x3/2; for a = 25/64

Evaluate the integral.
7√3/3 + π/6
Find the area of the region that lies to the right of the y-axis and to the left of the parabola x = 3y - y2
9/2

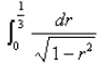
Evaluate the integral.
1/3 arctan (e3) - π/12

Evaluate the definite integral.
-6

Evaluate the integral.
7.5

Evaluate the integral.
193/9
Approximate the area under the curve y = sin x from 0 to π/2 using 8
approximating rectangles of equal widths and right endpoints. The
choices are rounded to the nearest hundredth.
a. 3.09
b.
1.09
c. 4.09
d. 0.09
e. 2.09
b

Evaluate the integral by interpreting it in terms of areas.
a

Evaluate
a. earcsintx/4
b. earcsint
c.
earcsinx
d. ex - arcsinx
e. e
c

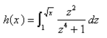
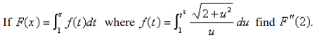
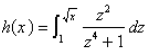
Use Part 1 of the Fundamental Theorem of Calculus to find the derivative of the function.
a. √x+1/x2+2
b. √x2+1/2
c.
√x/2(x2+1)
d. √x/x2+1
e. none of these
c

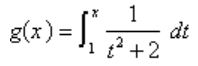
Find the derivative of the function.
a. - 2x/(x2+2)2
b. -2/9
c. 1/3
d.1/x2+2
d
An animal population is increasing at a rate of 13 + 51t per year
(where t is measured in years). By how much does the animal population
increase between the fourth and tenth years?
a. 2220
b.
2240
c. 2270
d. 2320
e. 2230
a

Evaluate the integral.
a. 84
b. 94
c. 54
d. 34
e.74
c
The velocity function (in meters per second) is given for a particle moving along a line. Find the distance traveled by the particle during the given time interval.
v(t) = 8t - 8, 0 ≤ t ≤ 5
a. 36 m
b. 72 m
c. 100 m
d. 64 m
e. 68 m
e

a. 175/6
b. 4
c. 9
d. 4/3
e.6
d

Find the indefinite integral
a. 3/7 x7 - 2x4 + 5x + C
b. 5x -
8x4 + 3x7 + C
c. 3/7 x6 -
2x3 + 5x + C
d.5x - 24x2 + 18x5
+ C
a

Evaluate the definite integral.
a. 0.188
b. 3.25
c.
-0.045
d. 0.35
e.2.891
a

Find the indefinite integral.
a. 2x + 5/4x4 - 1/4x8 + C
b. 2x +
5/2 x2 - 1/3 x6 + C
c. 2x + 5/4
x4 - 1/4 x8 + C
d. 2x + 5/2x2
- 1/3x6 + C
d

Find the indefinite integral
a. x3-25x/x3+25x + C
b. x - 10
arctan(x/5) + C
c. x - 6 arctan(x/5) +
C
d.x3-75x/x3+75x + C
b

Find the integral.
a. 1/29 e2x (2sin5x - 5cos5x) +
C
b. 1/29 e2x (2sin5x - 5cos2x) + C
c. 1/29
e2x (2sin5x - 2cos5x) + C
d. 1/29 e2x
(2sin5x - 5cos5x) + C
a

Evaluate the indefinite integral.
a. 1/10 cot10x +
C
b. 1/10 sin10x + C
c. 1/10 cos10x +
C
d. - 1/10 sin10x + C
e. - 1/10
cos10x + C
e

Evaluate the integral by making the given substitution.
a. 2/3
(x3 + 2)3/2
b. 2/9 (x3 +
2)1/2 + C
c. - 2/9 (x3 + 2)3/2
+ C
d. 2/9 (x3 + 2)3/2 + C
e. 1/9
(x3 + 2)1/2 + C
d
Evaluate the integral.
∫2 sin x cos(cos x) dx
a. -2cos(sin x) + C
b. sin(cosx)/2 + C
c. 2sin(cosx) +
C
d. -2sin(cosx) + C
e. None of these
d
Find the integral.
∫tan3x sec5x dx
a. 1/7 sec7x - 1/5 sec5x + C
b. 1/5
sec5x + 1/3 sec3x + C
c. 1/7
sec7x + 1/5 sec5x + C
d. 1/5
sec5x - 1/3 sec3x + C
a
Find the integral using an appropriate trigonometric substitution.
∫x√9-x2 dx
a. 1/3 x2(9 - x2)3/2 + C
b.
- 1/3 (9 - x2)3/2 + C
c. - 1/3
x2(9 - x2)3/2 + C
d. 1/3
(9 - x2)3/2 + C
b
Find the integral using an appropriate trigonometric substitution.
∫x3/√x2+36 dx
a. 1/3 (x2 + 36)3/2 √x2+36 +
C
b. 1/3 (x2 + 72) √x2+36 + C
c. 1/3
(x2 - 72) √x2+36 + C
d. 1/3 (x2
- 36)3/2 √x2+36 + C
c

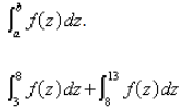
a. 7
b. -13
c. 20
d. 6
e.13
d

a. 18
b. 22
c. 54
d. 22/3
a

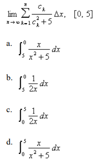
The given expression is the limit of a Riemann sum of a function f on [a, b]. Write this expression as a definite integral on [a, b].
d

c

c

Evaluate the integral.
a. –14
b. –11
c. 10
d. 14
c
The marginal cost of manufacturing x yards of a certain fabric is
Ct(x) = 3 - 0.01x + 0.000006x2
in dollars per yard. Find the increase in cost if the production
level is raised from 1500 yards to 5500 yards.
a.
$188,000.00
b. $198,000.00
c. $178,000.00
d.
$218,000.00
e. $208,000.00
b
The acceleration function (in m/s2) and the initial velocity are given for a particle moving along a line. Find the velocity at time t and the distance traveled during the given time interval.
a(t) = t + 4, v(0) = 6, 0 ≤t ≤ 10
a. v(t) = t2/2 + 6t m/s, 576 2/3 m
b. v(t) =
t2/2 + 6t m/s, 601 2/3 m
c. v(t) = t2/2 +4t
+ 6 m/s, 526 2/3 m
d. v(t) = t2/2 +4t + 6 m/s, 426 2/3
m
e. v(t) = t2/2 + 6 m/s, 626 2/3 m
d

The velocity of a car was read from its speedometer at ten-second
intervals and recorded in the table. Use the Midpoint Rule to estimate
the distance traveled by the car.
a. 1.2 miles
b.
1.8 miles
c. 0.8 miles
d. 2.4 miles
e. 0.6 miles
a

a. 175/6
b. 4
c. 9
d. 4/3
e. 6
d
Find the area of the region under the graph of f on [a, b].
f(x) = x2 - 2x + 4; [-1,2]
a. 3
b. –12
c. 12
d. –3
c

a. 6.25
b. 125
c. 25/6
d. 125/6
e. 45.6
d
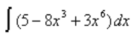
Find the indefinite integral.
∫(4 - 7x4 + 3x6)dx
a. 3/7 x7 - - 7/5 x5 + 4x + C
b. 4x -
28x3 + 18x5 + C
c. 3/7 x6 - 7/5
x4 + 4x + C
d.4x - 7x5 + 3x7 + C
a
Find the indefinite integral.
∫cot2x/cos2x dx
a. cos2x + C
b. tan x + C
c.
csc2x + C
d.-cotx + C
d

Evaluate the integral by making the given substitution.
d

Evaluate the indefinite integral.
c
Find the indefinite integral.
∫1-cos2x/sinx dx
a. sin x + C
b. 2x + C
c. -csc x + C
d.-cos x + C
d
Evaluate the integral.
∫2 sin x cos(cos x) dx
a. -2cos(sin x) + C
b. sin(cos x)/2 + C
c. 2sin(cos x)
+ C
d. -2sin(cos x) + C
e. None of these
d

Find the integral.
a

Find the integral using an appropriate trigonometric substitution.
a
Estimate to the hundredth the area from 1 to 5 under the graph of
f(x) = 5/x using four approximating rectangles and right endpoints.
Select the correct answer.
a. 8.03
b. 10.03
c.
7.03
d. 9.03
e. 11.03
f. 6.03
a

Determine a region whose area is equal to
y = tan x, 0 ≤ x ≤ π/5
Approximate the area under the curve y = sin x from 0 to π/2 using 7 approximating rectangles of equal widths and right endpoints. The choices are rounded to the nearest hundredth.
1.11

Evaluate the integral by interpreting it in terms of areas.
9/2 π

Evaluate the integral. Select the correct answer.
a.
0.857
b. -0.943
c. 0.557
d. 0.057
e. 1.057
d

Evaluate the integral.
36
Estimate the area from 0 to 5 under the graph of f(x) = 16 -
x2 using five approximating rectangles and right endpoints.
Select the correct answer.
a. 25
b. 20
c. 15
d.
125
e. 225
a
If ht is a child's rate of growth in pounds per year, which of the following expressions represents the increase in the child's weight (in pounds) between the years 3 and 6?

Find the indefinite integral.
∫(8 - 7x3 + 4x6) dx
4/7 x7 - 7/4 x4 + 8x + C

Evaluate the definite integral. Select the correct answer.
a.
-0.045
b. 0
c. 0.35
d. 3.25
e.2.891
b
Find the indefinite integral.
∫(9 - 7x3 + 4x7) dx
1/2 x8 - 74 x4 + 9x + C
Find the integral.
∫xe7x dx
1/49 (7x - 1)e7x + C
Find the integral using an appropriate trigonometric substitution.
∫x/√16-x2 dx
- √16-x2 + C
Find the integral.
∫x tan27x dx
1/7 x tan 7x + 1/49 ln|cos 7x| - 1/2 x2 + C
Evaluate the indefinite integral. Select the correct answer.
∫5ecos x sin x dx
a. -5sin(ecos x) + C
b. -ecos x sin x +
C
c. -5ecos x + C
d. e5sin x +
C
e. 5ecos x sin x + C
c
Find the area of the region that lies under the given curve. Round the answer to three decimal places.
y = √5x+2, 0 ≤ x ≤ 1
2.092
Find the indefinite integral. Select the correct answer.
2x(4x2 + 2)6 dx
a. 2x2(4x2 + 2)7 + C
b. 1/28
(4x2 + 2)7 + C
c. (4x2 +
2)7 + C
d. x2(4x2 +
2)7 + C
b
Find the integral.
∫sin5x cos4x dx
- 1/9 cos9x + 2/7 cos7x - 1/5 cos5x + C
Find the integral.
∫tan5x sec x dx
1/5 sec5x - 2/3 sec3x + sec x + C
Find the integral. Select the correct answer.
∫tan2x sec6x dx
a. 1/7 tan7x + 2/5 tan5x + 1/3
tan3x + C
b. 1/5 tan5x + 2/3
tan3x - tan x + C
c. 1/7 tan7x +
2/5 tan5x - 1/3 tan3x + C
d. 1/5
tan5x + 2/3 tan3x + tan x + C
a
Approximate the area under the curve y = sinx x from 0 to π/2 using 8
approximating rectangles of equal widths and right endpoints. The
choices are rounded to the nearest hundredth.
Select the
correct answer.
a. 3.09
b. 1.09
c. 4.09
d.
0.09
e. 2.09
b
Evaluate the Riemann sum for f(r) = 6 - r2, 0 ≤ r ≤ 2 with
four subintervals, taking the sample points to be right endpoints.
Select the correct answer.
a. 10.75
b. 9.75
c.
8.25
d. 10.25
e. 9.25
c

Evaluate the integral.
Round your answer to the nearest hundredth.
33.5

The given expression is the limit of a Riemann sum of a function f on [a, b]. Write this expression as a definite integral on [a, b].


-5
Find the area of the region that lies beneath the given curve. Select the correct answer.
y = sin x, 0 ≤ x ≤ π/3
a. 1.500
b. 1.450
c. –0.500
d. – 1.500
e. 0.500
e

Find the derivative of the function.
1/x2+2

Evaluate the integral. Select the correct answer.
a. –14
b. –11
c. 10
d. 14
c

Evaluate the integral.
0.340

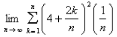
Evaluate the limit by interpreting it as the limit of a Riemann sum of a function on the interval [a, b].
243/5
The marginal cost of manufacturing x yards of a certain fabric is
Ct(x) = 3 - 0.01x + 0.000006x2
in dollars per yard. Find the increase in cost if the production
level is raised from 1500 yards to 5500 yards.
Select the
correct answer.
a. $188,000.00
b. $198,000.00
c.
$178,000.00
d. $218,000.00
e. $208,000.00
b
Evaluate the integral if it exists.
∫(5-x/x)2 dx
x - 10 ln x - 25/x + C

Evaluate the integral.
-0.400
Find the indefinite integral.
∫(5 - 8x3 + 3x6) dx
3/7 x7 - 2x4 + 5x + C
Find the integral.
∫x sin 5x dx
1/25 (sin5x - 5x cos 5x) + C
Find the integral. Select the correct answer.
∫x tan25x dx
a. 1/2 x tan5x + 1/5 ln|cos5x| - 1/2 x2 + C
b. 1/2
x2 tan5x + 1/5 ln|cos5x| - 1/2 x2 + C
c.
1/5 x tan5x + 1/25 ln|cos5x| - 1/2 x2 + C
d. 1/5
x2 tan5x + 1/25 ln|cos5x| - 1/2 x2 + C
c

Evaluate the integral.
π/24
Evaluate the indefinite integral.
∫7ecos x sin x dx
-7ecos x + C
Find the indefinite integral.
∫1-cos2x/sinx dx
-cos x + C
Find the integral.
∫tan3x sec5x dx
1/7 sec7x - 1/5 sec5x + C

Use the Midpoint Rule with n = 10 to approximate the integral. Select
the correct answer.
a. 7.882848
b. 1.882848
c.
12.882848
d. 10.882848
e.2.882848
e

3√2
Find the area of the region that lies beneath the given curve.
y = sin x, 0 ≤ x ≤ π/3
0.500

Find the derivative of the function.
1/x2+4
Find the general indefinite integral. Select the correct answer.
∫sin40t/sin20t dt
a. -cos40t/40 + C
b. sin20t/10 + C
c. sin40t/40 +
C
d. -sin40t/40 + C
e. cos40t/10 + C
b

Evaluate the integral.
2π/3

Evaluate the integral. Select the correct answer.
a. 84
b.
54
c. 34
d. 74
e. 94
b

Evaluate the integral.
24.4
If ht is a child's rate of growth in pounds per year, which of the following expressions represents the increase in the child's weight (in pounds) between the years 2 and 7?


Evaluate the definite integral.
0.188
Find the integral using an appropriate trigonometric substitution.
∫x/√4-x2 dx
-√4-x2 + C
Find the integral. Select the correct answer.
∫x7 ln x dx
a. 1/64 x8(ln x - 1) + C
b. 1/8 x7 + 1/x
+ C
c. 1/64 x8(8ln x - 1) + C
d. 1/8
x8(8ln x - 1) + C
c
Alabama Instruments Company has set up a production line to manufacture a new calculator. The rate of production of these calculators after t weeks is
dx/dt = 5700(1 - 140/(t+20)2)
calculators per week. Production approaches 5,700 per week as time goes on, but the initial production is lower because of the workers' unfamiliarity with the new techniques. Find the number of calculators produced from the beginning of the third week to the end of the fourth week. Round the answer to the nearest integer.
8377
Evaluate the indefinite integral.
∫cos8x sin x dx
- 1/9 cos9x + C
Evaluate the integral by making the given substitution.
∫x2 √x3+6 dx, u = x3 + 6
2/9 (x3 + 6)3/2 + C
Evaluate the indefinite integral. Select the correct answer.
∫7+12x/√7+7x+6x2 dx
a. 2 √7+7x+6x2 + C
b. - √7+7x+6x2 +
C
c. -5 √7+7x+6x2 + C
d. √7+7x+6x2 +
C
e. -2 √7+4x+5x2 + C
a
Find the integral using the indicated substitution.
∫tan6x sec2x dx, u = tan x
1/7 tan7x + C
Find the indefinite integral.
∫5x/√5-x2 dx
-5√5-x2 + C
Find the integral.
∫cos3x sin4x dx
1/5 sin5x - 1/7 sin7x + C
Find the integral.
∫tan4x sec4x dx
1/7 tan7x + 1/5 tan5x + C
Estimate to the hundredth the area from 1 to 5 under the graph of f(x) = 4/x using four approximating rectangles and right endpoints.
5.44
Find the area of the region under the graph of f on [a, b].
f(x) = x2 - 2x + 2; [-1,2]
6

Use the Midpoint Rule with n = 5 to approximate the integral. Select
the correct answer. Round your answer to three decimal places.
a. 35.909
b. 37.709
c. 36.409
d. 31.409
e. 36.909
d

The given expression is the limit of a Riemann sum of a function f on [a, b]. Write this expression as a definite integral on [a, b]. Select the correct answer.
d



Use Part 1 of the Fundamental Theorem of Calculus to find the derivative of the function.
√x/2(x2+1)

Use Part 1 of the Fundamental Theorem of Calculus to find the derivative of the function. Select the correct answer.
c



Evaluate the integral. Select the correct answer.
a.
0.340
b. 0.111
c. 0.321
d. 0.987
e. 0.568
a
Find the general indefinite integral.
∫sin120t/sin60t dt
sin60t/30 + C
The marginal cost of manufacturing x yards of a certain fabric is
Ct(x) = 3 - 0.01x + 0.000006x2
in dollars per yard. Find the increase in cost if the production level is raised from 1500 yards to 5500 yards.
$198,000.00

Evaluate the integral. Select the correct answer.
a. –0.500
b. –1.000
c. -0.400
d. 0.250
e. 1.000
c
Find the indefinite integral.
∫(4 - 7x4 + 3x6) dx
3/7 x7 - 7/5 x5 + 4x + C
Find the integral.
∫x sin5x dx
1/25 (sin5x - 5xcos5x) + C
Alabama Instruments Company has set up a production line to manufacture a new calculator. The rate of production of these calculators after t weeks is
dx/dt = 5700(1 - 130/(t+18)2)
calculators per week. Production approaches 5,700 per week as time goes on, but the initial production is lower because of the workers' unfamiliarity with the new techniques. Find the number of calculators produced from the beginning of the third week to the end of the fourth week.
Round the answer to the nearest integer.
a. 8232
b.
7732
c. 8132
d. 8332
e. 8032
e
Evaluate the integral by making the given substitution.
∫x2 √x3+2 dx, u = x3 + 2
2/9 (x3 + 2)3/2 + C

Evaluate the integral if it exists.
none of these
Find the indefinite integral. Select the correct answer.
∫(x2 + 4x - 5)2(2x + 4) dx
a. -2(x2 + 4x - 5)3 + C
b.
2(x2 + 4x - 5)3 + C
c. (x2 + 4x
- 5)3 + C
d. 1/3 (x2 + 4x - 5)3
+ C
d
Evaluate the integral.
∫2sin x cos(cos x) dx
-2sin(cos x) + C
Find the integral using an appropriate trigonometric substitution. Select the correct answer.
∫x √9-x2 dx
a. 1/3 x2(9 - x2)3/2 + C
b.
-1/3 (9 - x2)3/2 + C
c. -1/3
x2(9 - x2)3/2 + C
d. 1/3 (9 -
x2)3/2 + C
b