Print Options

Card layout: ?

← Back to notecard set|Easy Notecards home page

Instructions for Side by Side Printing
  1. Print the notecards
  2. Fold each page in half along the solid vertical line
  3. Cut out the notecards by cutting along each horizontal dotted line
  4. Optional: Glue, tape or staple the ends of each notecard together
  1. Verify Front of pages is selected for Viewing and print the front of the notecards
  2. Select Back of pages for Viewing and print the back of the notecards
    NOTE: Since the back of the pages are printed in reverse order (last page is printed first), keep the pages in the same order as they were after Step 1. Also, be sure to feed the pages in the same direction as you did in Step 1.
  3. Cut out the notecards by cutting along each horizontal and vertical dotted line
To print: Ctrl+PPrint as a list

12 notecards = 3 pages (4 cards per page)

Viewing:

Chapter 5 - Stereochemistry

front 1

Determine the relationship between the following two compounds? Also name the compounds according to IUPAC rules.

back 1

Diastereomers

(cis)-1,2-dimethylcyclohexane

(trans)-1,2-dimethylcyclohexane

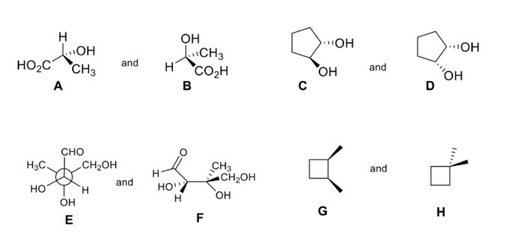
front 2

How are the compounds in each pair related to each other?

back 2

A and B are enantiomers

C and D are diasteromers

E and F are identical

G and H are constitutional isomers

front 3

Determine which of the following compounds are achiral. If not, identify the stereogenic centers and label as R or S configuration.

back 3

A and B are achiral.

front 4

Determine which of the following compounds are optically active.

back 4

Compounds B and D are chiral, therefore optically active

front 5

Compare the following boiling points for compounds B and D

back 5

The boiling points for the two compounds are the same.

front 6

Determine which of the following molecules are chiral. If so, identify either R or S configuration.

back 6

I (R) and II (R) are chiral molecules.

front 7

How many 1H and 13C NMR signals does the following compound have?

back 7

6 and 7 respectively

front 8

Determine the integration and splitting pattern for each proton signal.

back 8

A - (1H) quartet

B - (9H) singlet

C - (3H) doublet

D - (3H) singlet

front 9

How many 1H and 13C NMR signals does the following compound have? Determine the integration and splitting pattern for each proton signal.

back 9

4 and 5 respectively.

front 10

What information could be deduced from this IR Spectrum?

back 10

O-H group (strong broad peak around 3000)

front 11

What information could be deduced from this IR Spectrum?

back 11

O-H Group (strong broad peak around 3000) and C=0 (strong peak at 1700)

front 12

Which structure is most consistent with the following 1H NMR and which details allowed you to eliminate the other structures?

back 12

Structure B

A- The most downfield structure is a quartet, but the proton signal bonded directly to the oxygen is a singlet

C- There are three signals shown on the NMR whereas the structure has four signals

D- The signal on the NMR are more downfield than the protons shown on the compound