Print Options

Card layout: ?

← Back to notecard set|Easy Notecards home page

Instructions for Side by Side Printing
  1. Print the notecards
  2. Fold each page in half along the solid vertical line
  3. Cut out the notecards by cutting along each horizontal dotted line
  4. Optional: Glue, tape or staple the ends of each notecard together
  1. Verify Front of pages is selected for Viewing and print the front of the notecards
  2. Select Back of pages for Viewing and print the back of the notecards
    NOTE: Since the back of the pages are printed in reverse order (last page is printed first), keep the pages in the same order as they were after Step 1. Also, be sure to feed the pages in the same direction as you did in Step 1.
  3. Cut out the notecards by cutting along each horizontal and vertical dotted line
To print: Ctrl+PPrint as a list

55 notecards = 14 pages (4 cards per page)

Viewing:

Chapter 20

front 1

1) Penicillin was considered a "miracle drug" for all of the following reasons EXCEPT

A) it was the first antibiotic.

B) it does not affect eukaryotic cells.

C) it inhibits gram-positive cell wall synthesis.

D) it has selective toxicity.

E) it kills bacteria.

back 1

Answer: A

front 2

2) A drug that inhibits mitosis, such as griseofulvin, would be more effective against

A) gram-positive bacteria.

B) gram-negative bacteria.

C) fungi.

D) wall-less bacteria.

E) mycobacteria.

back 2

Answer: C

front 3

3) Most of the available antimicrobial agents are effective against

A) viruses.

B) bacteria.

C) fungi.

D) protozoa.

E) All of the answers are correct.

back 3

Answer: B

front 4

4) Antimicrobial peptides (AMPs) frequently work by

A) inhibiting protein synthesis.

B) disrupting the plasma membrane.

C) complementary base pairing with DNA.

D) inhibiting cell-wall synthesis.

E) hydrolyzing peptidoglycan.

back 4

Answer: B

front 5

5) In what way are semisynthetic penicillins and natural penicillins alike?

A) Both are broad spectrum.

B) Both are resistant to penicillinase.

C) Both are resistant to stomach acids.

D) Both are bactericidal.

E) Both are based on β-lactam.

back 5

Answer: E

front 6

6) Which of the following antibiotics is NOT bactericidal?

A) aminoglycosides

B) cephalosporins

C) polyenes

D) rifampins

E) penicillin

back 6

Answer: C

front 7

7) Which one of the following does NOT belong with the others?

A) bacitracin

B) cephalosporin

C) monobactam

D) penicillin

E) streptomycin

back 7

Answer: E

front 8

The antibiotic tetracycline binds to the 30S subunit of the ribosome, as shown by the dark black bar on the right portion of the diagram in Figure 20.1. The effect is to

A) prevent attachment of DNA.

B) prevent peptide bond formation.

C) prevent transcription.

D) stop the ribosome from moving along the mRNA.

E) interfere with the attachment of the tRNA to mRNA-ribosome complex.

back 8

Answer: E

front 9

The antibiotic chloramphenicol binds to the 50S subunit of the ribosome, as shown in Figure 20.2. The effect is to

A) prevent mRNA-ribosome binding in eukaryotes.

B) prevent peptide bond formation in prokaryotes.

C) prevent polypeptide elongation in eukaryotes.

D) prevent transcription in prokaryotes.

E) prevent ribosome formation in bacteria.

back 9

Answer: B

front 10

10) Which of the following antimicrobial agents has the fewest side effects?

A) streptomycin

B) tetracycline

C) penicillin

D) erythromycin

E) chloramphenicol

back 10

Answer: C

front 11

11) Which of the following drugs does NOT act by competitive inhibition?

A) ethambutol

B) isoniazid

C) streptomycin

D) sulfonamide

E) trimethoprim

back 11

Answer: C

front 12

12) Which of the following methods of action would be bacteriostatic?

A) competitive inhibition with folic acid synthesis

B) inhibition of protein synthesis

C) injury to plasma membrane

D) inhibition of cell wall synthesis

E) competitive inhibition with DNA gyrase

back 12

Anwer: B

front 13

13) Which of the following antibiotics is recommended for use against gram-negative bacteria?

A) polyenes

B) bacitracin

C) cephalosporin

D) penicillin

E) polymyxin

back 13

Answer: E

front 14

14) Which of the following antimicrobial agents is recommended for use against fungal infections?

A) amphotericin B

B) bacitracin

C) cephalosporin

D) penicillin

E) polymyxin

back 14

Answer: A

front 15

15) 5) In Table 20.1, as illustrated by the data shown, the minimal bactericidal concentration of antibiotic X is

A) 2 μg/ml.

B) 10 μg/ml.

C) 15 μg/ml.

D) 25 μg/ml.

E) The answer cannot be determined based on the information provided.

back 15

Answer: C

front 16

16) In Table 20.1, the minimal inhibitory concentration of antibiotic X is

A) 2 μg/ml.

B) 10 μg/ml.

C) 15 μg/ml.

D) 25 μg/ml.

E) The answer cannot be determined based on the information provided.

back 16

Answer: B

front 17

17) More than half of our antibiotics are

A) produced by fungi.

B) produced by bacteria.

C) synthesized in laboratories.

D) produced by Fleming.

E) produced by eukaryotic organisms.

back 17

Answer: B

front 18

18) To date, most of our natural antibiotics have been found to be produced by members of what genus?

A) Streptomyces

B) Bacillus

C) Penicillium

D) Paenibacillus

E) Cephalosporium

back 18

Answer: A

front 19

19) Which of the following is mismatched?

A) Ehrlich — "magic bullet" theory

B) Fleming — initial identification of penicillin's effect on gram-positive microbial growth

C) Florey and Chain — identification of Penicillium as the producer of penicillin

D) Kirby and Bauer — disc-diffusion method

E) None of these is mismatched.

back 19

Answer: C

front 20

20) Which compound would be the most useful to treat candidiasis?

A) uracil

B) thymine

C) flucytosine

D) guanine

E) penicillin

back 20

Answer: C

front 21

21) Which of the following antibiotics are used to treat fungal infections?

aminoglycosides

cephalosporins

griseofulvin

polyenes

bacitracin

A) 1, 2, and 3

B) 3 and 4

C) 3, 4, and 5

D) 4 and 5

E) All of these antibiotics are used to treat fungal infections.

back 21

Answer: B

front 22

22) Which of the following antibiotics does NOT interfere with cell wall synthesis?

A) cephalosporins

B) macrolides

C) natural penicillins

D) semisynthetic penicillins

E) vancomycin

back 22

Answer: B

front 23

23) The antimicrobial drugs with the broadest spectrum of activity are

A) aminoglycosides.

B) chloramphenicol.

C) penicillin G.

D) macrolides.

E) tetracyclines.

back 23

Answer: E

front 24

24) Which of the following statements is FALSE?

A) Fluoroquinolone inhibits DNA synthesis.

B) Acyclovir inhibits DNA synthesis.

C) Amantadine inhibits the release of viral nucleic acid.

D) Interferon inhibits glycolysis.

E) Azoles inhibit plasma membrane synthesis.

back 24

Answer: D

front 25

25) Protozoan and helminthic diseases are difficult to treat because

A) their cells are structurally and functionally similar to human cells.

B) they replicate inside human cells.

C) they do not have ribosomes.

D) they do not reproduce.

E) they have more genes than bacteria.

back 25

Answer: A

front 26

26) Which of the following organisms would MOST likely be sensitive to natural penicillin?

A) helminths

B) Streptococcus pyogenes

C) penicillinase-producing Neisseria gonorrhoeae

D) Penicillium

E) Mycoplasma

back 26

Answer: B

front 27

27) Which of the following statements about drug resistance is FALSE?

A) It may be carried on a plasmid.

B) It may be transferred from one bacterium to another during conjugation.

C) It may be due to enzymes that degrade some antibiotics.

D) It is found only in gram-negative bacteria.

E) It may be due to increased uptake of a drug.

back 27

Answer: D

front 28

28) Which of the following does NOT constitute an advantage of using two antibiotics together?

A) It can prevent drug resistance.

B) It lessens the toxicity of individual drugs.

C) Two are always twice as effective as one.

D) It allows treatment to be provided prior to diagnosis.

E) All of these are advantages of using two antibiotics together.

back 28

Answer: C

front 29

29) Drug resistance occurs

A) because bacteria are normal microbiota.

B) when antibiotics are used indiscriminately.

C) against antibiotics and not against synthetic chemotherapeutic agents.

D) when antibiotics are taken after the symptoms disappear.

E) All of the answers are correct.

back 29

Answer: B

front 30

30) In Table 20.2, the most effective antibiotic tested was

A) A.

B) B.

C) C.

D) D.

E) The answer cannot be determined based on the information provided.

back 30

Answer: D

front 31

31) In Table 20.2, the antibiotic that exhibited bactericidal action was

A) A.

B) B.

C) C.

D) D.

E) The answer cannot be determined based on the information provided.

back 31

Answer: E

front 32

32) In Table 20.2, which antibiotic would be most useful for treating a Salmonella infection?

A) A

B) B

C) C

D) D

E) The answer cannot be determined based on the information provided.

back 32

Answer: E

front 33

33) Which of the following would be selective against the tubercle bacillus?

A) bacitracin — inhibits peptidoglycan synthesis

B) ethambutol — inhibits mycolic acid synthesis

C) streptogramin — inhibits protein synthesis

D) streptomycin — inhibits protein synthesis

E) vancomycin — inhibits peptidoglycan synthesis

back 33

Answer: B

front 34

34) In the presence of penicillin, a cell dies because

A) it lacks a cell wall.

B) it plasmolyzes.

C) it undergoes lysis.

D) it lacks a cell membrane.

E) its contents leak out.

back 34

Answer: C

front 35

35) Lamisil is an allylamine used to treat dermatomycoses. Lamisil's method of action is similar to that of

A) polymyxin B.

B) azole antibiotics.

C) echinocandins.

D) griseofulvin.

E) bacitracin.

back 35

Answer: B

front 36

36) Niclosamide prevents ATP generation in mitochondria. You would expect this drug to be effective against

A) gram-negative bacteria.

B) gram-positive bacteria.

C) helminths.

D) Mycobacterium tuberculosis.

E) viruses.

back 36

Answer: C

front 37

The data in Table 20.3 show that these bacteria

A) are pathogenic.

B) developed resistance to antibiotics.

C) were killed by 0.125 μg/ml of antibiotic X.

D) were killed by 0.5 μg/ml of antibiotic X.

E) were resistant to 1.0 μg/ml at the start of the experiment.

back 37

Answer: B

front 38

38) Which of the following statements about drugs that competitively inhibit DNA polymerase or RNA polymerase is FALSE?

A) They can potentially cause mutations.

B) They are used against viral infections.

C) They can affect host cell DNA synthesis.

D) They cause cellular plasmolysis.

E) They interfere with protein synthesis.

back 38

Answer: D

front 39

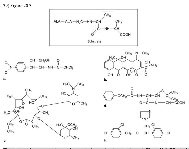
The substrate for transpeptidase used to synthesize peptidoglycan is shown in Figure 20.3. Which of the drugs shown would inhibit peptidoglycan synthesis?

  1. A) a
  2. B) b
  3. C) c
  4. D) d
  5. E) e

back 39

Answer: D

front 40

The structures of the influenza drug Tamiflu and sialic acid, the substrate for influenza virus's neuramidase, are shown in Figure 20.4. What is the method of action of Tamiflu?

A) inhibits cell wall synthesis

B) inhibits plasma membrane synthesis

C) inhibits synthesis of neuramidase

D) competitive inhibition

E) prevents synthesis of virus spikes

back 40

Answer: D

front 41

41) Which of the following does NOT affect eukaryotic cells?

A) antiprotozoan drugs

B) antihelminthic drugs

C) antifungal drugs

D) nucleotide analogs

E) semisynthetic penicillins

back 41

Answer: E

front 42

42) Mebendazole is used to treat cestode infections. It interferes with microtubule formation; therefore, it would NOT affect

A) bacteria.

B) fungi.

C) helminths.

D) human cells.

E) protozoa.

back 42

Answer: A

front 43

43) Which of the following antibiotics causes misreading of mRNA?

A) aminoglycoside — changes shape of 30S units

B) chloramphenicol — inhibits peptide bonds at 50S subunit

C) oxazolidinone — prevents formation of 70S ribosome

D) streptogamin — prevents release of peptide from 70S ribosome

E) tetracyclines — bind with 30S subunit

back 43

Answer: A

front 44

44) The antibiotic actinomycin D binds between adjacent G-C pairs, thus interfering with

A) transcription.

B) translation.

C) cellular respiration.

D) plasma membrane function.

E) peptide bond formation.

back 44

Answer: A

front 45

45) Use of antibiotics in animal feed leads to antibiotic-resistant bacteria because

A) bacteria from other animals replace those killed by the antibiotics.

B) the few surviving bacteria that are affected by the antibiotics develop immunity to the antibiotics, which they pass on to their progeny.

C) the antibiotics cause new mutations to occur in the surviving bacteria, which results in resistance to antibiotics.

D) the antibiotics kill susceptible bacteria, but the few that are naturally resistant live and reproduce, and their progeny repopulate the host animal.

E) the antibiotics persist in soil and water.

back 45

Answer: D

front 46

1) An antibiotic that attacks the LPS layer would be expected to have a narrow spectrum of activity.

back 46

Answer: TRUE

front 47

2) PABA serves as the competitive inhibitor in the action of sulfanilamides.

back 47

Answer: FALSE

front 48

3) Undergrowth of fungi after antibiotic use is commonly referred to as a superinfection.

back 48

Answer: FALSE

front 49

4) Due to its target, rifamycins can be effective over a broad spectrum.

back 49

Answer: TRUE

front 50

5) Both trimethoprim and sulfamethoxazole inhibit reactions along the same metabolic pathway.

back 50

Answer: TRUE

front 51

6) Penicillin and streptomycin are commonly used in synergism because they display the same mode of action.

back 51

Answer: FALSE

front 52

7) Only microbes produce antimicrobial peptides.

back 52

Answer: FALSE

front 53

8) Community-acquired MRSA is typically more virulent than health care-associated MRSA.

back 53

Answer: TRUE

front 54

9) Antiviral drugs target viral processes that occur during viral infection.

back 54

Answer: TRUE

front 55

10) Phage therapy has been used in the past as an antiviral treatment.

back 55

Answer: FALSE