Print Options

Card layout: ?

← Back to notecard set|Easy Notecards home page

Instructions for Side by Side Printing
  1. Print the notecards
  2. Fold each page in half along the solid vertical line
  3. Cut out the notecards by cutting along each horizontal dotted line
  4. Optional: Glue, tape or staple the ends of each notecard together
  1. Verify Front of pages is selected for Viewing and print the front of the notecards
  2. Select Back of pages for Viewing and print the back of the notecards
    NOTE: Since the back of the pages are printed in reverse order (last page is printed first), keep the pages in the same order as they were after Step 1. Also, be sure to feed the pages in the same direction as you did in Step 1.
  3. Cut out the notecards by cutting along each horizontal and vertical dotted line
To print: Ctrl+PPrint as a list

45 notecards = 12 pages (4 cards per page)

Viewing:

chapter 6

front 1

1) Figure 6.1, which line best depicts a facultative anaerobe in the absence of O2?

A) a

B) b

C) c

back 1

Answer: B

front 2

2) In Figure 6.1,which line best depicts an obligate anaerobe in the presence of O2?

A) a

B) b

C) c

back 2

Answer: C

front 3

3) In Figure 6.1, which line shows the growth of an obligate aerobe incubated anaerobically?

A) a

B) b

C) c

back 3

Answer: C

front 4

4) In Figure 6.1, which line best illustrates the growth of a facultative anaerobe incubated aerobically?

A) a

B) b

C) c

back 4

Answer: A

front 5

5) In Figure 6.1, which line best depicts a psychrotroph incubated at 0°C?

A) a

B) b

C) c

back 5

Answer: B

front 6

6) If cells are grown in media containing amino acids labeled with radioactive nitrogen (15N), most of the radioactivity will be found in the cells'

A) DNA.

B) proteins.

C) phospholipids.

D) DNA and proteins.

E) DNA and phospholipids.

back 6

Answer: D

front 7

7) Which of the following elements is NOT correctly matched with its cellular function?

A) nitrogen — needed for amino acid synthesis

B) phosphorus — incorporated into nucleic acids

C) sulfur — used for synthesis of thiamin and biotin

D) magnesium and potassium — required as cofactors for enzymes

E) phosphorus — used for production of carbohydrates.

back 7

Answer: E

front 8

8) Pathogenic bacteria isolated from the respiratory or intestinal tracts of humans are

A) strict aerobes that grow best in candle jars.

B) capnophiles that grow best in carbon dioxide incubators.

C) facultative anaerobes that require reducing media for growth.

D) strict aerobes that grow best in reducing media.

E) capnophiles that prefer highly oxygenated growth conditions.

back 8

Answer: B

front 9

9) The biosafety level (BSL) for most introductory microbiology laboratories is

A) BSL-1.

B) BSL-2.

C) BSL-3.

D) BSL-4.

back 9

Answer: A

front 10

10) The biosafety level (BSL) for a clinical microbiology laboratory working with potentially airborne pathogens, such as tuberculosis bacteria, is

A) BSL-1.

B) BSL-2.

C) BSL-3.

D) BSL-4.

back 10

Answer: C

front 11

11) A sample of milk is tested for its bacterial content in a plate count assay. A one-milliliter sample of the milk is diluted in a 1:10 dilution series. One milliliter of the third dilution tube is plated in a pour plate. After incubation, the plate has 54 colonies, indicating that the original milk sample contained

A) 54 cells per milliliter.

B) 540 cells per milliliter.

C) 5,400 cells per milliliter.

D) 54,000 cells per milliliter.

E) 540,000 cells per milliliter.

back 11

Answer: D

front 12

12) The addition of which of the following to a culture medium will neutralize acids?

A) buffers

B) sugars

C) pH

D) heat

E) carbon

back 12

Answer: A

front 13

13) Salts and sugars work to preserve foods by creating a

A) depletion of nutrients.

B) hypotonic environment.

C) lower osmotic pressure.

D) hypertonic environment.

E) lower pH.

back 13

Answer: D

front 14

14) The term aerotolerant anaerobe refers to an organism that

A) does not use oxygen but tolerates it.

B) is killed by oxygen.

C) tolerates normal atmospheric nitrogen gas levels.

D) requires less oxygen than is present in air.

E) requires more oxygen than is present in air.

back 14

Answer: A

front 15

15) Which of the following is an advantage of the standard plate count?

A) can readily count cells that form aggregates

B) determines the number of viable cells

C) can be performed on very dilute samples, such as lake water

D) provides immediate results

E) can be used to count heat-sensitive bacteria

back 15

Answer: B

front 16

16) Which of the following is an advantage of the direct microscopic count?

A) can readily count organisms that are motile

B) can easily distinguish live from dead cells

C) requires no incubation time

D) sample volume is unknown

E) requires a large number of cells

back 16

Answer: C

front 17

17) Most bacteria reproduce by

A) aerial hyphae.

B) fragmentation.

C) mitosis.

D) binary fission.

E) budding.

back 17

Answer: D

front 18

18) Thirty-six colonies grew in nutrient agar from 1.0 ml of undiluted sample in a standard plate count. How many cells were in the original sample?

A) 4 per milliliter

B) 9 per milliliter

C) 18 per milliliter

D) 36 per milliliter

E) 72 per milliliter

back 18

Answer: D

front 19

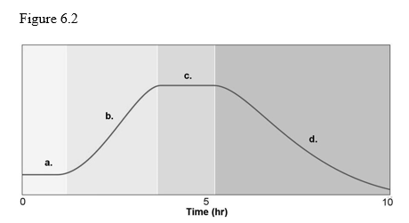
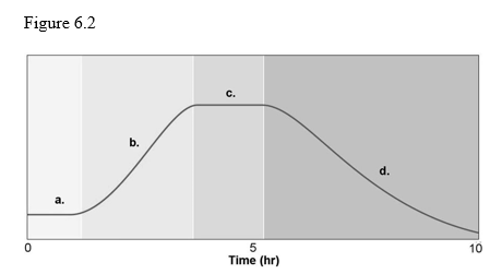
19) Figure 6.2 shows a typical bacterial growth curve with the y-axis indicating the log of the number of bacteria and the x-axis indicating time in culture. In the figure, which section (or sections) shows a growth phase where the number of cells dying equals the number of cells dividing?
A) a
B) b
C) c
D) d
E) a and c

back 19

Answer: C

front 20

20) Figure 6.2 shows a typical bacterial growth curve with the y-axis indicating the log of the number of bacteria and the x-axis indicating time in culture. In the figure, which sections of the graph illustrate a logarithmic change in cell numbers?

A) a and c

B) b and d

C) a and b

D) c and d

E) a and d

back 20

Answer: B

front 21

21) Most bacteria grow best at pH

A) 1.

B) 5.

C) 7.

D) 9.

E) 14.

back 21

Answer: C

front 22

22) Most fungi grow best at pH

A) 1.

B) 5.

C) 7.

D) 9.

E) 14.

back 22

Answer: B

front 23

23) Consider a culture medium on which only gram-positive organisms such as Staphylococcus aureus colonies can grow due to an elevated NaCl level. A yellow halo surrounds the growth, indicating the bacterium fermented a sugar in the medium, decreasing the pH as a result and changing the color of a pH indicator chemical. This type of medium would be referred to as a(n)

A) selective medium.

B) differential medium.

C) enrichment culture.

D) selective and differential medium.

E) differential and enrichment culture.

back 23

Answer: D

front 24

24) A culture medium consisting of agar, peptone, and beef heart is a

A) chemically defined medium.

B) complex medium.

C) selective medium.

D) differential medium.

E) reducing medium.

back 24

Answer: B

front 25

25) Which of the following pairs of microbe classification terms and optimal growth temperatures is mismatched?

A) psychrotroph — growth at 0°C

B) thermophile — growth at 37°C

C) mesophile — growth at 25°C

D) psychrophile — growth at 15°C

E) hyperthermophiles — growth at 85°C

back 25

Answer: B

front 26

26) During which growth phase will gram-positive bacteria be most susceptible to penicillin?

A) lag phase

B) log phase

C) death phase

D) stationary phase

E) The culture is equally susceptible during all phases.

back 26

Answer: B

front 27

27) Which of the following is the best definition of generation time?

A) the length of time needed for lag phase

B) the length of time needed for a cell to divide

C) the minimum rate of doubling

D) the duration of log phase

E) the time needed for nuclear division

back 27

Answer: B

front 28

28) Which of the following is NOT a direct method to measure microbial growth?

A) direct microscopic count

B) standard plate count

C) filtration on a support membrane followed by incubation on medium

D) metabolic activity

E) most probable number (MPN)

back 28

Answer: D

front 29

29) Which group of microorganisms is most likely to spoil a freshwater trout preserved with salt?

A) psychrophiles

B) facultative halophiles

C) anaerobes

D) thermophiles

E) hyperthermophiles

back 29

Answer: B

front 30

30) Which of the following is an organic growth factor?

A) glucose

B) vitamin B1

C) peptone

D) Mg+2

E) H2O

back 30

Answer: B

front 31

31) Which of the following is an example of a metabolic activity that could be used to measure microbial growth?

A) standard plate count

B) glucose consumption

C) direct microscopic count

D) turbidity

E) most probable number (MPN)

back 31

Answer: B

front 32

32) An experiment began with 4 cells and ended with 128 cells. How many generations did the

cells go through?

A) 64

B) 32

C) 6

D) 5

E) 4

back 32

Answer: D

front 33

33) Three cells with generation times of 60 minutes are inoculated into a culture medium. How many cells are there after 5 hours?

A) 900

B) 180

C) 96

D) 32

E) 15

back 33

Answer: C

front 34

34) In Figure 6.3, which tube shows the expected growth pattern for a microaerophile?

  1. A) a
  2. B) b
  3. C) c
  4. D) d
  5. E) e

back 34

Answer: E

front 35

35) In Figure 6.3, which tube shows the expected growth pattern for a facultative anaerobe?

A) a

B) b

C) c

D) d

E) e

back 35

Answer: B

front 36

36) In one hospital, Pseudomonas aeruginosa serotype 10 infected the biliary tract of 10 percent of 1300 patients who underwent gastrointestinal endoscopic procedures. After each use, endoscopes were washed with an automatic reprocessor that flushed detergent and glutaraldehyde through the endoscopes, followed by a tap water rinse. P. aeruginosa serotype 10 was not isolated from the detergent, glutaraldehyde, or tap water. What was the source of the infections?

A) bacterial cell walls in the water

B) a biofilm in the reprocessor

C) contaminated disinfectant

D) fecal contamination of the bile ducts

E) None of the answers is correct.

back 36

Answer: B

front 37

37) For the three types of media in Table 6.1, which medium (or media) is/are chemically defined?

A) A

B) B

C) C

D) A and B

E) A and C

back 37

Answer: A

front 38

38) In Table, 6.1, in which medium (or media) would an autotroph grow?

A) A

B) B

C) C

D) A and B

E) A and C

back 38

Answer: A

front 39

39) Assume you inoculated 100 cells, with a generation time of 20 minutes, into 100 ml of nutrient broth. You then inoculated 100 cells of the same species into 200 ml of nutrient broth. After incubation for 4 hours, you can reasonably expect to have

A) more cells in the 100 ml.

B) more cells in the 200 ml.

C) the same number of cells in both.

D) The answer cannot be determined based on the information provided.

back 39

Answer: C

front 40

40) The source of nutrients in nutrient agar is

A) agar.

B) gelatin.

C) peptone and beef extract.

D) peptone and NaCl.

E) agar and NaCl.

back 40

Answer: C

front 41

41) Which enzyme catalyzes the reaction: O2- + O2- + 2H+ → H2O2 + O2?

A) catalase

B) oxidase

C) peroxidase

D) superoxide dismutase

back 41

Answer: D

front 42

42) Which enzyme catalyzes the reaction: 2H2O2 → 2H2O + O2?

A) catalase

B) oxidase

C) peroxidase

D) superoxide dismutase

back 42

Answer: A

front 43

43) Which enzyme catalyzes the reaction: H2O2 + 2H+ → 2H2O?

A) catalase

B) oxidase

C) peroxidase

D) superoxide dismutase

back 43

Answer: C

front 44

The data in Table 6.2 indicate that S. aureus is a(n)

A) mesophile.

B) facultative anaerobe.

C) facultative halophile.

D) aerobe.

E) halophile.

back 44

Answer: C

front 45

45) Patients with indwelling catheters (long-term tubes inserted into body orifices for drainage, such as through the urethra and into the urinary bladder) are susceptible to infections because

A) injected solutions are contaminated.

B) their immune systems are weakened.

C) infections can be transmitted from other people.

D) biofilms develop on catheters.

E) bacteria cause infections.

back 45

Answer: D