Print Options

Card layout: ?

← Back to notecard set|Easy Notecards home page

Instructions for Side by Side Printing
  1. Print the notecards
  2. Fold each page in half along the solid vertical line
  3. Cut out the notecards by cutting along each horizontal dotted line
  4. Optional: Glue, tape or staple the ends of each notecard together
  1. Verify Front of pages is selected for Viewing and print the front of the notecards
  2. Select Back of pages for Viewing and print the back of the notecards
    NOTE: Since the back of the pages are printed in reverse order (last page is printed first), keep the pages in the same order as they were after Step 1. Also, be sure to feed the pages in the same direction as you did in Step 1.
  3. Cut out the notecards by cutting along each horizontal and vertical dotted line
To print: Ctrl+PPrint as a list

41 notecards = 11 pages (4 cards per page)

Viewing:

Chapter 2

front 1

A) It has 6 protons in its nucleus.

B) It has 12 neutrons in its nucleus.

C) It has 6 electrons orbiting the nucleus.

D) Its atomic number is 6.

E) Its atomic weight is 12.

back 1

Answer: B

front 2

Using the information in Table 2.1, calculate the molecular weight of ethanol, C2H5OH.

A) 96

B) 46

C) 34

D) 33

E) The answer cannot be determined.

back 2

Answer: B

front 3

3) Antacids neutralize acid by the following reaction. Identify the salt in the following equation:

Mg(OH)2 + 2HCl → MgCl2 + H2O

A) Mg(OH)2

B) HCl

C) MgCl2

D) H2O

E) None of the answers is correct.

back 3

Answer: C

front 4

4) Which of the following statements is FALSE?

A) Salts readily dissolve in water.

B) Water molecules are formed by hydrolysis.

C) Water freezes from the top down.

D) Water is formed as a part of a dehydration synthesis reaction.

E) Water is a polar molecule.

back 4

Answer: B

front 5

5) Which of the following is the type of bond holding K+ and I- ions in KI?

A) ionic bond

B) covalent bond

C) hydrogen bond

back 5

Answer: A

front 6

6) Which of the following is the type of bond between molecules of water in a beaker of water?

A) ionic bond

B) covalent bond

C) hydrogen bond

back 6

Answer: C

front 7

7) What is the type of bond holding hydrogen and oxygen atoms together in a single H2O molecule?

A) ionic bond

B) covalent bond

C) hydrogen bond

back 7

Answer: B

front 8

8) Identify the following reaction: Glucose + Fructose → Sucrose + Water

A) dehydration synthesis reaction

B) hydrolysis reaction

C) exchange reaction

D) reversible reaction

E) ionic reaction

back 8

Answer: A

front 9

9) Identify the following reaction: Lactose + H2O → Glucose + Galactose

A) dehydration synthesis reaction

B) hydrolysis reaction

C) exchange reaction

D) reversible reaction

E) ionic reaction

back 9

Answer: B

front 10

10) Identify the following reaction: HCl + NaHCO3 → NaCl + H2CO3

A) dehydration synthesis reaction

B) hydrolysis reaction

C) exchange reaction

D) reversible reaction

E) ionic reaction

back 10

Answer: C

front 11

11) Identify the following reaction: NH4OH ⇌ NH3 + H2O

A) dehydration synthesis reaction

B) hydrolysis reaction

C) exchange reaction

D) reversible reaction

E) ionic reaction

back 11

Answer: D

front 12

12) Which type of molecule contains the alcohol glycerol?

A) carbohydrate

B) phospholipids

C) DNA

D) protein

back 12

Answer: B

front 13

13) Which type of molecule is composed of (CH2O) units?

A) carbohydrate

B) lipid

C) nucleic acid

D) protein

back 13

Answer: A

front 14

14) Which type of molecule contains -NH2 (amino) groups?

A) carbohydrate

B) triglycerides

C) nucleic acid

D) protein

back 14

Answer: D

front 15

15) Which type of molecule NEVER contains a phosphate group?

A) triglycerides

B) phospholipid

C) nucleic acid

D) ATP

back 15

Answer: A

front 16

16) Based upon the valence numbers of the elements magnesium (2) and hydrogen (1), predict how many covalent bonds would form between these atoms to achieve the full complement of electrons in their outermost energy shells.

A) one

B) two

C) three

D) four

back 16

Answer: B

front 17

Using the information in Table 2.1, calculate the number of moles in 92 grams of ethanol,

C2H5OH.

A) 1

B) 2

C) 3

D) 4

E) The answer cannot be determined.

back 17

Answer: B

front 18

18) Which of the following statements regarding protein structure is FALSE?

A) The primary structure is formed by covalent bonding between amino acid subunits.

B) Secondary structures are formed only from hydrogen bonds.

C) Tertiary structures are formed only from covalent bonds.

D) Quaternary structures involved multiple polypeptides.

back 18

Answer: C

front 19

19) Which of the following pairs is mismatched?

A) NaOH ⇌ Na++ OH-— base

B) HF ⇌ H++ F-— acid

C) MgSO4⇌ Mg2++ SO42- — salt

D) KH2PO4⇌ K++ H2PO4- — acid

E) H2SO4⇌ 2H++ SO42- — acid

back 19

Answer: D

front 20

20) Table 2.2

NaOH ⇌ Na+ + OH- — base

HF ⇌ H+ + F- - acid

MgSO4 ⇌ Mg2+ + SO42- — salt

KH2PO4 ⇌ K+ + H2PO4- — acid

H2SO4 ⇌ 2H+ + SO42- — salt

Which of the following statements about the reactions in Table 2.2 is FALSE?

A) They are exchange reactions.

B) They are ionization reactions.

C) They occur when the reactants are dissolved in water.

D) They are dissociation reactions.

E) They are reversible reactions.

back 20

Answer: A

front 21

21) What is the type of weak bond between the hydrogen of one molecule and the nitrogen of another molecule, where the two don't actively share an electron?

A) ionic bond

B) covalent bond

C) hydrogen bond

D) disulfide bond

E) hydrophobic bond

back 21

Answer: C

front 22

22) What is the type of strong chemical bond between carbon, hydrogen, and oxygen atoms in a single organic molecule?

A) ionic bond

B) covalent bond

C) hydrogen bond

back 22

Answer: B

front 23

23) What is the type of bond between ions in salt?

A) ionic bond

B) covalent bond

C) hydrogen bond

back 23

Answer: A

front 24

24) A scientist wants to perform a test that will indicate whether a nucleic acid sample is composed of RNA or DNA. Testing for the presence of which of the following is most appropriate in this situation?

A) phosphate

B) nitrogen

C) guanine

D) uracil

E) thymine

back 24

Answer: D

front 25

25) Structurally, ATP is most like which type of molecule?

A) carbohydrate

B) lipid

C) protein

D) nucleic acid

back 25

Answer: D

front 26

26) What do genes consist of?

A) carbohydrates

B) lipids

C) proteins

D) nucleic acids

back 26

Answer: D

front 27

27) Which molecule is composed of a chain of amino acids?

A) carbohydrate

B) lipid

C) protein

D) nucleic acid

back 27

Answer: C

front 28

28) Which are the primary molecules making up plasma membranes in cells?

A) carbohydrates

B) lipids

C) proteins

D) nucleic acids

back 28

Answer: B

front 29

29) The antimicrobial drug imidazole inhibits sterol synthesis. This would most likely interfere with

A) bacterial cell walls.

B) fungal cell walls.

C) eukaryotic plasma membranes.

D) prokaryotic plasma membranes.

E) genes.

back 29

Answer: C

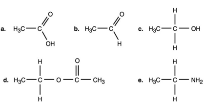
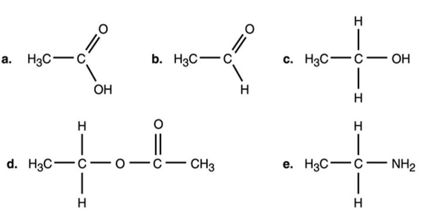
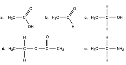
front 30

30) In Figure 2.1, which is an alcohol?

A) a

B) b

C) c

D) d

E) e

back 30

Answer: C

front 31

31) Which compound in Figure 2.1 is an ester?

  1. A) a
  2. B) b
  3. C) c
  4. D) d
  5. E) e

back 31

Answer: D

front 32

32) Which compound in Figure 2.1 is an organic acid?

  1. A) a
  2. B) b
  3. C) c
  4. D) d
  5. E) e

back 32

Answer: A

front 33

33) Most amino acids found in cells demonstrate what type of chirality?

A) L-isomers

B) D-isomers

C) C-isomers

D) B-isomers

E) A-isomers

back 33

Answer: A

front 34

What kind of bond is at the arrow in Figure 2.3?

A) disulfide bridge

B) double covalent bond

C) hydrogen bond

D) ionic bond

E) peptide bond

back 34

Answer: E

front 35

35) An E. coli culture that has been growing at 37°C is moved to 25°C. Which of the following changes must be made in its plasma membrane to help it cope with the decrease in temperature?

A) The number of phosphate groups must increase.

B) The viscosity must increase.

C) The number of saturated chains must increase.

D) The number of unsaturated chains must increase.

E) No changes are necessary

back 35

Answer: D

front 36

36) Radioisotopes are frequently used to label molecules in a cell. The fate of atoms and molecules in a cell can then be followed. Assume Saccharomyces cerevisiae is grown in a nutrient medium containing the radioisotope 35S. After a 48-hour incubation, the 35S would most likely be found in the S. cerevisiae's

A) carbohydrates.

B) nucleic acids.

C) water.

D) lipids.

E) proteins.

back 36

Answer: E

front 37

37) Radioisotopes are frequently used to label molecules in a cell. The fate of atoms and molecules in a cell can then be followed. Assume Saccharomyces cerevisiae is grown in a nutrient medium containing the radioisotope 32P. After a 48-hour incubation, the majority of the 32P would be found in the S. cerevisiae's

A) plasma membrane.

B) cell wall.

C) water.

D) proteins.

E) carbohydrates.

back 37

Answer: A

front 38

38) Starch, dextran, glycogen, and cellulose are polymers of

A) amino acids.

B) glucose.

C) fatty acids.

D) nucleic acids.

E) acids.

back 38

Answer: B

front 39

39) Which of the following is a base?

A) C2H5OCOOH → H++ C2H5OCOO-

B) C2H5OH

C) NaOH → Na++ OH-

D) H2O → H++ OH-

E) H2CO

back 39

Answer: C

front 40

40) Two glucose molecules are combined to make a maltose molecule. What is the chemical formula for maltose?

A) C3H6O3

B) C6H12O6

C) C12H24O12

D) C12H22O11

E) C12H23O10

back 40

Answer: D

front 41

41) If an amino acid contained a hydrocarbon (a group of multiple carbons and hydrogens linked together) as its side group, in which of the following categories could it be appropriately designated?

A) hydrophilic

B) polar

C) nonpolar

D) basic

E) acidic

back 41

Answer: C